The Power of Licorice (Radix glycyrrhizae) to Improve Oral Health: A Comprehensive Review of Its Pharmacological Properties and Clinical Implications
Abstract
1. Introduction
2. Materials and Methods
3. Chemical and Bioactive Composition of Glycyrrhiza glabra
3.1. Flavonoids and Isoflavonoid
- Glabridin: antioxidant, muscle relaxant.
- Glabrene: antiulcer.
- Isoliquiritigenin (ISL): antimycobacterial, uterine relaxant and analgesic, antitussive activity.
- Licochalcone: anticancer, antimalarial.
- Liquiritigenin: corticosteroid activity, antimicrobial.
3.2. Triterpenoid Saponin
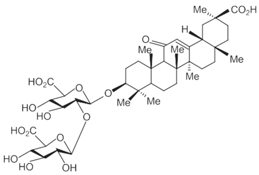
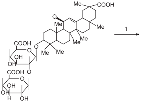
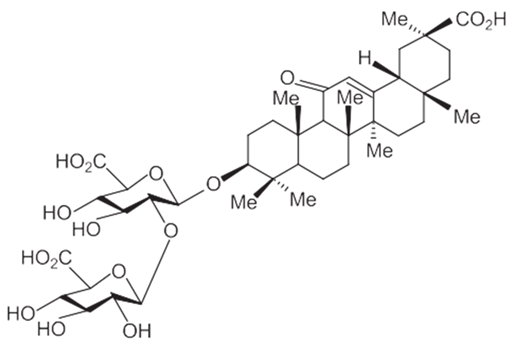
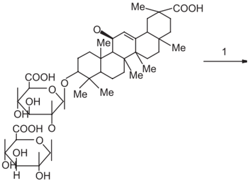
- Glycyrrhizic acid (GL): antiulcer, antiallergic, antiviral activity, antihyperglycemic.
- 18-β-glycyrrhetinic acid (GA): memory-enhancing activity, corticosteroid activity, antiviral activity, immuno-stimulating activity.
- Glycyrrhizin: corticosteroid activity, antiallergic, hepatoprotective, anti-inflammatory, antiviral activity, antihyperglycemic, immuno-stimulating activity.
3.3. Coumarin
- Licocoumarin: Uterine relaxant and analgesic.
4. Mechanism of Action
4.1. Antiviral
4.2. Antibacterial/Antifungal
4.3. Anti-Inflammatory
4.4. Immunomodulator
4.5. Analgesic
4.6. Antioxidant
4.7. Anticancer
5. Effect of Licorice on Oral Health
5.1. Dental Caries
5.2. Periodontal Disease
5.3. Oral Candidiasis
5.4. Recurrent Aphthous Ulcer
5.5. Herpes Simplex Virus Infection
5.6. Xerostomia
5.7. Oral Lichen Planus (OLP)
5.8. Halitosis
5.9. Oral Mucositis
5.10. Oral Squamous Cell Carcinoma (OSCC)
5.11. Oral Submucous Fibrosis (OSF)
5.12. Implications in Endodontics
6. Dosage and Concentration
7. Overview of the Potential Adverse Effects of Glycyrrhiza glabra
7.1. High Blood Pressure
7.2. Hypokalaemia (Loss of Potassium)
7.3. Unbalanced Hormones
7.4. Liver Damage
8. Dental Side Effects
8.1. Tooth Decay and Enamel Erosion
8.2. Discoloration
9. Contraindications
10. Interaction with Other Plants or Medications
11. The Availability of Different Forms of Licorice Products in the Kingdom of Saudi Arabia
11.1. Forms
- Licorice root powder [94];
- Licorice root extract [80];
- Licorice lozenges [95];
- Licorice mouthwash [96];
- Licorice tea [97].
11.2. Availability
- Health food stores (Atara Shops): some health food stores in the KSA may carry licorice root powder, licorice root extract, licorice lozenges, and other licorice products.
- Pharmacies: licorice root extract, licorice lozenges, and licorice mouthwashes may be available at pharmacies in the KSA.
- Supermarkets: licorice tea may be available at some supermarkets in the KSA, particularly in the health food or tea sections.
- Online retailers: there are several online retailers that sell licorice products, including licorice root powder, licorice root extract, licorice lozenges, licorice mouthwash, and licorice tea, that are local or can be shipped to the KSA.
12. Conclusions
Author Contributions
Funding
Institutional Review Board Statement
Informed Consent Statement
Data Availability Statement
Acknowledgments
Conflicts of Interest
Abbreviations
| C. albican | Candida albicans |
| COX-2 | Cyclooxygenase-2 |
| DGL | Deglycyrrhiznated licorice |
| DPPH | 2,2-diphenyl-1-picryl-hydrazyl-hydrate |
| EBV | Epstein-Barr virus |
| E. faecalis | Enterococcus faecalis |
| FDA | Food and Drug Administration |
| GA | 18-β-glycyrrhetinic acid |
| G. glabra | Glycyrrhiza glabra L. |
| GL | Glycyrrhizic acid |
| HCV | Hepatitis C virus |
| HMGBI | High mobility group box 1 protein |
| HSV | Herpes simplex virus |
| ISL | Isoliquiritigenin |
| KSA | Kingdom od Saudi Arabia |
| MMPs | Matrix metalloproteinases |
| OLP | Oral lichen planus |
| OSCC | Oral Squamous Cell Carcinoma |
| OSF | Oral submucous fibrosis |
| P. gingivalis | Porphyromonas gingivalis |
| PGE2 | Prostaglandin E2 |
| RCT | Randomised controlled trial |
| ROS | Reactive oxygen species |
| SNMC | Stronger Neo-Minophagen C |
| TNF | Tumour necrosis factor |
| WHO | World Health Organisation |
References
- Cântar, I.-C.; Dincă, L. TTrifolium genus species present in “alexandru beldie” herbarium from “marin drăcea” national institute for research and development in forestry. Ann. West. Univ. Timisoara. Ser. Biol. 2018, 21, 123. [Google Scholar]
- Parvaiz, M.; Hussain, K.; Khalid, S.; Hussnain, N.; Iram, N.; Hussain, Z.; Ali, M.A. A review: Medicinal importance of Glycyrrhiza glabra L.(Fabaceae family). Glob. J. Pharmacol. 2014, 8, 8–13. [Google Scholar]
- Pastorino, G.; Cornara, L.; Soares, S.; Rodrigues, F.; Oliveira, M. Liquorice (Glycyrrhiza glabra): A phytochemical and pharmacological review. Phytother. Res. 2018, 32, 2323–2339. [Google Scholar] [CrossRef]
- Akbulut, S.; Karaköse, M.; Şen, G. Medicinal plants used in folk medicine of akcaabat district (Turkey). Fresenius Environ. Bull. 2022, 31, 7160–7176. [Google Scholar]
- Karaköse, M. An ethnobotanical study of medicinal plants in Güce district, north-eastern Turkey. Plant Divers. 2022, 44, 577–597. [Google Scholar] [CrossRef] [PubMed]
- Yang, R.; Yuan, B.C.; Ma, Y.S.; Zhou, S.; Liu, Y. The anti-inflammatory activity of licorice, a widely used Chinese herb. Pharm. Biol. 2017, 55, 5–18. [Google Scholar] [CrossRef] [PubMed]
- Jiang, M.; Zhao, S.; Yang, S.; Lin, X.; He, X.; Wei, X.; Song, Q.; Li, R.; Fu, C.; Zhang, J.; et al. An “essential herbal medicine”-licorice: A review of phytochemicals and its effects in combination preparations. J. Ethnopharmacol. 2020, 249, 112439. [Google Scholar] [CrossRef]
- Bethapudi, B.; Murugan, S.K.; Nithyanantham, M.; Singh, V.K.; Agarwal, A.; Mundkinajeddu, D. Gut health benefits of licorice and its flavonoids as dietary supplements. In Nutrition and Functional Foods in Boosting Digestion, Metabolism and Immune Health; Elsevier: Amsterdam, The Netherlands, 2022; pp. 377–417. [Google Scholar]
- Rahnama, M.; Mehrabani, D.; Japoni, S.; Edjtehadi, M.; Saberi Firoozi, M. The healing effect of licorice (Glycyrrhiza glabra) on Helicobacter pylori infected peptic ulcers. J. Res. Med. Sci. 2013, 18, 532–533. [Google Scholar]
- Yarnell, E. Herbs for viral respiratory infections. Altern. Complement. Ther. 2018, 24, 35–43. [Google Scholar] [CrossRef]
- Yu, J.J.; Zhang, C.S.; Coyle, M.E.; Du, Y.; Zhang, A.L.; Guo, X.; Xue, C.C.; Lu, C. Compound glycyrrhizin plus conventional therapy for psoriasis vulgaris: A systematic review and meta-analysis of randomized controlled trials. Curr. Med. Res. Opin. 2017, 33, 279–287. [Google Scholar] [CrossRef]
- Biswas, T.K.; Mukherjee, B. Plant medicines of Indian origin for wound healing activity: A review. Int. J. Low. Extrem. Wounds 2003, 2, 25–39. [Google Scholar] [CrossRef] [PubMed]
- Saeedi, M.; Morteza-Semnani, K.; Ghoreishi, M.R. The treatment of atopic dermatitis with licorice gel. J. Dermatol. Treat. 2003, 14, 153–157. [Google Scholar] [CrossRef]
- Sidhu, P.; Shankargouda, S.; Rath, A.; Hesarghatta Ramamurthy, P.; Fernandes, B.; Kumar Singh, A. Therapeutic benefits of liquorice in dentistry. J. Ayurveda Integr. Med. 2020, 11, 82–88. [Google Scholar] [CrossRef] [PubMed]
- Jain, R.; Hussein, M.A.; Pierce, S.; Martens, C.; Shahagadkar, P.; Munirathinam, G. Oncopreventive and oncotherapeutic potential of licorice triterpenoid compound glycyrrhizin and its derivatives: Molecular insights. Pharmacol. Res. 2022, 178, 106138. [Google Scholar] [CrossRef]
- El-Saber Batiha, G.; Magdy Beshbishy, A.; El-Mleeh, A.; Abdel-Daim, M.M.; Prasad Devkota, H. Traditional Uses, Bioactive Chemical Constituents, and Pharmacological and Toxicological Activities of Glycyrrhiza glabra L. (Fabaceae). Biomolecules 2020, 10, 352. [Google Scholar] [CrossRef] [PubMed]
- Damle, M. Glycyrrhiza glabra (Liquorice)-a potent medicinal herb. Int. J. Herb. Med. 2014, 2, 132–136. [Google Scholar]
- Messier, C.; Epifano, F.; Genovese, S.; Grenier, D. Licorice and its potential beneficial effects in common oro-dental diseases. Oral. Dis. 2012, 18, 32–39. [Google Scholar] [CrossRef]
- Tian, M.; Yan, H.; Row, K.H. Extraction of glycyrrhizic acid and glabridin from licorice. Int. J. Mol. Sci. 2008, 9, 571–577. [Google Scholar] [CrossRef]
- Giahi, E.; Jahadi, M.; Khosravi-Darani, K. Enzyme-assisted extraction of glycyrrhizic acid from licorice roots using heat reflux and ultrasound methods. Biocatal. Agric. Biotechnol. 2021, 33, 101953. [Google Scholar] [CrossRef]
- Chauhan, S.; Gulati, N.; Nagaich, U. Glycyrrhizic acid: Extraction, screening and evaluation of anti–inflammatory property. Ars Pharm. 2018, 59, 61–67. [Google Scholar]
- Wang, L.; Yang, R.; Yuan, B.; Liu, Y.; Liu, C. The antiviral and antimicrobial activities of licorice, a widely-used Chinese herb. Acta Pharm. Sin. B 2015, 5, 310–315. [Google Scholar] [CrossRef] [PubMed]
- Diomede, L.; Beeg, M.; Gamba, A.; Fumagalli, O.; Gobbi, M.; Salmona, M. Can Antiviral Activity of Licorice Help Fight COVID-19 Infection? Biomolecules 2021, 11, 855. [Google Scholar] [CrossRef] [PubMed]
- Asl, M.N.; Hosseinzadeh, H. Review of pharmacological effects of Glycyrrhiza sp. and its bioactive compounds. Phytother. Res. 2008, 22, 709–724. [Google Scholar] [CrossRef] [PubMed]
- Wahab, S.; Annadurai, S.; Abullais, S.S.; Das, G.; Ahmad, W.; Ahmad, M.F.; Kandasamy, G.; Vasudevan, R.; Ali, M.S.; Amir, M. Glycyrrhiza glabra (Licorice): A Comprehensive Review on Its Phytochemistry, Biological Activities, Clinical Evidence and Toxicology. Plants 2021, 10, 2751. [Google Scholar] [CrossRef] [PubMed]
- Bell, R.F.; Moreira, V.M.; Kalso, E.A.; Yli-Kauhaluoma, J. Liquorice for pain? Ther. Adv. Psychopharmacol. 2021, 11, 20451253211024873. [Google Scholar] [CrossRef]
- Hasan, M.K.; Ara, I.; Mondal, M.S.A.; Kabir, Y. Phytochemistry, pharmacological activity, and potential health benefits of Gly cyrrhiza glabra. Heliyon 2021, 7, e07240. [Google Scholar] [CrossRef]
- Khan, S.F.; Shetty, B.; Fazal, I.; Khan, A.M.; Mir, F.M.; Moothedath, M.; Reshma, V.J.; Muhamood, M. Licorice as a herbal extract in periodontal therapy. Drug Target. Insights 2023, 17, 70–77. [Google Scholar] [CrossRef]
- Tang, Z.-H.; Chen, X.; Wang, Z.-Y.; Chai, K.; Wang, Y.-F.; Xu, X.-H.; Wang, X.-W.; Lu, J.-H.; Wang, Y.-T.; Chen, X.-P. Induction of C/EBP homologous protein-mediated apoptosis and autophagy by licochalcone A in non-small cell lung cancer cells. Sci. Rep. 2016, 6, 26241. [Google Scholar] [CrossRef]
- Segal, R.; Pisanty, S.; Wormser, R.; Azaz, E.; Sela, M. Anticariogenic activity of licorice and glycyrrhizine I: Inhibition of in vitro plaque formation by Streptococcus mutans. J. Pharm. Sci. 1985, 74, 79–81. [Google Scholar] [CrossRef]
- Edgar, W.M. Reduction in enamel dissolution by liquorice and glycyrrhizinic acid. J. Dent. Res. 1978, 57, 59–64. [Google Scholar] [CrossRef]
- Gedalia, I.; Stabholtz, A.; Lavie, A.; Shapira, L.; Pisanti, S.; Segal, R. The effect of glycyrrhizin on in vitro fluoride uptake by tooth enamel and subsequent demineralization. Clin. Prev. Dent. 1986, 8, 5–9. [Google Scholar] [PubMed]
- Deutchman, M.; Petrou, I.D.; Mellberg, J.R. Effect of fluoride and glycyrrhizin mouthrinses on artificial caries lesions in vivo. Caries Res. 1989, 23, 206–208. [Google Scholar] [CrossRef] [PubMed]
- Söderling, E.; Karjalainen, S.; Lille, M.; Maukonen, J.; Saarela, M.; Autio, K. The effect of liquorice extract-containing starch gel on the amount and microbial composition of plaque. Clin. Oral. Investig. 2006, 10, 108–113. [Google Scholar] [CrossRef]
- Bodet, C.; La, V.D.; Gafner, S.; Bergeron, C.; Grenier, D. A Licorice Extract Reduces Lipopolysaccharide-Induced Proinflammatory Cytokine Secretion by Macrophages and Whole Blood. J. Periodontol. 2008, 79, 1752–1761. [Google Scholar] [CrossRef] [PubMed]
- La, V.D.; Tanabe, S.-i.; Bergeron, C.; Gafner, S.; Grenier, D. Modulation of Matrix Metalloproteinase and Cytokine Production by Licorice Isolates Licoricidin and Licorisoflavan A: Potential Therapeutic Approach for Periodontitis. J. Periodontol. 2011, 82, 122–128. [Google Scholar] [CrossRef]
- Sharma, S.; Sogi, G.M.; Saini, V.; Chakraborty, T.; Sudan, J. Effect of liquorice (root extract) mouth rinse on dental plaque and gingivitis—A randomized controlled clinical trial. J. Indian. Soc. Periodontol. 2022, 26, 51–57. [Google Scholar] [CrossRef]
- Madan, S.; Kashyap, S.; Mathur, G. Glycyrrhiza glabra: An efficient medicinal plant for control of periodontitis—A randomized clinical trial. J. Int. Clin. Dent. Res. Organ. 2019, 11, 32–35. [Google Scholar] [CrossRef]
- Wittschier, N.; Faller, G.; Beikler, T.; Stratmann, U.; Hensel, A. Polysaccharides from Glycyrrhiza glabra L. exert significant anti-adhesive effects against Helicobacter pylori and Porphyromonas gingivalis. Planta Medica 2006, 72, P_238. [Google Scholar] [CrossRef]
- Utsunomiya, T.; Kobayashi, M.; Ito, M.; Pollard, R.B.; Suzuki, F. Glycyrrhizin improves the resistance of MAIDS mice to opportunistic infection of Candida albicans through the modulation of MAIDS-associated type 2 T cell responses. Clin. Immunol. 2000, 95, 145–155. [Google Scholar] [CrossRef]
- Motsei, M.L.; Lindsey, K.L.; van Staden, J.; Jäger, A.K. Screening of traditionally used South African plants for antifungal activity against Candida albicans. J. Ethnopharmacol. 2003, 86, 235–241. [Google Scholar] [CrossRef]
- Fatima, A.; Gupta, V.K.; Luqman, S.; Negi, A.S.; Kumar, J.K.; Shanker, K.; Saikia, D.; Srivastava, S.; Darokar, M.P.; Khanuja, S.P. Antifungal activity of Glycyrrhiza glabra extracts and its active constituent glabridin. Phytother. Res. 2009, 23, 1190–1193. [Google Scholar] [CrossRef]
- Lee, J.Y.; Lee, J.H.; Park, J.H.; Kim, S.Y.; Choi, J.Y.; Lee, S.H.; Kim, Y.S.; Kang, S.S.; Jang, E.C.; Han, Y. Liquiritigenin, a licorice flavonoid, helps mice resist disseminated candidiasis due to Candida albicans by Th1 immune response, whereas liquiritin, its glycoside form, does not. Int. Immunopharmacol. 2009, 9, 632–638. [Google Scholar] [CrossRef] [PubMed]
- Messier, C.; Grenier, D. Effect of licorice compounds licochalcone A, glabridin and glycyrrhizic acid on growth and virulence properties of Candida albicans. Mycoses 2011, 54, e801–e806. [Google Scholar] [CrossRef]
- Das, S.K.; Das, V.; Gulati, A.K.; Singh, V.P. Deglycyrrhizinated liquorice in aphthous ulcers. J. Assoc. Physicians India 1989, 37, 647. [Google Scholar]
- Moghadamnia, A.A.; Motallebnejad, M.; Khanian, M. The efficacy of the bioadhesive patches containing licorice extract in the management of recurrent aphthous stomatitis. Phytother. Res. 2009, 23, 246–250. [Google Scholar] [CrossRef] [PubMed]
- Martin, M.D.; Sherman, J.; van der Ven, P.; Burgess, J. A controlled trial of a dissolving oral patch concerning glycyrrhiza (licorice) herbal extract for the treatment of aphthous ulcers. Gen. Dent. 2008, 56, 206–210; quiz 211-202, 224. [Google Scholar]
- Burgess, J.A.; van der Ven, P.F.; Martin, M.; Sherman, J.; Haley, J. Review of over-the-counter treatments for aphthous ulceration and results from use of a dissolving oral patch containing glycyrrhiza complex herbal extract. J. Contemp. Dent. Pract. 2008, 9, 88–98. [Google Scholar] [CrossRef] [PubMed]
- Laconi, S.; Madeddu, M.A.; Pompei, R. Autophagy activation and antiviral activity by a licorice triterpene. Phytother. Res. 2014, 28, 1890–1892. [Google Scholar] [CrossRef] [PubMed]
- Partridge, M.; Poswillo, D.E. Topical carbenoxolone sodium in the management of herpes simplex infection. Br. J. Oral. Maxillofac. Surg. 1984, 22, 138–145. [Google Scholar] [CrossRef]
- Segal, R.; Pisanty, S. Glycyrrhizin gel as a vehicle for idoxuridine--I. Clinical investigations. J. Clin. Pharm. Ther. 1987, 12, 165–171. [Google Scholar] [CrossRef]
- Aslani, A.; Zolfaghari, B.; Fereidani, Y. Design, formulation, and evaluation of a herbal gel contains melissa, sumac, licorice, rosemary, and geranium for treatment of recurrent labial herpes infections. Dent. Res. J. 2018, 15, 191–200. [Google Scholar] [CrossRef] [PubMed]
- Nelson, E.O.; Ruiz, G.G.; Kozin, A.F.; Turner, T.C.; Langland, E.V.; Langland, J.O. Resolution of Recurrent Oro-facial Herpes Simplex Using a Topical Botanical Gel: A Case Report. Yale J. Biol. Med. 2020, 93, 277–281. [Google Scholar] [PubMed]
- Yu, I.C.; Tsai, Y.F.; Fang, J.T.; Yeh, M.M.; Fang, J.Y.; Liu, C.Y. Effects of mouthwash interventions on xerostomia and unstimulated whole saliva flow rate among hemodialysis patients: A randomized controlled study. Int. J. Nurs. Stud. 2016, 63, 9–17. [Google Scholar] [CrossRef] [PubMed]
- Khatab, H.E. Effect of Licorice Mouthwash on Xerostomia among Hemodialysis Patients. Alex. Sci. Nurs. J. 2019, 21, 17–32. [Google Scholar] [CrossRef]
- Nagao, Y.; Sata, M.; Tanikawa, K.; Kameyama, T. A case of oral lichen planus with chronic hepatitis C successfully treated by glycyrrhizin. Kansenshogaku Zasshi. J. Jpn. Assoc. Infect. Dis. 1995, 69, 940–944. [Google Scholar] [CrossRef][Green Version]
- Nagao, Y.; Sata, M.; Suzuki, H.; Tanikawa, K.; Itoh, K.; Kameyama, T. Effectiveness of glycyrrhizin for oral lichen planus in patients with chronic HCV infection. J. Gastroenterol. 1996, 31, 691–695. [Google Scholar] [CrossRef]
- ARBABI, K.F.; Nosratzehi, T.; Hamishehkar, H.; Delazar, A. Comparison of effectiveness of the bioadhesive pastes containing licorice 5% and topical corticosteroid for the treatment of oral lichen planus: A pilot study. Zahedan J. Res. Med. Sci. 2014, 16, 7–9. [Google Scholar]
- Inamdar, H.; Sable, D.; Subramaniam, A.V.; Subramaniam, T.; Choudhery, A. Evaluation of efficacy of indigenously prepared formulation of aloe vera, licorice and sesame oil in treatment of oral lichen planus: An in vivo study. J. Adv. Clin. Res. Insights 2015, 2, 237–241. [Google Scholar] [CrossRef]
- Tanabe, S.; Desjardins, J.; Bergeron, C.; Gafner, S.; Villinski, J.R.; Grenier, D. Reduction of bacterial volatile sulfur compound production by licoricidin and licorisoflavan A from licorice. J. Breath. Res. 2012, 6, 016006. [Google Scholar] [CrossRef]
- Chandran, S.; Venkatachalam, K. Effect of Manuka Honey and Licorice Root Extract on the Growth of Porphyromonas gingivalis: An In Vitro Study. J. Emerg. Investig. 2018. [Google Scholar] [CrossRef]
- Das, D.; Agarwal, S.; Chandola, H. Protective effect of Yashtimadhu (Glycyrrhiza glabra) against side effects of radiation/chemotherapy in head and neck malignancies. AYU (Int. Q. J. Res. Ayurveda) 2011, 32, 196–199. [Google Scholar] [CrossRef] [PubMed]
- Najafi, S.; Koujan, S.E.; Manifar, S.; Kharazifard, M.J.; Kidi, S.; Hajheidary, S. Preventive Effect of Glycyrrhiza Glabra Extract on Oral Mucositis in Patients Under Head and Neck Radiotherapy: A Randomized Clinical Trial. J. Dent. 2017, 14, 267–274. [Google Scholar]
- Ghalayani, P.; Emami, H.; Pakravan, F.; Nasr Isfahani, M. Comparison of triamcinolone acetonide mucoadhesive film with licorice mucoadhesive film on radiotherapy-induced oral mucositis: A randomized double-blinded clinical trial. Asia Pac. J. Clin. Oncol. 2017, 13, e48–e56. [Google Scholar] [CrossRef] [PubMed]
- Ismail, A.A.; Behkite, A.A.; Badria, F.M.; Guemei, A.A. Licorice in prevention of radiation induced mucositis. J. Clin. Oncol. 2004, 22, 8268. [Google Scholar] [CrossRef]
- Chen, G.; Hu, X.; Zhang, W.; Xu, N.; Wang, F.-Q.; Jia, J.; Zhang, W.-F.; Sun, Z.-J.; Zhao, Y.-F. Mammalian target of rapamycin regulates isoliquiritigenin-induced autophagic and apoptotic cell death in adenoid cystic carcinoma cells. Apoptosis 2012, 17, 90–101. [Google Scholar] [CrossRef]
- Cho, J.J.; Chae, J.-I.; Yoon, G.; Kim, K.H.; Cho, J.H.; Cho, S.-S.; Cho, Y.S.; Shim, J.-H. Licochalcone A, a natural chalconoid isolated from Glycyrrhiza inflata root, induces apoptosis via Sp1 and Sp1 regulatory proteins in oral squamous cell carcinoma. Int. J. Oncol. 2014, 45, 667–674. [Google Scholar] [CrossRef]
- Shen, H.; Zeng, G.; Tang, G.; Cai, X.; Bi, L.; Huang, C.; Yang, Y. Antimetastatic effects of licochalcone A on oral cancer via regulating metastasis-associated proteases. Tumor Biol. 2014, 35, 7467–7474. [Google Scholar] [CrossRef]
- Kim, J.-S.; Park, M.-R.; Lee, S.-Y.; Kim, D.K.; Moon, S.M.; Kim, C.S.; Cho, S.S.; Yoon, G.; Im, H.-J.; You, J.S. Licochalcone A induces apoptosis in KB human oral cancer cells via a caspase-dependent FasL signaling pathway. Oncol. Rep. 2014, 31, 755–762. [Google Scholar] [CrossRef]
- Hsia, S.M.; Yu, C.C.; Shih, Y.H.; Yuanchien Chen, M.; Wang, T.H.; Huang, Y.T.; Shieh, T.M. Isoliquiritigenin as a cause of DNA damage and inhibitor of ataxia-telangiectasia mutated expression leading to G2/M phase arrest and apoptosis in oral squamous cell carcinoma. Head Neck 2016, 38, E360–E371. [Google Scholar] [CrossRef]
- Shen, H.; Zeng, G.; Sun, B.; Cai, X.; Bi, L.; Tang, G.; Yang, Y. A polysaccharide from Glycyrrhiza inflata Licorice inhibits proliferation of human oral cancer cells by inducing apoptosis via mitochondrial pathway. Tumor Biol. 2015, 36, 4825–4831. [Google Scholar] [CrossRef]
- James, A.; Gunasekaran, N.; Krishnan, R.; Arunachalam, P.; Mahalingam, R. Anti-fibrotic activity of licorice extract in comparison with colchicine on areca nut-induced fibroblasts: An in vitro study. J. Oral. Maxillofac. Pathol. 2022, 26, 173–178. [Google Scholar] [CrossRef] [PubMed]
- Badr, A.; Omar, N.; Badria, F. A laboratory evaluation of the antibacterial and cytotoxic effect of Liquorice when used as root canal medicament. Int. Endod. J. 2011, 44, 51–58. [Google Scholar] [CrossRef] [PubMed]
- Saha, S.; Dhinsa, G.; Ghoshal, U.; Afzal Hussain, A.N.F.; Nag, S.; Garg, A. Influence of plant extracts mixed with endodontic sealers on the growth of oral pathogens in root canal: An in vitro study. J. Indian Soc. Pedod. Prev. Dent. 2019, 37, 39–45. [Google Scholar] [CrossRef] [PubMed]
- Tamhankar, K.; Dhaded, N.S.; Kore, P.; Nagmoti, J.M.; Hugar, S.M.; Patil, A.C. Comparative Evaluation of Efficacy of Calcium Hydroxide, Propolis, and Glycyrrhiza glabra as Intracanal Medicaments in Root Canal Treatment. J. Contemp. Dent. Pract. 2021, 22, 707–712. [Google Scholar]
- Omar, H.R.; Komarova, I.; El-Ghonemi, M.; Fathy, A.; Rashad, R.; Abdelmalak, H.D.; Yerramadha, M.R.; Ali, Y.; Helal, E.; Camporesi, E.M. Licorice abuse: Time to send a warning message. Ther. Adv. Endocrinol. Metab. 2012, 3, 125–138. [Google Scholar] [CrossRef]
- Murray, M.T. Glycyrrhiza glabra (Licorice). In Textbook of Natural Medicine, 5th ed.; Churchill Livingstone: London, UK, 2020; pp. 641–647.e3. [Google Scholar]
- Deutch, M.R.; Grimm, D.; Wehland, M.; Infanger, M.; Krüger, M. Bioactive Candy: Effects of Licorice on the Cardiovascular System. Foods 2019, 8, 495. [Google Scholar] [CrossRef]
- Kwon, Y.E.; Oh, D.J.; Choi, H.M. Severe asymptomatic hypokalemia associated with prolonged licorice ingestion: A case report. Medicine 2020, 99, e21094. [Google Scholar] [CrossRef]
- Kwon, Y.J.; Son, D.H.; Chung, T.H.; Lee, Y.J. A Review of the Pharmacological Efficacy and Safety of Licorice Root from Corroborative Clinical Trial Findings. J. Med. Food 2020, 23, 12–20. [Google Scholar] [CrossRef]
- Minnetti, M.; De Alcubierre, D.; Bonaventura, I.; Pofi, R.; Hasenmajer, V.; Tarsitano, M.G.; Gianfrilli, D.; Poggiogalle, E.; Isidori, A.M. Effects of licorice on sex hormones and the reproductive system. Nutrition 2022, 103–104, 111727. [Google Scholar] [CrossRef]
- Vitalone, A.; Menniti-Ippolito, F.; Raschetti, R.; Renda, F.; Tartaglia, L.; Mazzanti, G. Surveillance of suspected adverse reactions to herbal products used as laxatives. Eur. J. Clin. Pharmacol. 2012, 68, 231–238. [Google Scholar] [CrossRef]
- Almaz, M.E.; Sönmez, I.; Ökte, Z.; Oba, A.A. Efficacy of a sugar-free herbal lollipop for reducing salivary Streptococcus mutans levels: A randomized controlled trial. Clin. Oral. Investig. 2017, 21, 839–845. [Google Scholar] [CrossRef] [PubMed]
- Touyz, L.Z. Liquorice health check, Oro-dental implications, and a case report. Case Rep. Med. 2009, 2009, 170735. [Google Scholar] [CrossRef] [PubMed]
- Vargas, C.M.; Arevalo, O. How dental care can preserve and improve oral health. Dent. Clin. 2009, 53, 399–420. [Google Scholar] [CrossRef] [PubMed]
- Smedegaard, S.B.; Svart, M.V. Licorice induced pseudohyperaldosteronism, severe hypertension, and long QT. Endocrinol. Diabetes Metab. Case Rep. 2019, 2019. [Google Scholar] [CrossRef]
- Isbrucker, R.A.; Burdock, G.A. Risk and safety assessment on the consumption of Licorice root (Glycyrrhiza sp.), its extract and powder as a food ingredient, with emphasis on the pharmacology and toxicology of glycyrrhizin. Regul. Toxicol. Pharmacol. 2006, 46, 167–192. [Google Scholar] [CrossRef]
- Penninkilampi, R.; Eslick, E.M.; Eslick, G.D. The association between consistent licorice ingestion, hypertension and hypokalaemia: A systematic review and meta-analysis. J. Hum. Hypertens. 2017, 31, 699–707. [Google Scholar] [CrossRef]
- Nazari, S.; Rameshrad, M.; Hosseinzadeh, H. Toxicological effects of Glycyrrhiza glabra (licorice): A review. Phytother. Res. 2017, 31, 1635–1650. [Google Scholar] [CrossRef]
- Feng, X.; Ding, L.; Qiu, F. Potential drug interactions associated with glycyrrhizin and glycyrrhetinic acid. Drug Metab. Rev. 2015, 47, 229–238. [Google Scholar] [CrossRef]
- Haron, M.H.; Avula, B.; Ali, Z.; Chittiboyina, A.G.; Khan, I.A.; Li, J.; Wang, V.; Wu, C.; Khan, S.I. Assessment of Herb-Drug Interaction Potential of Five Common Species of Licorice and Their Phytochemical Constituents. J. Diet. Suppl. 2023, 20, 582–601. [Google Scholar] [CrossRef]
- He, Y.; Ci, X.; Xie, Y.; Yi, X.; Zeng, Y.; Li, Y.; Liu, C. Potential detoxification effect of active ingredients in liquorice by upregulating efflux transporter. Phytomedicine 2019, 56, 175–182. [Google Scholar] [CrossRef]
- Wang, X.; Zhang, H.; Chen, L.; Shan, L.; Fan, G.; Gao, X. Liquorice, a unique “guide drug” of traditional Chinese medicine: A review of its role in drug interactions. J. Ethnopharmacol. 2013, 150, 781–790. [Google Scholar] [CrossRef] [PubMed]
- Yin, S.; You, T.; Tang, J.; Wang, L.; Jia, G.; Liu, G.; Tian, G.; Chen, X.; Cai, J.; Kang, B.; et al. Dietary licorice flavonoids powder improves serum antioxidant capacity and immune organ inflammatory responses in weaned piglets. Front. Vet. Sci. 2022, 9, 942253. [Google Scholar] [CrossRef] [PubMed]
- Gupta, D.; Agrawal, S.; Sharma, J.P. Effect of preoperative licorice lozenges on incidence of postextubation cough and sore throat in smokers undergoing general anesthesia and endotracheal intubation. Middle East. J. Anaesthesiol. 2013, 22, 173–178. [Google Scholar] [PubMed]
- Helmy, N.; Hafez, S.; Farid, A. Efficacy of Licorice on Salivary Streptococcus mutans Levels vs Chlorhexidine Mouthwash in High Caries Risk Patients: A Randomized Clinical Trial. J. Contemp. Dent. Pract. 2021, 22, 914–921. [Google Scholar] [CrossRef] [PubMed]
- Hoffmann, J.; Gendrisch, F.; Schempp, C.M.; Wölfle, U. New Herbal Biomedicines for the Topical Treatment of Dermatological Disorders. Biomedicines 2020, 8, 27. [Google Scholar] [CrossRef]

| Chemical Components | Structure | Pharmacological Action |
|---|---|---|
| Flavonoids and Isoflavonoid | ||
| Glabridin | ![]() | Antioxidant Muscle relaxant |
| Glabrene | ![]() | Antiulcer |
| IsolIsoliquiritigenin (ISL) | ![]() | Antimycobacterial, Uterine relaxant Analgesic, antitussive activity Corticosteroid activity Antimicrobial |
| Licochalcone | ![]() | Anticancer Antimalarial |
| Triterpenoid saponin | ||
| Glycyrrhizic acid (GL) | ![]() | Antiulcer Antiallergic Antiviral activity Antihyperglycemic |
| 18-β-glycyrrhetinic acid (GA) | ![]() | Memory-enhancing activity Corticosteroid activity Antiviral activity Immunostimulating activity |
| Glycyrrhizin | ![]() | Corticosteroid activity Antiallergic Hepatoprotective Anti-inflammatory Antiviral activity Antihyperglycemic Immunostimulating activity |
| Coumarin | ||
| Licocoumarin | ![]() | Uterine relaxant Analgesic |
Disclaimer/Publisher’s Note: The statements, opinions and data contained in all publications are solely those of the individual author(s) and contributor(s) and not of MDPI and/or the editor(s). MDPI and/or the editor(s) disclaim responsibility for any injury to people or property resulting from any ideas, methods, instructions or products referred to in the content. |
© 2023 by the authors. Licensee MDPI, Basel, Switzerland. This article is an open access article distributed under the terms and conditions of the Creative Commons Attribution (CC BY) license (https://creativecommons.org/licenses/by/4.0/).
Share and Cite
AlDehlawi, H.; Jazzar, A. The Power of Licorice (Radix glycyrrhizae) to Improve Oral Health: A Comprehensive Review of Its Pharmacological Properties and Clinical Implications. Healthcare 2023, 11, 2887. https://doi.org/10.3390/healthcare11212887
AlDehlawi H, Jazzar A. The Power of Licorice (Radix glycyrrhizae) to Improve Oral Health: A Comprehensive Review of Its Pharmacological Properties and Clinical Implications. Healthcare. 2023; 11(21):2887. https://doi.org/10.3390/healthcare11212887
Chicago/Turabian StyleAlDehlawi, Hebah, and Ahoud Jazzar. 2023. "The Power of Licorice (Radix glycyrrhizae) to Improve Oral Health: A Comprehensive Review of Its Pharmacological Properties and Clinical Implications" Healthcare 11, no. 21: 2887. https://doi.org/10.3390/healthcare11212887
APA StyleAlDehlawi, H., & Jazzar, A. (2023). The Power of Licorice (Radix glycyrrhizae) to Improve Oral Health: A Comprehensive Review of Its Pharmacological Properties and Clinical Implications. Healthcare, 11(21), 2887. https://doi.org/10.3390/healthcare11212887









