Highlighting the Use of the Hepatoprotective Nutritional Supplements among Patients with Chronic Diseases
Abstract
:1. Introduction
2. Materials and Methods
2.1. Study Design
2.2. Evaluation of Supplement Usage Habits
2.3. Assessment of Nutritional Status
- 18.49 or less—Underweight;
- 18.50 to 24.99—Normal weight;
- 25.00 to 29.99—Overweight;
- 30.00 to 34.99—Obesity (degree I);
- 35.00 to 39.99—Obesity (degree II);
- 40.00 or more—Obesity (degree III) or morbid obesity.
- Ages < 65: 75–89% for men, 63–75.5% for women.
- Ages 65–70: 73–86% for men, 62–73.5% for women.
- Ages > 70: 70–84% for men, 60–72.5% for women.
- Ages < 65: Males 52–66% (average: 59%), Females 49–63% (average: 56%).
- Ages 65–70: Males 43–73% (average: 59%), Females 41–60% (average: 50%).
- Ages > 70: Males 47–67% (average: 56%), Females 39–57% (average: 47%).
2.4. Statistical Analyses
3. Results
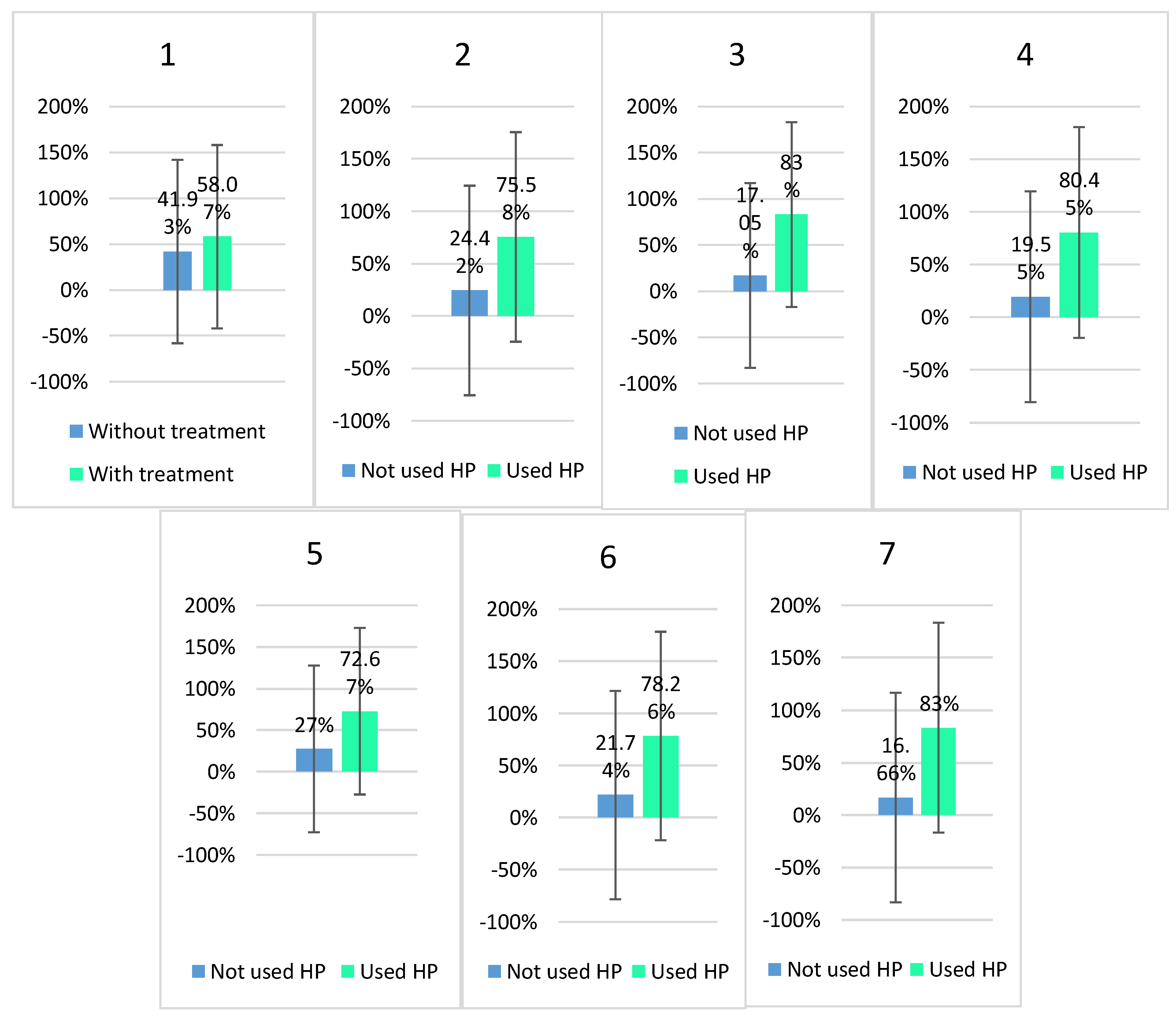
3.1. Hepatoprotective Nutritional Supplements Used
3.2. Supplement Usage Habits
3.3. Nutritional Status Assessment
4. Discussion
5. Conclusions
Supplementary Materials
Author Contributions
Funding
Institutional Review Board Statement
Informed Consent Statement
Data Availability Statement
Acknowledgments
Conflicts of Interest
References
- Ghosh, N.; Ghosh, R.; Mandal, V.; Mandal, S.C. Recent advances in herbal medicine for treatment of liver diseases. Pharm. Biol. 2011, 49, 970–988. [Google Scholar] [CrossRef] [PubMed]
- Zwar, N.; Harris, M.; Griffiths, R.; Roland, M.; Dennis, S.; Powell Davies, G.; Hasan, I. A Systematic Review of Chronic Disease Management. 2006. Available online: https://nceph.anu.edu.au/files/approved_3_zwar_pdf_16757.pdf (accessed on 12 August 2023).
- Reynolds, R.; Dennis, S.; Hasan, I.; Slewa, J.; Chen, W.; Tian, D.; Bobba, S.; Zwar, N. A systematic review of chronic disease management interventions in primary care. BMC Fam. Pract. 2018, 19, 11. [Google Scholar] [CrossRef] [PubMed]
- Dennis, S. Secondary Prevention of Chronic Health Conditions in Patients with Multimorbidity: What can Physiotherapists do? J. Comorbidity 2016, 6, 50–52. [Google Scholar] [CrossRef]
- Caputi, P.; Math, D.; Iverson, D. Are Older Australians with Chronic Diseases Online? Available online: https://ro.uow.edu.au/cgi/viewcontent.cgi?article=6554&context=smhpapers (accessed on 12 August 2023).
- Alkenizan, A. Innovative care for chronic conditions: Building blocks for action. Ann. Saudi Med. 2004, 24, 148. [Google Scholar] [CrossRef]
- Rothman, A.A.; Wagner, E.H. Chronic illness management: What is the role of primary care? Ann. Intern. Med. 2003, 138, 256–261. [Google Scholar] [CrossRef] [PubMed]
- Ham, C. The ten characteristics of the high-performing chronic care system. Health Econ. Policy Law 2010, 5, 71–90. [Google Scholar] [CrossRef]
- Phillips, R.L., Jr.; Starfield, B. Why does a US primary care physician workforce crisis matter? Am. Fam. Physician 2004, 70, 440. [Google Scholar] [PubMed]
- Wang, Q.; Huang, A.; Wang, J.-B.; Zou, Z. Chronic Drug-Induced Liver Injury: Updates and Future Challenges. Front. Pharmacol. 2021, 12, 627133. [Google Scholar] [CrossRef] [PubMed]
- Andrade, R.J.; Robles-Díaz, M. Diagnostic and prognostic assessment of suspected drug-induced liver injury in clinical practice. Liver Int. 2020, 40, 6–17. [Google Scholar] [CrossRef]
- Hernandez, N.; Pontet, Y.; Bessone, F. Translating new knowledge on drug-induced liver injury into clinical practice. Frontline Gastroenterol. 2020, 11, 303–310. [Google Scholar] [CrossRef] [PubMed]
- Saha, P.; Talukdar, A.D.; Nath, R.; Sarker, S.D.; Nahar, L.; Sahu, J.; Choudhury, M.D. Role of Natural Phenolics in Hepatoprotection: A Mechanistic Review and Analysis of Regulatory Network of Associated Genes. Front. Pharmacol. 2019, 10, 509. [Google Scholar] [CrossRef] [PubMed]
- Foghis, M.; Bungau, S.G.; Bungau, A.F.; Vesa, C.M.; Purza, A.L.; Tarce, A.G.; Tit, D.M.; Pallag, A.; Behl, T.; Ul Hassan, S.S.; et al. Plants-based medicine implication in the evolution of chronic liver diseases. Biomed. Pharmacother. 2023, 158, 114207. [Google Scholar] [CrossRef]
- Wood, N.J. Liver: Nonobese individuals in the developing world are at risk of nonalcoholic fatty liver and liver disease. Nat. Rev. Gastroenterol. Hepatol. 2010, 7, 357. [Google Scholar] [CrossRef] [PubMed]
- Beste, L.A.; Leipertz, S.L.; Green, P.K.; Dominitz, J.A.; Ross, D.; Ioannou, G.N. Trends in burden of cirrhosis and hepatocellular carcinoma by underlying liver disease in US veterans, 2001–2013. Gastroenterology 2015, 149, 1471–1482.e5. [Google Scholar] [CrossRef] [PubMed]
- Flora, K.D.; Rosen, H.R.; Benner, K.G. The use of naturopathic remedies for chronic liver disease. Am. J. Gastroenterol. 1996, 91, 2654–2655. [Google Scholar]
- Panahi, Y.; Khalili, N.; Hosseini, M.S.; Abbasinazari, M.; Sahebkar, A. Lipid-modifying effects of adjunctive therapy with curcuminoids-piperine combination in patients with metabolic syndrome: Results of a randomized controlled trial. Complement. Ther. Med. 2014, 22, 851–857. [Google Scholar] [CrossRef] [PubMed]
- Chen, S.; Zhao, X.; Ran, L.; Wan, J.; Wang, X.; Qin, Y.; Shu, F.; Gao, Y.; Yuan, L.; Zhang, Q.; et al. Resveratrol improves insulin resistance, glucose and lipid metabolism in patients with non-alcoholic fatty liver disease: A randomized controlled trial. Dig. Liver Dis. 2015, 47, 226–232. [Google Scholar] [CrossRef] [PubMed]
- Pfeuffer, M.; Auinger, A.; Bley, U.; Kraus-Stojanowic, I.; Laue, C.; Winkler, P.; Rüfer, C.E.; Frank, J.; Bösch-Saadatmandi, C.; Rimbach, G.; et al. Effect of quercetin on traits of the metabolic syndrome, endothelial function and inflammation in men with different APOE isoforms. Nutr. Metab. Cardiovasc. Dis. 2013, 23, 403–409. [Google Scholar] [CrossRef]
- Gitea, M.A.; Bungau, S.G.; Gitea, D.; Pasca, B.M.; Purza, A.L.; Radu, A.F. Evaluation of the Phytochemistry-Therapeutic Activity Relationship for Grape Seeds Oil. Life 2023, 13, 178. [Google Scholar] [CrossRef] [PubMed]
- Dong, H.; Rendeiro, C.; Kristek, A.; Sargent, L.J.; Saunders, C.; Harkness, L.; Rowland, I.; Jackson, K.G.; Spencer, J.P.; Lovegrove, J.A. Addition of Orange Pomace to Orange Juice Attenuates the Increases in Peak Glucose and Insulin Concentrations after Sequential Meal Ingestion in Men with Elevated Cardiometabolic Risk. J. Nutr. 2016, 146, 1197–1203. [Google Scholar] [CrossRef] [PubMed]
- Chang, H.C.; Peng, C.H.; Yeh, D.M.; Kao, E.S.; Wang, C.J. Hibiscus sabdariffa extract inhibits obesity and fat accumulation, and improves liver steatosis in humans. Food Funct. 2014, 5, 734–739. [Google Scholar] [CrossRef]
- Gabriel, N.N.; Qiang, J.; Ma, X.Y.; He, J.; Xu, P.; Liu, K. Dietary Aloe vera improves plasma lipid profile, antioxidant, and hepatoprotective enzyme activities in GIFT-tilapia (Oreochromis niloticus) after Streptococcus iniae challenge. Fish Physiol. Biochem. 2015, 41, 1321–1332. [Google Scholar] [CrossRef] [PubMed]
- Behl, T.; Singh, S.; Sharma, N.; Zahoor, I.; Albarrati, A.; Albratty, M.; Meraya, A.M.; Najmi, A.; Bungau, S. Expatiating the Pharmacological and Nanotechnological Aspects of the Alkaloidal Drug Berberine: Current and Future Trends. Molecules 2022, 27, 3705. [Google Scholar] [CrossRef] [PubMed]
- Zilaee, M.; Kermany, T.; Tavalaee, S.; Salehi, M.; Ghayour-Mobarhan, M.; Ferns, G.A. Barberry treatment reduces serum anti-heat shock protein 27 and 60 antibody titres and high-sensitivity c-reactive protein in patients with metabolic syndrome: A double-blind, randomized placebo-controlled trial. Phytother. Res. 2014, 28, 1211–1215. [Google Scholar] [CrossRef] [PubMed]
- Sivasankarapillai, V.S.; Madhu Kumar Nair, R.; Rahdar, A.; Bungau, S.; Zaha, D.C.; Aleya, L.; Tit, D.M. Overview of the anticancer activity of withaferin A, an active constituent of the Indian ginseng Withania somnifera. Environ. Sci. Pollut. Res. 2020, 27, 26025–26035. [Google Scholar] [CrossRef] [PubMed]
- Behl, T.; Sharma, A.; Sharma, L.; Sehgal, A.; Zengin, G.; Brata, R.; Fratila, O.; Bungau, S. Exploring the Multifaceted Therapeutic Potential of Withaferin A and Its Derivatives. Biomedicines 2020, 8, 571. [Google Scholar] [CrossRef] [PubMed]
- Gostin, A.-I.; Waisundara, V. Edible Flowers as Functional Food: A Review on Artichoke (Cynara cardunculus L.). Trends Food Sci. Technol. 2019, 86, 381–391. [Google Scholar] [CrossRef]
- Patel, D.K. Morelloflavone as Phytomedicine-An Ethnopharmacological Review on the Therapeutical Properties, Biological Efficacy and Pharmacological Activity. Anti-Infect. Agents 2023, 21, 48–58. [Google Scholar] [CrossRef]
- Krepkova, L.V.; Babenko, A.N.; Saybel, O.L.; Lupanova, I.A.; Kuzina, O.S.; Job, K.M.; Sherwin, C.M.; Enioutina, E.Y. Valuable Hepatoprotective Plants—How Can We Optimize Waste Free Uses of Such Highly Versatile Resources? Front. Pharmacol. 2021, 12, 738504. [Google Scholar] [CrossRef] [PubMed]
- Covington, R.J. Mystery of the Cure: The Intermittent Fasting Revelation How Science and the Bible Have Uncovered the Mystery of Good Health and Weight Loss; WestBow Press: Bloomington, IN, USA, 2023. [Google Scholar]
- Silva Figueiredo, P.; Inada, A.C.; Ribeiro Fernandes, M.; Granja Arakaki, D.; Freitas, K.D.C.; Avellaneda Guimarães, R.D.C.; Aragão do Nascimento, V.; Aiko Hiane, P. An Overview of Novel Dietary Supplements and Food Ingredients in Patients with Metabolic Syndrome and Non-Alcoholic Fatty Liver Disease. Molecules 2018, 23, 877. [Google Scholar] [CrossRef] [PubMed]
- Cronbach, L.J. Coefficient alpha and the internal structure of tests. Psychometrika 1951, 16, 297–334. [Google Scholar] [CrossRef]
- Malczyk, E.; Dzięgielewska-Gęsiak, S.; Fatyga, E.; Ziółko, E.; Kokot, T.; Muc-Wierzgon, M. Body composition in healthy older persons: Role of the ratio of extracellular/total body water. J. Biol. Regul. Homeost. Agents 2016, 30, 767–772. [Google Scholar] [PubMed]
- Tanita.eu. Body Composition Analyzer MC-780MA-N Instruction Manual. Available online: https://tanita.eu/media/pdf/products-tanita/professional/MC-780/MC-780MA%20N%20Instruction%20Manual%20%28EN%29%202018%20%282%29.pdf. (accessed on 16 September 2022).
- Bungau, S.; Popa, V.-C. Between Religion and Science: Some Aspects: Concerning Illness and Healing in Antiquity. Transylv. Rev. 2015, XXIV, 3–19. [Google Scholar]
- Blasco-Algora, S.; Masegosa-Ataz, J.; Gutiérrez-García, M.L.; Alonso-López, S.; Fernández-Rodríguez, C.M. Acute-on-chronic liver failure: Pathogenesis, prognostic factors and management. World J. Gastroenterol. 2015, 21, 12125. [Google Scholar] [CrossRef] [PubMed]
- Ozougwu, J.C. Physiology of the liver. Int. J. Res. Pharm. Biosci. 2017, 4, 13–24. [Google Scholar]
- Maher, J.J. Exploring alcohol’s effects on liver function. Alcohol Health Res. World 1997, 21, 5. [Google Scholar] [PubMed]
- Mukherjee, U.; Maitra, S. Impact of Metabolic disrupting chemicals on redox homeostasis, energy sensors, receptor modulation, and hormone metabolism: A comparative account in Teleost and mammalian model organisms. Aquac. Fish. 2023. [Google Scholar] [CrossRef]
- Sánchez-Medina, A.; Redondo-Puente, M.; Dupak, R.; Bravo-Clemente, L.; Goya, L.; Sarriá, B. Colonic Coffee Phenols Metabolites, Dihydrocaffeic, Dihydroferulic, and Hydroxyhippuric Acids Protect Hepatic Cells from TNF-α-Induced Inflammation and Oxidative Stress. Int. J. Mol. Sci. 2023, 24, 1440. [Google Scholar] [CrossRef]
- Chen, Q.; Hu, A.; Ma, A.; Jiang, F.; Xiao, Y.; Chen, Y.; Huang, R.; Yang, T.; Zhou, J. Effectiveness of Prophylactic Use of Hepatoprotectants for Tuberculosis Drug-Induced Liver Injury: A Population-Based Cohort Analysis Involving 6743 Chinese Patients. Front. Pharmacol. 2022, 13, 813682. [Google Scholar] [CrossRef] [PubMed]
- Hanje, A.J.; Fortune, B.; Song, M.; Hill, D.; McClain, C. The use of selected nutrition supplements and complementary and alternative medicine in liver disease. Nutr. Clin. Pract. 2006, 21, 255–272. [Google Scholar] [CrossRef] [PubMed]
- Alosaimi, K.; Alwafi, H.; Alhindi, Y.; Falemban, A.; Alshanberi, A.; Ayoub, N.; Alsanosi, S. Medication Adherence among Patients with Chronic Diseases in Saudi Arabia. Int. J. Environ. Res. Public Health 2022, 19, 10053. [Google Scholar] [CrossRef] [PubMed]
- Danielson, E.; Melin-Johansson, C.; Modanloo, M. Adherence to Treatment in Patients with Chronic Diseases: From Alertness to Persistence. Int. J. Community Based Nurs. Midwifery 2019, 7, 248–257. [Google Scholar] [CrossRef] [PubMed]
- Ali, M.; Khan, T.; Fatima, K.; Ali, Q.U.A.; Ovais, M.; Khalil, A.T.; Ullah, I.; Raza, A.; Shinwari, Z.K.; Idrees, M. Selected hepatoprotective herbal medicines: Evidence from ethnomedicinal applications, animal models, and possible mechanism of actions. Phytother. Res. 2018, 32, 199–215. [Google Scholar] [CrossRef] [PubMed]








| Groups | N | % |
|---|---|---|
| 1 | 62 | 6.5 |
| 2 | 217 | 22.7 |
| 3 | 217 | 22.7 |
| 4 | 179 | 18.8 |
| 5 | 139 | 14.6 |
| 6 | 92 | 9.6 |
| 7 | 48 | 5 |
| Groups | No | Silybum | Other Types of HP | |||
|---|---|---|---|---|---|---|
| Count % | ||||||
| 1 | 26 | 12.0 | 29 | 5.1 | 7 | 4.1 |
| 2 | 53 | 24.4 | 137 | 24.1 | 27 | 16.0 |
| 3 | 37 | 17.1 | 122 | 21.5 | 58 | 34.3 |
| 4 | 35 | 16.1 | 117 | 20.6 | 27 | 16.0 |
| 5 | 38 | 17.5 | 76 | 13.4 | 25 | 14.8 |
| 6 | 20 | 9.2 | 57 | 10.0 | 15 | 8.9 |
| 7 | 8 | 3.7 | 30 | 5.3 | 10 | 5.9 |
| Total | 217 | 22.7 | 568 | 59.5 | 169 | 17.7 |
| Parameters | Age Category | p | ||||||
|---|---|---|---|---|---|---|---|---|
| <65 | 65–70 | >70 | ||||||
| N % | ||||||||
| Sex | Male | 27 | 13.8 | 12 | 6.2 | 9 | 4.6 | 0.001 |
| Female | 69 | 35.4 | 51 | 26.2 | 27 | 13.8 | ||
| Origin | Urban | 69 | 35.4 | 51 | 26.2 | 18 | 9.2 | 0.433 |
| Rural | 27 | 13.8 | 12 | 6.2 | 18 | 9.2 | ||
| Education | Secondary | 51 | 26.2 | 33 | 16.9 | 15 | 7.7 | 0.004 |
| Higher | 45 | 23.1 | 30 | 15.4 | 21 | 10.8 | ||
| Total | 96 | 49,2 | 63 | 32.3 | 36 | 18.5 | 0.002 | |
| Questions | Answer Option | Age Category | p | |||||
|---|---|---|---|---|---|---|---|---|
| <65 | 65–70 | >70 | ||||||
| N % | ||||||||
| Use of supplements | No | 33 | 16.9 | 21 | 10.8 | 15 | 7.7 | 0.017 * |
| Yes | 63 | 32.3 | 42 | 21.5 | 21 | 10.8 | ||
| For what purpose? | No | 33 | 16.9 | 21 | 10.8 | 15 | 7.7 | 0.042 * |
| Hepatoprotective | 32 | 16.41 | 28 | 14.35 | 15 | 7.7 | ||
| Body protection | 18 | 9.23 | 3 | 1.53 | 0 | 0.0 | ||
| Preventive | 7 | 3.58 | 2 | 1.02 | 0 | 0.0 | ||
| Other | 6 | 3.07 | 9 | 4.61 | 6 | 3.07 | ||
| Recommended by | Don’t use | 33 | 16.9 | 21 | 10.8 | 15 | 7.7 | 0.096 |
| Their own initiative | 24 | 12.3 | 16 | 8.20 | 6 | 3.07 | ||
| Friends | 9 | 4.61 | 3 | 1.53 | 0 | 0.0 | ||
| Mass media | 12 | 6.15 | 6 | 3.07 | 3 | 1.5 | ||
| Doctor | 9 | 4.61 | 9 | 4.6 | 6 | 3.1 | ||
| Pharmacist | 6 | 3.07 | 5 | 2.56 | 6 | 3.07 | ||
| Other | 3 | 1.53 | 3 | 1.53 | 0 | 0.0 | ||
| How long | Don’t use | 33 | 16.9 | 21 | 10.8 | 15 | 7.7 | 0.312 |
| Not yet | 0 | 0.0 | 3 | 1.53 | 0 | 0.0 | ||
| Less than a week | 12 | 6.15 | 6 | 3.07 | 0 | 0.0 | ||
| 1–2 weeks | 13 | 6.66 | 2 | 1.02 | 0 | 0.0 | ||
| 1 month | 17 | 8.71 | 5 | 2.56 | 0 | 0.0 | ||
| 2 months | 6 | 3.07 | 8 | 4.10 | 6 | 3.07 | ||
| More than 2 months | 15 | 7.7 | 18 | 9.23 | 15 | 7.7 | ||
| Changes in health status | Don’t use | 33 | 16.9 | 21 | 10.8 | 15 | 7.7 | 0.744 |
| Major | 35 | 17.94 | 26 | 13.33 | 9 | 4.61 | ||
| Minor | 17 | 8.71 | 15 | 7.7 | 9 | 4.61 | ||
| No change | 6 | 3.07 | 1 | 0.51 | 3 | 1.53 | ||
| Worsening | 0 | 0.0 | 0 | 0.0 | 0 | 0.0 | ||
| Parameters | Age Category | p | ||||||
|---|---|---|---|---|---|---|---|---|
| <65 | 65–70 | >70 | ||||||
| N % | ||||||||
| Sex | male | 9 | 13.8 | 4 | 6.2 | 3 | 4.6 | 0.763 |
| female | 23 | 35.4 | 17 | 26.2 | 9 | 13.8 | ||
| Origin | urban | 23 | 35.4 | 17 | 26.2 | 6 | 9.2 | 0.173 |
| rural | 9 | 13.8 | 4 | 6.2 | 6 | 9.2 | ||
| Education | secondary | 17 | 26.2 | 11 | 16.9 | 5 | 7.7 | 0.791 |
| higher | 15 | 23.1 | 10 | 15.4 | 7 | 10.8 | ||
| Total | 32 | 49.23 | 21 | 32.30 | 12 | 18.46 | 0.356 | |
| Evaluated Parameters | Used Supplements | Used HP | p | |||
|---|---|---|---|---|---|---|
| Not Used | Used | Not Used | Used | |||
| N(%) | ||||||
| Fat mass | under | 1(16.7) | 6(10.2) | 2(4.8) | 5(21.7) | 0.117 |
| normal | 3(50.0) | 28(47.5) | 19(45.2) | 12(52.2) | 0.134 | |
| over | 2(33.3) | 13(22.0) | 10(23.8) | 5(21.7) | 0.219 | |
| high | 0(0.0) | 12(20.3) | 11(26.2) | 1(4.3) | 1.000 | |
| Muscle mass | under | 0(0.0) | 1(1.7) | 0(0.0) | 1(4.3) | 1.000 |
| normal | 5(83.3) | 39(66.1) | 23(54.8) | 21(91.3) | 0.025 * | |
| over | 1(16.7) | 19(3.,2) | 19(45.2) | 1(4.3) | 0.819 | |
| Hydration | under | 1(16.7) | 21(35.6) | 18(42.9) | 4(17.4) | 0.637 |
| normal | 5(83.3) | 38(64.4) | 24(57.1) | 19(82.6) | 0.036 * | |
| high | 0(0.0) | 0(0.0) | 0(0.0) | 0(0.0) | 1.000 | |
Disclaimer/Publisher’s Note: The statements, opinions and data contained in all publications are solely those of the individual author(s) and contributor(s) and not of MDPI and/or the editor(s). MDPI and/or the editor(s) disclaim responsibility for any injury to people or property resulting from any ideas, methods, instructions or products referred to in the content. |
© 2023 by the authors. Licensee MDPI, Basel, Switzerland. This article is an open access article distributed under the terms and conditions of the Creative Commons Attribution (CC BY) license (https://creativecommons.org/licenses/by/4.0/).
Share and Cite
Foghis, M.; Tit, D.M.; Bungau, S.G.; Ghitea, T.C.; Pallag, C.R.; Foghis, A.M.; Behl, T.; Bustea, C.; Pallag, A. Highlighting the Use of the Hepatoprotective Nutritional Supplements among Patients with Chronic Diseases. Healthcare 2023, 11, 2685. https://doi.org/10.3390/healthcare11192685
Foghis M, Tit DM, Bungau SG, Ghitea TC, Pallag CR, Foghis AM, Behl T, Bustea C, Pallag A. Highlighting the Use of the Hepatoprotective Nutritional Supplements among Patients with Chronic Diseases. Healthcare. 2023; 11(19):2685. https://doi.org/10.3390/healthcare11192685
Chicago/Turabian StyleFoghis, Monica, Delia Mirela Tit, Simona Gabriela Bungau, Timea Claudia Ghitea, Csaba Robert Pallag, Andreea Monica Foghis, Tapan Behl, Cristian Bustea, and Annamaria Pallag. 2023. "Highlighting the Use of the Hepatoprotective Nutritional Supplements among Patients with Chronic Diseases" Healthcare 11, no. 19: 2685. https://doi.org/10.3390/healthcare11192685
APA StyleFoghis, M., Tit, D. M., Bungau, S. G., Ghitea, T. C., Pallag, C. R., Foghis, A. M., Behl, T., Bustea, C., & Pallag, A. (2023). Highlighting the Use of the Hepatoprotective Nutritional Supplements among Patients with Chronic Diseases. Healthcare, 11(19), 2685. https://doi.org/10.3390/healthcare11192685

