Are Primary Outcomes Really Primary? An Exploratory Cross-Sectional Nationwide Web-Based Survey Study for Outcomes Reflecting Real Symptoms and Needs of Patients with Lumbar Disc Herniation
Abstract
:1. Introduction
2. Materials and Methods
2.1. Study Design
2.2. Respondents
2.3. Survey Questionnaires
2.4. Onset
2.5. Symptom and Severity
2.6. Priority Symptoms for Improvement
2.7. Important Factors in Treatment
2.8. Statistical Analysis
3. Results
3.1. Participants
3.2. Basic Respondent Characteristics
3.3. LDH-Related Symptoms and Disability
3.4. Severity of Symptoms and Disability of LDH
3.5. Priority Symptoms for Improvement
3.6. Priority Disabilities for Improvement
3.7. Important Factors in Treatment
3.8. Unmet Medical Needs and Intention to Treat
4. Discussion
Supplementary Materials
Author Contributions
Funding
Institutional Review Board Statement
Informed Consent Statement
Data Availability Statement
Conflicts of Interest
References
- Hoy, D.; Bain, C.; Williams, G.; March, L.; Brooks, P.; Blyth, F.; Woolf, A.; Vos, T.; Buchbinder, R. A systematic review of the global prevalence of low back pain. Arthritis Rheum. 2012, 64, 2028–2037. [Google Scholar] [CrossRef]
- World Health Organization. Priority Diseases and Reasons for Inclusion; World Health Organization: Geneva, Switzerland, 2014. [Google Scholar]
- James, S.L.; Abate, D.; Abate, K.H.; Abay, S.M.; Abbafati, C.; Abbasi, N.; Abbastabar, H.; Abd-Allah, F.; Abdela, J.; Abdelalim, A. Global, regional, and national incidence, prevalence, and years lived with disability for 354 diseases and injuries for 195 countries and territories, 1990–2017: A systematic analysis for the Global Burden of Disease Study 2017. Lancet 2018, 392, 1789–1858. [Google Scholar] [CrossRef]
- Freburger, J.K.; Holmes, G.M.; Agans, R.P.; Jackman, A.M.; Darter, J.D.; Wallace, A.S.; Castel, L.D.; Kalsbeek, W.D.; Carey, T.S. The rising prevalence of chronic low back pain. Arch. Intern. Med. 2009, 169, 251–258. [Google Scholar] [CrossRef]
- Amin, R.M.; Andrade, N.S.; Neuman, B.J. Lumbar Disc Herniation. Curr. Rev. Musculoskelet. Med. 2017, 10, 507–516. [Google Scholar] [CrossRef]
- Schoenfeld, A.J.; Weiner, B.K. Treatment of lumbar disc herniation: Evidence-based practice. Int. J. Gen. Med. 2010, 3, 209. [Google Scholar] [PubMed]
- Will, J.S.; Bury, D.C.; Miller, J.A. Mechanical low back pain. Am. Fam. Physician 2018, 98, 421–428. [Google Scholar] [PubMed]
- Axén, I.; Leboeuf-Yde, C. Trajectories of low back pain. Best Pract. Res. Clin. Rheumatol. 2013, 27, 601–612. [Google Scholar] [CrossRef] [PubMed]
- Hawker, G.A.; Mian, S.; Kendzerska, T.; French, M. Measures of adult pain: Visual analog scale for pain (vas pain), numeric rating scale for pain (nrs pain), mcgill pain questionnaire (mpq), short-form mcgill pain questionnaire (sf-mpq), chronic pain grade scale (cpgs), short form-36 bodily pain scale (sf-36 bps), and measure of intermittent and constant osteoarthritis pain (icoap). Arthritis Care Res. 2011, 63, S240–S252. [Google Scholar]
- Jeon, C.-H.; Kim, D.-J.; Kim, D.-J.; Lee, H.-M.; Park, H.-J. Cross-cultural adaptation of the Korean version of the Oswestry Disability Index (ODI). J. Korean Soc. Spine Surg. 2005, 12, 146–152. [Google Scholar] [CrossRef]
- Kim, D.-Y.; Lee, S.-H.; Lee, H.-Y.; Lee, H.-J.; Chang, S.-B.; Chung, S.-K.; Kim, H.-J. Validation of the Korean version of the oswestry disability index. Spine 2005, 30, E123–E127. [Google Scholar] [CrossRef]
- Stratford, P.W.; Binkley, J.M.; Riddle, D.L.; Guyatt, G.H. Sensitivity to change of the Roland-Morris back pain questionnaire: Part 1. Phys. Ther. 1998, 78, 1186–1196. [Google Scholar] [CrossRef] [PubMed]
- Baker, A.D. A study of the natural history of back pain: Part I: Development of a reliable and sensitive measure of disability in low-back pain. In Classic Papers in Orthopaedics; Springer: Berlin/Heidelberg, Germany, 2013; pp. 241–244. [Google Scholar]
- Monticone, M.; Baiardi, P.; Vanti, C.; Ferrari, S.; Pillastrini, P.; Mugnai, R.; Foti, C. Responsiveness of the Oswestry Disability Index and the Roland Morris Disability Questionnaire in Italian subjects with sub-acute and chronic low back pain. Eur. Spine J. 2012, 21, 122–129. [Google Scholar] [CrossRef] [PubMed]
- Iorio-Morin, C.; Dea, N. Surgical versus Nonoperative Treatment for Lumbar Disc Herniation: The Spine Patient Outcomes Research Trial (SPORT): A Randomized Trial. In 50 Landmark Papers; CRC Press: Boca Raton, FL, USA, 2018; pp. 127–131. [Google Scholar]
- Peul, W.C.; Van Houwelingen, H.C.; van den Hout, W.B.; Brand, R.; Eekhof, J.A.; Tans, J.T.; Thomeer, R.T.; Koes, B.W. Surgery versus prolonged conservative treatment for sciatica. N. Engl. J. Med. 2007, 356, 2245–2256. [Google Scholar] [CrossRef] [PubMed]
- Xu, J.; Ding, X.; Wu, J.; Zhou, X.; Jin, K.; Yan, M.; Ma, J.; Wu, X.; Ye, J.; Mo, W. A randomized controlled study for the treatment of middle-aged and old-aged lumbar disc herniation by Shis spine balance manipulation combined with bone and muscle guidance. Medicine 2020, 99, e23812. [Google Scholar] [CrossRef] [PubMed]
- Kreiner, D.S.; Hwang, S.W.; Easa, J.E.; Resnick, D.K.; Baisden, J.L.; Bess, S.; Cho, C.H.; DePalma, M.J.; Dougherty II, P.; Fernand, R. An evidence-based clinical guideline for the diagnosis and treatment of lumbar disc herniation with radiculopathy. Spine J. 2014, 14, 180–191. [Google Scholar] [CrossRef]
- Andersson, G.; Brown, M.D.; Dvorak, J.; Herzog, R.J.; Kambin, P.; Malter, A.; McCulloch, J.A.; Saal, J.A.; Spratt, K.F.; Weinstein, J.N. Consensus summary of the diagnosis and treatment of lumbar disc herniation. Spine 1996, 21, 75S–78S. [Google Scholar] [CrossRef]
- Gunawan, J.; Marzilli, C.; Aungsuroch, Y. Establishing appropriate sample size for developing and validating a questionnaire in nursing research. Belitung Nurs. J. 2021, 7, 356–360. [Google Scholar] [CrossRef]
- Cummins, J.; Lurie, J.D.; Tosteson, T.; Hanscom, B.; Abdu, W.A.; Birkmeyer, N.J.; Herkowitz, H.; Weinstein, J. Descriptive epidemiology and prior healthcare utilization of patients in the spine patient outcomes research trial’s (sport) three observational cohorts: Disc herniation, spinal stenosis and degenerative spondylolisthesis. Spine 2006, 31, 806. [Google Scholar] [CrossRef]
- Ma, D.; Liang, Y.; Wang, D.; Liu, Z.; Zhang, W.; Ma, T.; Zhang, L.; Lu, X.; Cai, Z. Trend of the incidence of lumbar disc herniation: Decreasing with aging in the elderly. Clin. Interv. Aging 2013, 8, 1047–1050. [Google Scholar]
- Kim, M.-H.; Lee, Y.J.; Shin, J.-S.; Lee, J.; Jeong, H.; Kim, M.-R.; Park, S.-M.; Go, U.; Kim, S.-M.; Kim, J.-Y. The long-term course of outcomes for lumbar intervertebral disc herniation following integrated complementary and alternative medicine inpatient treatment: A prospective observational study. Evid.-Based Complement. Altern. Med. 2017, 2017, 5239719. [Google Scholar] [CrossRef]
- Kim, D.; Choi, Y.; Yang, C.; Lee, Y.J.; Han, C.-H.; Ha, I. Influencing Factors for Choosing Korean Medicine Treatments after Spinal Surgery or Spinal Surgery Recommendation in Patients with Spinal Pain: A Semi-Structured Interview Study. Complement. Med. Res. 2022, 29, 320–329. [Google Scholar] [CrossRef] [PubMed]
- Solodiuk, J.C.; Scott-Sutherland, J.; Meyers, M.; Myette, B.; Shusterman, C.; Karian, V.E.; Harris, S.K.; Curley, M.A. Validation of the Individualized Numeric Rating Scale (INRS): A pain assessment tool for nonverbal children with intellectual disability. Pain 2010, 150, 231–236. [Google Scholar] [CrossRef] [PubMed]
- Sham, P.C.; Curtis, D. Monte Carlo tests for associations between disease and alleles at highly polymorphic loci. Ann Hum Genet 1995, 59, 97–105. [Google Scholar] [CrossRef] [PubMed]
- Hope, A.C. A simplified Monte Carlo significance test procedure. J. R. Stat. Soc. Ser. B Stat. Methodol. 1968, 30, 582–598. [Google Scholar] [CrossRef]
- Kesmodel, U.S. Cross-sectional studies–What are they good for? Acta Obstet. Gynecol. Scand. 2018, 97, 388–393. [Google Scholar] [CrossRef]
- Vialle, L.R.; Vialle, E.N.; Henao, J.E.S.; Giraldo, G. Lumbar disc herniation. Rev. Bras. Ortop. 2010, 45, 17–22. [Google Scholar] [CrossRef]
- Kortelainen, P.; Puranen, J.; Koivisto, E.; Lähde, S. Symptoms and signs of sciatica and their relation to the localization of the lumbar disc herniation. Spine 1985, 10, 88–92. [Google Scholar] [CrossRef]
- Green, C.A.; Pope, C.R. Gender, psychosocial factors and the use of medical services: A longitudinal analysis. Soc. Sci. Med. 1999, 48, 1363–1372. [Google Scholar] [CrossRef]
- Greendale, G.A.; Lee, N.P.; Arriola, E.R. The menopause. Lancet 1999, 353, 571–580. [Google Scholar] [CrossRef]
- Siccoli, A.; Schröder, M.L.; Staartjes, V.E. Association of age with incidence and timing of recurrence after microdiscectomy for lumbar disc herniation. Eur. Spine J. 2021, 30, 893–898. [Google Scholar] [CrossRef]
- Strömqvist, F.; Strömqvist, B.; Jönsson, B.; Karlsson, M.K. Surgical treatment of lumbar disc herniation in different ages—Evaluation of 11,237 patients. Spine J. 2017, 17, 1577–1585. [Google Scholar] [CrossRef] [PubMed]
- Jönsson, B.; Strömqvist, B. Influence of age on symptoms and signs in lumbar disc herniation. Eur. Spine J. 1995, 4, 202–205. [Google Scholar] [CrossRef] [PubMed]
- Yang, H.; Liu, H.; Li, Z.; Zhang, K.; Wang, J.; Wang, H.; Zheng, Z. Low back pain associated with lumbar disc herniation: Role of moderately degenerative disc and annulus fibrous tears. Int. J. Clin. Exp. Med. 2015, 8, 1634. [Google Scholar] [PubMed]
- Leinonen, V.; Kankaanpää, M.; Luukkonen, M.; Kansanen, M.; Hänninen, O.; Airaksinen, O.; Taimela, S. Lumbar paraspinal muscle function, perception of lumbar position, and postural control in disc herniation-related back pain. Spine 2003, 28, 842–848. [Google Scholar] [CrossRef]
- Van Der Windt, D.A.; Simons, E.; Riphagen, I.I.; Ammendolia, C.; Verhagen, A.P.; Laslett, M.; Devillé, W.; Deyo, R.A.; Bouter, L.M.; de Vet, H.C. Physical examination for lumbar radiculopathy due to disc herniation in patients with low-back pain. Cochrane Database Syst. Rev. 2010, CD007431. [Google Scholar] [CrossRef]
- Heo, D.H.; Lee, D.C.; Kim, H.S.; Park, C.K.; Chung, H. Clinical results and complications of endoscopic lumbar interbody fusion for lumbar degenerative disease: A meta-analysis. World Neurosurg. 2021, 145, 396–404. [Google Scholar] [CrossRef]
- Azimi, P.; Yazdanian, T.; Benzel, E.C. Determination of minimally clinically important differences for JOABPEQ measure after discectomy in patients with lumbar disc herniation. J. Spine Surg. 2018, 4, 102. [Google Scholar] [CrossRef]
- Copay, A.G.; Glassman, S.D.; Subach, B.R.; Berven, S.; Schuler, T.C.; Carreon, L.Y. Minimum clinically important difference in lumbar spine surgery patients: A choice of methods using the Oswestry Disability Index, Medical Outcomes Study questionnaire Short Form 36, and pain scales. Spine J. 2008, 8, 968–974. [Google Scholar] [CrossRef]
- Sharma, S.B.; Lin, G.-X.; Jabri, H.; Sidappa, N.D.; Song, M.S.; Choi, K.C.; Kim, J.-S. Radiographic and clinical outcomes of huge lumbar disc herniations treated by transforaminal endoscopic discectomy. Clin. Neurol. Neurosurg. 2019, 185, 105485. [Google Scholar] [CrossRef]
- Kovacs, F.M.; Abraira, V.; Zamora, J.; Teresa Gil del Real, M.; Llobera, J.; Fernández, C.; Bauza, J.R.; Bauza, K.; Coll, J.; Cuadri, M.; et al. Correlation between pain, disability, and quality of life in patients with common low back pain. Spine 2004, 29, 206–210. [Google Scholar] [CrossRef]
- Peul, W.C.; van den Hout, W.B.; Brand, R.; Thomeer, R.T.; Koes, B.W.; Group, L.-T.H.S.I.P.S. Prolonged conservative care versus early surgery in patients with sciatica caused by lumbar disc herniation: Two year results of a randomised controlled trial. BMJ 2008, 336, 1355–1358. [Google Scholar] [CrossRef] [PubMed]
- Skargren, E.I.; Carlsson, P.G.; Öberg, B.E. One-year follow-up comparison of the cost and effectiveness of chiropractic and physiotherapy as primary management for back pain: Subgroup analysis, recurrence, and additional health care utilization. Spine 1998, 23, 1875–1883. [Google Scholar] [CrossRef] [PubMed]
- Milette, P.C. The proper terminology for reporting lumbar intervertebral disk disorders. AJNR Am. J. Neuroradiol. 1997, 18, 1859. [Google Scholar] [PubMed]
- Milette, P.C. Classification, diagnostic imaging, and imaging characterization of a lumbar herniated disk. Radiol. Clin. 2000, 38, 1267–1292. [Google Scholar] [CrossRef]




| All Respondents | MRI at Diagnosis | |
|---|---|---|
| N (%) | N (%) | |
| Total | 500 (100%) | 317(100%) |
| Sex | ||
| Male | 253 (50.60%) | 172 (54.3%) |
| Female | 247 (49.40%) | 145 (45.7%) |
| Age (years) | ||
| Mean (mean ± SD) | 44.37 ± 13.70 | 44.95 ± 13.32 |
| Area of residence | ||
| Seoul | 167 (33.4%) | 106 (33.44) |
| Capital area | 173 (34.6%) | 111 (35.0%) |
| Metropolitan Cities | 86 (17.2%) | 51 (16.1%) |
| Others | 74 (14.8%) | 49 (15.5%) |
| Occupation | ||
| Managers | 29 (5.8%) | 19 (6.0%) |
| Professionals | 66 (13.2%) | 42 (13.3%) |
| Clerks | 160 (32.0%) | 101 (31.9%) |
| Service workers | 56 (11.2%) | 32 (10.1%) |
| Sales workers | 15 (3.0%) | 9 (2.8%) |
| Skilled agricultural, forestry, and fishery workers | 5 (1.0%) | 5 (1.6%) |
| Craft and related trades workers | 11 (2.2%) | 3 (0.9%) |
| Plant and machine operators and assemblers | 6 (1.2%) | 4 (1.3%) |
| Elementary occupations | 13 (2.6%) | 9 (2.8%) |
| Armed forces occupations | 5 (1.0%) | 4 (1.3%) |
| No occupation | 134 (26.8%) | 89 (28.1%) |
| Symptom onset time | ||
| ≤4 weeks | 59 (11.8%) | 31 (9.8%) |
| >4 to <12 weeks | 116 (23.2%) | 66 (20.8%) |
| ≥12 week to <12 months | 98 (19.6%) | 58 (18.3%) |
| ≥12 months | 227 (45.4%) | 162 (51.1%) |
| Presence of a trigger event (N = 429) | N = 273 | |
| Yes | 199 (46.4%) | 136 (49.8%) |
| No | 230 (53.6%) | 137 (50.2%) |
| Trigger event (N = 199) | N = 136 | |
| Lifting of a heavy object | 32 (16.1%) | 20 (14.7%) |
| Pregnancy, childbirth, childrearing | 8 (4.0%) | 5 (3.7%) |
| Physical exercise | 40 (20.1%) | 28 (20.6%) |
| Work | 22 (11.1%) | 13 (9.6%) |
| Injury (e.g., hurt/wounded, traffic accident) | 37 (18.6%) | 28 (20.6%) |
| Everyday activities | 53 (26.6%) | 35 (25.7%) |
| Others or unknown | 7 (3.5%) | 7 (5.1%) |
| Severity of symptoms | ||
| Severe | 147 (29.4%) | 113 (35.6%) |
| Moderate to severe | 178 (35.6%) | 105 (33.1%) |
| Mild to moderate | 175 (35.0%) | 99 (31.2%) |
| MRI at diagnosis | ||
| Yes | 317 (63.4%) | - |
| No | 137 (27.4%) | - |
| Can’t remember | 46 (9.2%) | - |
| Back Pain | Pelvic Pain | Radiating Leg Pain | Numbness in the Leg | Weakness in the Leg | Tingling in the Leg | |
|---|---|---|---|---|---|---|
| N (%) | N (%) | N (%) | N (%) | N (%) | N (%) | |
| Total (N = 500) | 406 (81.2) | 256 (51.2) | 180 (36.0) | 435 (87.0) | 113 (22.6) | 157 (31.4) |
| Sex | ||||||
| Male (N = 253) | 197 (77.9) | 110 (43.5) | 81 (32.0) | 221 (87.4) | 64 (25.3) | 90 (35.6) |
| Female (N = 247) | 209 (84.6) | 146 (59.1) | 99 (40.1) | 214 (86.6) | 49 (19.8) | 67 (27.1) |
| p-value | 0.069 | 0.001 | 0.074 | 0.917 | 0.176 | 0.053 |
| Age group, years | ||||||
| 19–29 (n = 100) | 85 (85.0) | 47 (47.0) | 30 (30.0) | 86 (86.0) | 29 (29.0) | 27 (27.0) |
| 30–39 (n = 100) | 83 (83.0) | 63 (63.0) | 37 (37.0) | 90 (90.0) | 18 (18.0) | 30 (30.0) |
| 40–49 (n = 100) | 80 (80.0) | 42 (42.0) | 33 (33.0) | 88 (88.0) | 16 (16.0) | 28 (28.0) |
| 50–59 (n = 100) | 77 (77.0) | 51 (51.0) | 44 (44.0) | 83 (83.0) | 23 (23.0) | 35 (35.0) |
| ≥60 (n = 100) | 81 (81.0) | 53 (53.0) | 36 (36.0) | 88 (88.0) | 27 (27.0) | 37 (37.0) |
| p-value | 0.661 | 0.044 | 0.311 | 0.649 | 0.128 | 0.465 |
| Symptom onset time | ||||||
| <4 weeks (n = 59) | 45 (76.3) | 33 (55.9) | 22 (37.3) | 51 (86.4) | 14 (23.7) | 16 (27.1) |
| ≥4 to <12 weeks (n = 116) | 96 (82.8) | 68 (58.6) | 44 (37.9) | 103 (88.8) | 35 (30.2) | 42 (36.2) |
| ≥12 weeks to <12 months (n = 98) | 77 (78.6) | 42 (42.9) | 27 (27.6) | 86 (87.8) | 14 (14.3) | 22 (22.5) |
| ≥12 months (n = 227) | 188 (82.8) | 113 (49.8) | 87 (38.3) | 195 (85.9) | 50 (22.0) | 77 (33.9) |
| p-value | 0.581 | 0.112 | 0.284 | 0.888 | 0.051 | 0.109 |
| Severity | ||||||
| Severe (n = 147) | 126 (85.7) | 91 (61.9) | 70 (47.6) | 128 (87.1) | 52 (35.4) | 68 (46.3) |
| Moderate to severe (n = 178) | 150 (84.3) | 95 (53.4) | 62 (34.8) | 159 (89.3) | 30 (16.9) | 43 (24.2) |
| Mild to moderate (n = 175) | 130 (74.3) | 70 (40.0) | 48 (27.4) | 148 (84.6) | 31 (17.7) | 46 (26.3) |
| p-value | 0.014 | <0.001 | 0.001 | 0.414 | <0.001 | <0.001 |
| Back Pain | Pelvic Pain | Radiating Leg Pain | Numbness in the Leg | Weakness in the Leg | Tingling in the Leg | |
|---|---|---|---|---|---|---|
| N (%) | N (%) | N (%) | N (%) | N (%) | N (%) | |
| Total (N = 500) | 302 (60.4) | 146 (29.2) | 93 (18.6) | 235 (47.0) | 35 (7.0) | 51 (10.2) |
| Sex | ||||||
| Male (n = 253) | 149 (58.9) | 59 (23.3) | 47 (18.6) | 130 (51.4) | 22 (8.7) | 31 (12.3) |
| Female (n = 247) | 153 (61.9) | 87 (35.2) | 46 (18.6) | 105 (42.5) | 13 (5.3) | 20 (8.1) |
| p-value | 0.545 | 0.005 | 1.000 | 0.058 | 0.184 | 0.165 |
| Age group, years | ||||||
| 19–29 (n = 100) | 69 (69.0) | 22 (22.0) | 14 (14.0) | 44 (44.0) | 10 (10.0) | 10 (10.0) |
| 30–39 (n = 100) | 60 (60.0) | 36 (36.0) | 20 (20.0) | 49 (49.0) | 5 (5.0) | 11 (11.0) |
| 40–49 (n = 100) | 64 (64.0) | 28 (28.0) | 18 (18.0) | 49 (49.0) | 4 (4.0) | 11 (11.0) |
| 50–59 (n = 100) | 55 (55.0) | 25 (25.0) | 24 (24.0) | 49 (49.0) | 7 (7.0) | 12 (12.0) |
| ≥60 (n = 100) | 54 (54.0) | 35 (35.0) | 17 (17.0) | 44 (44.0) | 9 (9.0) | 7 (7.0) |
| p-value | 0.160 | 0.121 | 0.456 | 0.877 | 0.407 | 0.806 |
| Symptom onset time | ||||||
| <4 weeks (n = 59) | 29 (49.2) | 12 (20.3) | 11 (18.6) | 32 (54.2) | 5 (8.5) | 6 (10.2) |
| ≥4 weeks to <12 weeks (n = 116) | 73 (62.9) | 38 (32.8) | 24 (20.7) | 52 (44.8) | 12 (10.3) | 12 (10.3) |
| ≥12 weeks to <12 months (n = 98) | 61 (62.2) | 26 (26.5) | 14 (14.3) | 52 (53.1) | 3 (3.1) | 12 (12.2) |
| ≥12 months (n = 227) | 139 (61.2) | 70 (30.8) | 44 (19.4) | 99 (43.6) | 15 (6.6) | 21 (9.3) |
| p-value | 0.303 | 0.310 | 0.652 | 0.267 | 0.186 | 0.879 |
| Severity | ||||||
| Severe (n = 147) | 89 (60.5) | 51 (34.7) | 34 (23.1) | 66 (44.9) | 11 (7.5) | 19 (12.9) |
| Moderate to severe (n = 178) | 112 (62.9) | 57 (32.0) | 34 (19.1) | 81 (45.5) | 9 (5.1) | 18 (10.1) |
| Mild to moderate (n = 175) | 101 (57.7) | 38 (21.7) | 25 (14.3) | 88 (50.3) | 15 (8.6) | 14 (8.0) |
| p-value | 0.606 | 0.023 | 0.124 | 0.555 | 0.417 | 0.347 |
| Back Pain | Pelvic Pain | Radiating Leg Pain | Numbness in the Leg | Weakness in the Leg | Tingling in the Leg | |
|---|---|---|---|---|---|---|
| Total (N = 500) | 3.1 ± 2.2 | 3.3 ± 2.3 | 3.0 ± 2.3 | 2.7 ± 2.3 | 2.3 ± 2.1 | 3.0 ± 2.5 |
| Sex | ||||||
| Male (n = 253) | 2.9 ± 2.2 | 3.3 ± 2.3 | 2.7 ± 2.3 | 2.4 ± 2.0 | 2.4 ± 2.2 | 2.7 ± 2.6 |
| Female (n = 247) | 3.4 ± 2.1 | 3.3 ± 2.4 | 3.4 ± 2.2 | 3.1 ± 2.6 | 2.2 ± 2.1 | 3.4 ± 2.3 |
| p-value | 0.043 | 0.973 | 0.150 | 0.016 | 0.784 | 0.334 |
| Age group, years | ||||||
| 19–29 (n = 100) | 3.0 ± 2.0 | 3.8 ± 2.0 | 3.3 ± 2.7 | 2.8 ± 2.2 | 2.4 ± 1.8 | 2.7 ± 1.9 |
| 30–39 (n = 100) | 3.2 ± 2.2 | 3.3 ± 2.8 | 3.3 ± 2.6 | 2.8 ± 2.0 | 1.2 ± 1.6 | 3.5 ± 3.2 |
| 40–49 (n = 100) | 3.2 ± 2.2 | 2.9 ± 2.1 | 2.9 ± 2.1 | 2.8 ± 2.3 | 2.0 ± 2.2 | 2.8 ± 2.3 |
| 50–59 (n = 100) | 2.9 ± 2.2 | 3.5 ± 2.3 | 3.1 ± 2.3 | 2.6 ± 2.6 | 2.2 ± 2.6 | 2.8 ± 2.3 |
| ≥60 (n = 100) | 3.4 ± 2.3 | 3.0 ± 2.2 | 2.5 ± 1.7 | 2.6 ± 2.4 | 3.1 ± 2.4 | 3.1 ± 2.9 |
| p-value | 0.827 | 0.699 | 0.829 | 0.980 | 0.635 | 0.936 |
| Symptom onset time | ||||||
| <4 weeks (n = 59) | 2.6 ± 2.2 | 3.1 ± 2.4 | 1.7 ± 2.5 | 2.8 ± 2.8 | 0.4 ± 0.5 | 3.8 ± 1.8 |
| ≥4 weeks to <12 weeks (n = 116) | 2.8 ± 2.1 | 2.8 ± 1.8 | 3.3 ± 2.0 | 2.5 ± 1.7 | 1.8 ± 2.0 | 3.6 ± 2.7 |
| ≥12 weeks to <12 months (n = 98) | 2.9 ± 2.1 | 3.9 ± 2.3 | 2.7 ± 1.5 | 2.6 ± 2.3 | 1.7 ± 0.6 | 2.4 ± 2.2 |
| ≥12 months (n = 227) | 3.5 ± 2.2 | 3.3 ± 2.5 | 3.3 ± 2.5 | 2.8 ± 2.4 | 3.4 ± 2.2 | 2.8 ± 2.7 |
| p-value | 0.039 | 0.271 | 0.189 | 0.909 | 0.022 | 0.603 |
| Severity | ||||||
| Severe (n = 147) | 4.1 ± 2.7 | 4.5 ± 2.6 | 3.8 ± 2.6 | 3.8 ± 2.7 | 2.7 ± 2.7 | 4.0 ± 3.0 |
| Moderate to severe (n = 178) | 3.2 ± 1.8 | 3.3 ± 1.9 | 3.2 ± 2.0 | 2.8 ± 2.1 | 3.4 ± 2.1 | 3.0 ± 2.1 |
| Mild to moderate (n = 175) | 2.1 ± 1.4 | 1.6 ± 1.3 | 1.7 ± 1.4 | 1.7 ± 1.5 | 1.3 ± 1.1 | 1.5 ± 0.8 |
| p-value | <0.001 | <0.001 | 0.001 | <0.001 | 0.039 | 0.025 |
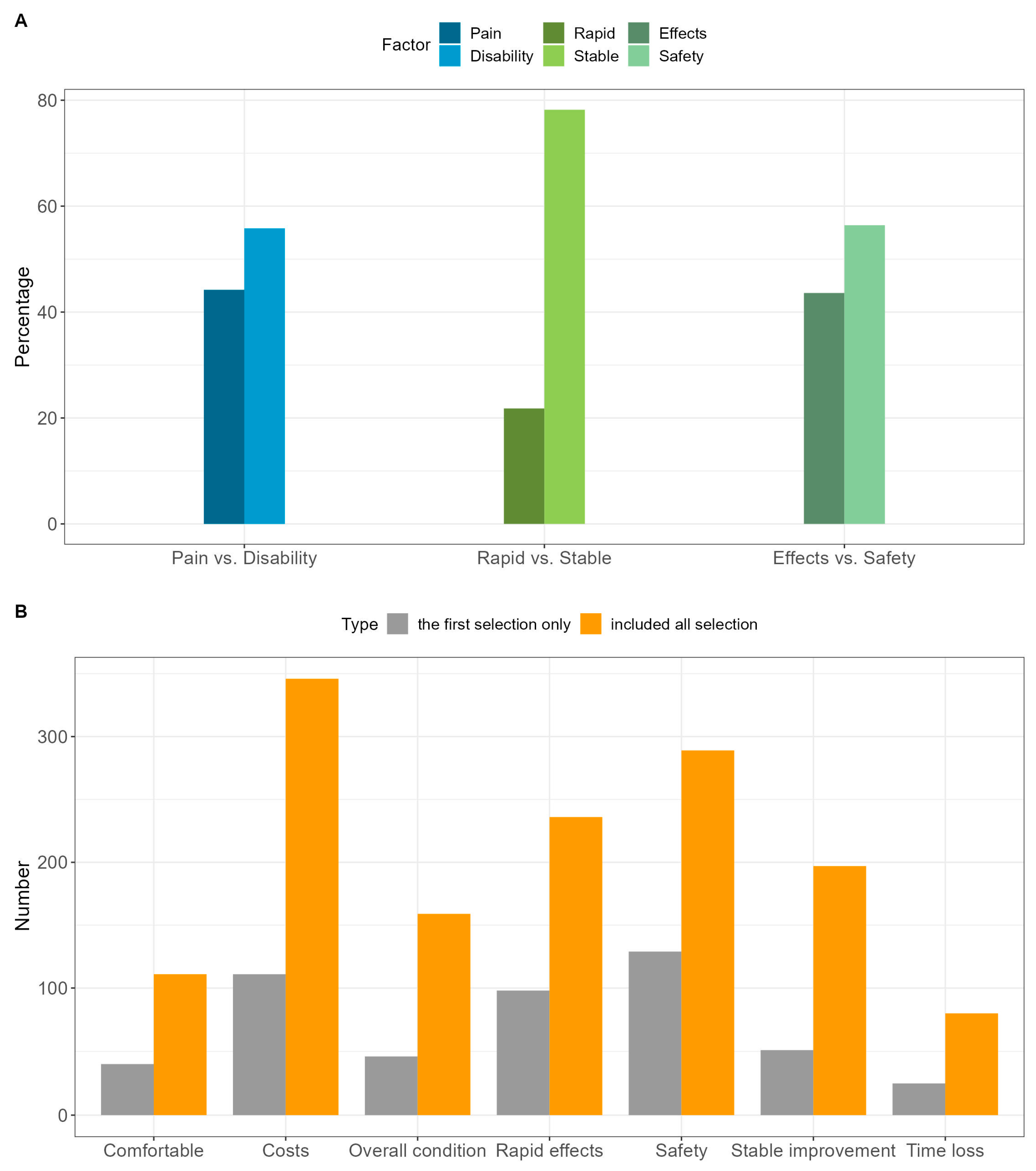
| Pain vs. Disability | Rapid vs. Stable Treatment Effect | Treatment Effect vs. Safety | ||||
|---|---|---|---|---|---|---|
| Pain | Disability | Rapid Effects | Stable Effect | Treatment Effect | Safety | |
| N (%) | N (%) | N (%) | N (%) | N (%) | N (%) | |
| Total (N = 500) | 221 (44.2) | 279 (55.8) | 109 (21.8) | 391 (78.2) | 218 (43.6) | 282 (56.4) |
| Sex | ||||||
| Male (n = 253) | 99 (39.1) | 154 (60.9) | 54 (21.3) | 199 (78.7) | 121 (47.8) | 132 (52.2) |
| Female (n = 247) | 122 (49.4) | 125 (50.6) | 55 (22.3) | 192 (77.7) | 97 (39.3) | 150 (60.7) |
| p-value | 0.026 | 0.887 | 0.066 | |||
| Age group, years | ||||||
| 19–29 (n = 100) | 52 (52.0) | 48 (48.0) | 24 (24.0) | 76 (76.0) | 45 (45.0) | 55 (55.0) |
| 30–39 (n = 100) | 40 (40.0) | 60 (60.0) | 25 (25.0) | 75 (75.0) | 44 (44.0) | 56 (16.0) |
| 40–49 (n = 100) | 40 (40.0) | 60 (60.0) | 26 (26.0) | 74 (74.0) | 37 (37.0) | 63 (63.0) |
| 50–59 (n = 100) | 41 (41.0) | 59 (59.0) | 17 (17.0) | 83 (83.0) | 49 (49.0) | 51 (51.0) |
| ≥60 (n = 100) | 48 (48.0) | 52 (52.0) | 17 (17.0) | 83 (83.0) | 43 (43.0) | 57 (57.0) |
| p-value | 0.298 | 0.328 | 0.548 | |||
| Symptom onset time | ||||||
| <4 weeks (n = 59) | 26 (44.1) | 33 (55.9) | 20 (33.9) | 39 (66.1) | 35 (59.3) | 24 (40.7) |
| ≥4 weeks to <12 weeks (n = 116) | 57 (49.1) | 59 (50.9) | 30 (25.9) | 86 (74.1) | 51 (44.0) | 65 (56.0) |
| ≥12 weeks to <12 months (n = 98) | 32 (32.7) | 66 (67.4) | 22 (22.5) | 76 (77.6) | 44 (44.9) | 54 (55.1) |
| ≥12 months (n = 227) | 106 (46.7) | 121 (53.3) | 37 (16.3) | 190 (83.7) | 88 (38.8) | 139 (61.2) |
| p-value | 0.071 | 0.017 | 0.043 | |||
| Severity | ||||||
| Severe (n = 147) | 63 (42.9) | 84 (57.1) | 30 (20.4) | 117 (79.6) | 73 (49.7) | 74 (50.3) |
| Moderate to severe (n = 178) | 79 (44.4) | 99 (55.6) | 41 (23.0) | 137 (77.0) | 77 (43.3) | 101 (56.7) |
| Mild to moderate (n = 175) | 79 (45.1) | 96 (54.9) | 38 (21.7) | 137 (78.3) | 68 (38.9) | 107 (61.1) |
| p-value | 0.917 | 0.849 | 0.149 | |||
Disclaimer/Publisher’s Note: The statements, opinions and data contained in all publications are solely those of the individual author(s) and contributor(s) and not of MDPI and/or the editor(s). MDPI and/or the editor(s) disclaim responsibility for any injury to people or property resulting from any ideas, methods, instructions or products referred to in the content. |
© 2023 by the authors. Licensee MDPI, Basel, Switzerland. This article is an open access article distributed under the terms and conditions of the Creative Commons Attribution (CC BY) license (https://creativecommons.org/licenses/by/4.0/).
Share and Cite
Kim, D.; Kim, S.-J.; Lee, Y.J.; Yang, C.S.; Han, C.-H.; Ha, I.-H. Are Primary Outcomes Really Primary? An Exploratory Cross-Sectional Nationwide Web-Based Survey Study for Outcomes Reflecting Real Symptoms and Needs of Patients with Lumbar Disc Herniation. Healthcare 2023, 11, 2598. https://doi.org/10.3390/healthcare11182598
Kim D, Kim S-J, Lee YJ, Yang CS, Han C-H, Ha I-H. Are Primary Outcomes Really Primary? An Exploratory Cross-Sectional Nationwide Web-Based Survey Study for Outcomes Reflecting Real Symptoms and Needs of Patients with Lumbar Disc Herniation. Healthcare. 2023; 11(18):2598. https://doi.org/10.3390/healthcare11182598
Chicago/Turabian StyleKim, Doori, Soo-Jin Kim, Yoon Jae Lee, Chang Sop Yang, Chang-Hyun Han, and In-Hyuk Ha. 2023. "Are Primary Outcomes Really Primary? An Exploratory Cross-Sectional Nationwide Web-Based Survey Study for Outcomes Reflecting Real Symptoms and Needs of Patients with Lumbar Disc Herniation" Healthcare 11, no. 18: 2598. https://doi.org/10.3390/healthcare11182598
APA StyleKim, D., Kim, S.-J., Lee, Y. J., Yang, C. S., Han, C.-H., & Ha, I.-H. (2023). Are Primary Outcomes Really Primary? An Exploratory Cross-Sectional Nationwide Web-Based Survey Study for Outcomes Reflecting Real Symptoms and Needs of Patients with Lumbar Disc Herniation. Healthcare, 11(18), 2598. https://doi.org/10.3390/healthcare11182598

