Responsiveness of the Arabic Quick Disabilities of the Arm, Shoulder and Hand in Patients with Upper Extremity Musculoskeletal Disorders
Abstract
:1. Introduction
2. Materials and Methods
2.1. Study Design
2.2. Setting and Participants
2.3. Procedure
2.4. Outcome Measures
2.4.1. Disabilities of the Arm, Shoulder and Hand Short Version (Quick-DASH)
2.4.2. Disabilities of the Arm, Shoulder and Hand (DASH)
2.4.3. Numeric Pain Rating Scale (NPRS)
2.4.4. Global Assessment of Function (GAF)
2.4.5. Global Rating of Change Scale (GRC)
2.5. Statistical Analysis
2.6. Sample Size Estimation
3. Results
4. Discussion
5. Conclusions
Author Contributions
Funding
Institutional Review Board Statement
Informed Consent Statement
Data Availability Statement
Acknowledgments
Conflicts of Interest
Abbreviation
| Abbreviation | Full Form |
| PROM | Patient-Reported Outcome Measure |
| COSMIN | Consensus-Based Standards for the Selection of Health Measurement Instruments |
| CI | Confidence Interval |
| GAF | Global Assessment of Function |
| GRC | Global Rating of Change Scale |
| NPRS | Numeric Pain Rating Scale |
| DASH | Disabilities of the Arm, Shoulder and Hand |
| ES | Effect Size |
| SRM | Standardized Response Mean |
| AUC | Area Under the Curve |
| SPSS | Statistical Package for the Social Sciences |
References
- Huisstede, B.M.; Bierma-Zeinstra, S.M.; Koes, B.W.; Verhaar, J.A. Incidence and prevalence of upper-extremity musculoskeletal disorders. A systematic appraisal of the literature. BMC Musculoskelet. Disord. 2006, 7, 7. [Google Scholar] [CrossRef] [PubMed]
- Lucas, J.; van Doorn, P.; Hegedus, E.; Lewis, J.; van der Windt, D. A systematic review of the global prevalence and incidence of shoulder pain. BMC Musculoskelet. Disord. 2022, 23, 1073. [Google Scholar] [CrossRef]
- Vincent, J.I.; MacDermid, J.C.; King, G.J.W.; Grewal, R. The Patient-Rated Elbow Evaluation and the American Shoulder and Elbow Surgeons-Elbow form capture aspects of functioning that are important to patients with elbow injuries. J. Hand Ther. 2021, 34, 415–422. [Google Scholar] [CrossRef] [PubMed]
- van Kooij, Y.E.; Poelstra, R.; Porsius, J.T.; Slijper, H.P.; Warwick, D.; Selles, R.W. Content validity and responsiveness of the Patient-Specific Functional Scale in patients with Dupuytren’s disease. J. Hand Ther. 2021, 34, 446–452. [Google Scholar] [CrossRef] [PubMed]
- Roe, Y.; Rysstad, T.; Tveter, A.T.; Sandbakk, T.B.; Jaeger, M.; Grotle, M. What Are the Most Important Problems in Functioning Among Patients with Shoulder Pain? An Analysis of the Patient-Specific Functional Scale. Phys. Ther. 2021, 101, pzab141. [Google Scholar] [CrossRef]
- Lucado, A.M.; Day, J.M.; Vincent, J.I.; MacDermid, J.C.; Fedorczyk, J.; Grewal, R.; Martin, R.L.; Dewitt, J.; Paulseth, S.; Dauber, J.A.; et al. Lateral Elbow Pain and Muscle Function Impairments. J. Orthop. Sports Phys. Ther. 2022, 52, CPG1–CPG111. [Google Scholar] [CrossRef] [PubMed]
- Erickson, M.; Lawrence, M.; Jansen, C.W.S.; Coker, D.; Amadio, P.; Cleary, C. Hand Pain and Sensory Deficits: Carpal Tunnel Syndrome. J. Orthop. Sports Phys. Ther. 2019, 49, CPG1–CPG85. [Google Scholar] [CrossRef]
- Kelley, M.J.; Shaffer, M.A.; Kuhn, J.E.; Michener, L.A.; Seitz, A.L.; Uhl, T.L.; Godges, J.J.; McClure, P.W. Shoulder pain and mobility deficits: Adhesive capsulitis. J. Orthop. Sports Phys. Ther. 2013, 43, A1–A31. [Google Scholar] [CrossRef]
- Lin, I.; Wiles, L.; Waller, R.; Goucke, R.; Nagree, Y.; Gibberd, M.; Straker, L.; Maher, C.G.; O’sullivan, P.P.B. What does best practice care for musculoskeletal pain look like? Eleven consistent recommendations from high-quality clinical practice guidelines: Systematic review. Br. J. Sports Med. 2020, 54, 79–86. [Google Scholar] [CrossRef]
- Beaton, D.E.; Wright, J.G.; Katz, J.N.; Upper Extremity Collaborative Group. Development of the QuickDASH: Comparison of three item-reduction approaches. J. Bone Jt. Surg. Am. 2005, 87, 1038–1046. [Google Scholar]
- Kennedy, C.A.; Beaton, D.E.; Smith, P.; Van Eerd, D.; Tang, K.; Inrig, T.; Hogg-Johnson, S.; Linton, D.; Couban, R. Measurement properties of the QuickDASH (disabilities of the arm, shoulder and hand) outcome measure and cross-cultural adaptations of the QuickDASH: A systematic review. Qual. Life Res. 2013, 22, 2509–2547. [Google Scholar] [CrossRef]
- Alnahdi, A.H. Validity and reliability of the Arabic quick disabilities of the arm, Shoulder and Hand (QuickDASH-Arabic). Musculoskelet. Sci. Pract. 2021, 53, 102372. [Google Scholar] [CrossRef] [PubMed]
- Mokkink, L.B.; Terwee, C.B.; Patrick, D.L.; Alonso, J.; Stratford, P.W.; Knol, D.L.; Bouter, L.M.; de Vet, H.C. The COSMIN study reached international consensus on taxonomy, terminology, and definitions of measurement properties for health-related patient-reported outcomes. J. Clin. Epidemiol. 2010, 63, 737–745. [Google Scholar] [CrossRef] [PubMed]
- de Vet, H.C.W.; Terwee, C.B.; Mokkink, L.B.; Knol, D.L. Measurement in Medicine: A Practical Guide; Cambridge University Press: Cambridge, UK, 2011. [Google Scholar]
- Terwee, C.B.; Mokkink, L.B.; Knol, D.L.; Ostelo, R.W.; Bouter, L.M.; de Vet, H.C. Rating the methodological quality in systematic reviews of studies on measurement properties: A scoring system for the COSMIN checklist. Qual. Life Res. 2012, 21, 651–657. [Google Scholar] [CrossRef] [PubMed]
- Chester, R.; Jerosch-Herold, C.; Lewis, J.; Shepstone, L. The SPADI and QuickDASH Are Similarly Responsive in Patients Undergoing Physical Therapy for Shoulder Pain. J. Orthop. Sports Phys. Ther. 2017, 47, 538–547. [Google Scholar] [CrossRef]
- Iordens, G.I.T.; Hartog, D.D.; Tuinebreijer, W.E.; Eygendaal, D.; Schep, N.W.L.; Verhofstad, M.H.J.; Van Lieshout, E.M.M.; on behalf of FuncSiE Trial Investigators. Minimal important change and other measurement properties of the Oxford Elbow Score and the Quick Disabilities of the Arm, Shoulder, and Hand in patients with a simple elbow dislocation; validation study alongside the multicenter FuncSiE trial. PLoS ONE 2017, 12, e0182557. [Google Scholar] [CrossRef]
- Franchignoni, F.; Vercelli, S.; Giordano, A.; Sartorio, F.; Bravini, E.; Ferriero, G. Minimal clinically important difference of the disabilities of the arm, shoulder and hand outcome measure (DASH) and its shortened version (QuickDASH). J. Orthop. Sports Phys. Ther. 2014, 44, 30–39. [Google Scholar] [CrossRef]
- Budtz, C.R.; Andersen, J.H.; de Vos Andersen, N.B.; Christiansen, D.H. Responsiveness and minimal important change for the quick-DASH in patients with shoulder disorders. Health Qual. Life Outcomes 2018, 16, 226. [Google Scholar] [CrossRef]
- Rysstad, T.; Grotle, M.; Klokk, L.P.; Tveter, A.T. Responsiveness and minimal important change of the QuickDASH and PSFS when used among patients with shoulder pain. BMC Musculoskelet. Disord. 2020, 21, 328. [Google Scholar] [CrossRef]
- Alghadir, A.H.; Anwer, S.; Iqbal, Z.A. The psychometric properties of an Arabic numeric pain rating scale for measuring osteoarthritis knee pain. Disabil. Rehabil. 2016, 38, 2392–2397. [Google Scholar] [CrossRef]
- Alotaibi, N.M.; Aljadi, S.H.; Alrowayeh, H.N. Reliability, validity and responsiveness of the Arabic version of the Disability of Arm, Shoulder and Hand (DASH-Arabic). Disabil. Rehabil. 2016, 38, 2469–2478. [Google Scholar] [CrossRef]
- Alnahdi, A.H.; Alrashid, G.I.; Alkhaldi, H.A.; Aldali, A.Z. Cross-cultural adaptation, validity and reliability of the Arabic version of the Lower Extremity Functional Scale. Disabil. Rehabil. 2016, 38, 897–904. [Google Scholar] [CrossRef]
- Aljathlani, M.F.; Alshammari, M.O.; Alsuwaygh, M.A.; Al-Mutairi, M.S.; Aljassir, F.F.; Bindawas, S.M.; Alnahdi, A.H. Cross-cultural adaptation and validation of the Arabic version of the upper extremity functional index. Disabil. Rehabil. 2022, 44, 5656–5662. [Google Scholar] [CrossRef] [PubMed]
- Kamper, S.J.; Maher, C.G.; Mackay, G. Global rating of change scales: A review of strengths and weaknesses and considerations for design. J. Man. Manip. Ther. 2009, 17, 163–170. [Google Scholar] [CrossRef] [PubMed]
- Hudak, P.L.; Amadio, P.C.; Bombardier, C. Development of an upper extremity outcome measure: The DASH (disabilities of the arm, shoulder and hand) [corrected]. The Upper Extremity Collaborative Group (UECG). Am. J. Ind. Med. 1996, 29, 602–608. [Google Scholar] [CrossRef]
- Beaton, D.E.; Katz, J.N.; Fossel, A.H.; Wright, J.G.; Tarasuk, V.; Bombardier, C. Measuring the whole or the parts? Validity, reliability, and responsiveness of the Disabilities of the Arm, Shoulder and Hand outcome measure in different regions of the upper extremity. J. Hand Ther. 2001, 14, 128–146. [Google Scholar] [CrossRef]
- Hawker, G.A.; Mian, S.; Kendzerska, T.; French, M. Measures of adult pain: Visual Analog Scale for Pain (VAS Pain), Numeric Rating Scale for Pain (NRS Pain), McGill Pain Questionnaire (MPQ), Short-Form McGill Pain Questionnaire (SF-MPQ), Chronic Pain Grade Scale (CPGS), Short Form-36 Bodily Pain Scale (SF-36 BPS), and Measure of Intermittent and Constant Osteoarthritis Pain (ICOAP). Arthritis Care Res. 2011, 63 (Suppl. S11), S240–S252. [Google Scholar]
- Alnahdi, A.H. Measurement properties of the 15-item Arabic lower extremity functional scale. Disabil. Rehabil. 2021, 43, 3839–3844. [Google Scholar] [CrossRef] [PubMed]
- Mokkink, L.B.; de Vet, H.C.W.; Prinsen, C.A.C.; Patrick, D.L.; Alonso, J.; Bouter, L.M.; Terwee, C.B. COSMIN Risk of Bias checklist for systematic reviews of Patient-Reported Outcome Measures. Qual. Life Res. 2018, 27, 1171–1179. [Google Scholar] [CrossRef]
- Prinsen, C.A.C.; Mokkink, L.B.; Bouter, L.M.; Alonso, J.; Patrick, D.L.; de Vet, H.C.W.; Terwee, C.B. COSMIN guideline for systematic reviews of patient-reported outcome measures. Qual. Life Res. 2018, 27, 1147–1157. [Google Scholar] [CrossRef]
- Prinsen, C.A.; Vohra, S.; Rose, M.R.; Boers, M.; Tugwell, P.; Clarke, M.; Williamson, P.R.; Terwee, C.B. How to select outcome measurement instruments for outcomes included in a “Core Outcome Set”—A practical guideline. Trials 2016, 17, 449. [Google Scholar] [CrossRef] [PubMed]
- Portney, L.G.; Watkins, M.P. Foundations of Clinical Research: Applications to Practice, 3rd ed.; Pearson/Prentice Hall: Upper Saddle River, NJ, USA, 2009. [Google Scholar]
- Mokkink, L.B.; Terwee, C.B.; Knol, D.L.; Stratford, P.W.; Alonso, J.; Patrick, D.L.; Bouter, L.M.; de Vet, H.C. The COSMIN checklist for evaluating the methodological quality of studies on measurement properties: A clarification of its content. BMC Med. Res. Methodol. 2010, 10, 22. [Google Scholar] [CrossRef] [PubMed]
- Rodrigues, J.; Zhang, W.; Scammell, B.; Russell, P.; Chakrabarti, I.; Fullilove, S.; Davidson, D.; Davis, T. Validity of the Disabilities of the Arm, Shoulder and Hand patient-reported outcome measure (DASH) and the Quickdash when used in Dupuytren’s disease. J. Hand Surg. Eur. Vol. 2016, 41, 589–599. [Google Scholar] [CrossRef] [PubMed]
- Macdermid, J.C.; Khadilkar, L.; Birmingham, T.B.; Athwal, G.S. Validity of the QuickDASH in patients with shoulder-related disorders undergoing surgery. J. Orthop. Sports Phys. Ther. 2015, 45, 25–36. [Google Scholar] [CrossRef]
- Cao, S.; Zhou, R.; Zhou, H.; Chen, Y.; Cui, H.; Lu, Z.; Qian, Q.; Ding, Y. Reliability and validity of Simplified Chinese version of Quick Disabilities of the Arm, Shoulder, and Hand (QuickDASH) questionnaire: Cross-cultural adaptation and validation. Clin. Rheumatol. 2019, 38, 3281–3287. [Google Scholar] [CrossRef]
- da Silva, N.C.; Chaves, T.C.; dos Santos, J.B.; Sugano, R.M.M.; Barbosa, R.I.; Marcolino, A.M.; Mazzer, N.; Fonseca, M.C.R. Reliability, validity and responsiveness of Brazilian version of QuickDASH. Musculoskelet. Sci. Pract. 2020, 48, 102163. [Google Scholar] [CrossRef] [PubMed]
- Kc, S.; Sharma, S.; Ginn, K.; Reed, D. Measurement properties of the Nepali version of the Quick-DASH in patients with shoulder pain. Musculoskelet. Sci. Pract. 2021, 56, 102437. [Google Scholar] [CrossRef]
- Aasheim, T.; Finsen, V. The DASH and the QuickDASH instruments. Normative values in the general population in Norway. J. Hand Surg. Eur. Vol. 2014, 39, 140–144. [Google Scholar] [CrossRef]
- Chesworth, B.M.; Hamilton, C.B.; Walton, D.M.; Benoit, M.; Blake, T.A.; Bredy, H.; Burns, C.; Chan, L.; Frey, E.; Gillies, G.; et al. Reliability and validity of two versions of the upper extremity functional index. Physiother. Can. 2014, 66, 243–253. [Google Scholar] [CrossRef] [PubMed]
- Mintken, P.E.; Glynn, P.; Cleland, J.A. Psychometric properties of the shortened disabilities of the Arm, Shoulder, and Hand Questionnaire (QuickDASH) and Numeric Pain Rating Scale in patients with shoulder pain. J. Shoulder Elb. Surg. 2009, 18, 920–926. [Google Scholar] [CrossRef]
- Terwee, C.B.; Bot, S.D.M.; de Boer, M.R.; van der Windt, D.A.W.M.; Knol, D.L.; Dekker, J.; Bouter, L.M.; de Vet, H.C.W. Quality criteria were proposed for measurement properties of health status questionnaires. J. Clin. Epidemiol. 2007, 60, 34–42. [Google Scholar] [CrossRef]
- Gummesson, C.; Ward, M.M.; Atroshi, I. The shortened disabilities of the arm, shoulder and hand questionnaire (QuickDASH): Validity and reliability based on responses within the full-length DASH. BMC Musculoskelet. Disord. 2006, 7, 44. [Google Scholar] [CrossRef] [PubMed]
- Cohen, J. Statistical Power Analysis for the Behavioral Sciences; Routledge: Abingdon-on-Thames, UK, 2013. [Google Scholar]
- Dale, L.M.; Strain-Riggs, S.R. Comparing responsiveness of the quick disabilities of the arm, shoulder, and hand and the upper limb functional index. Work 2013, 46, 243–250. [Google Scholar] [CrossRef]
- Polson, K.; Reid, D.; McNair, P.J.; Larmer, P. Responsiveness, minimal importance difference and minimal detectable change scores of the shortened disability arm shoulder hand (QuickDASH) questionnaire. Man. Ther. 2010, 15, 404–407. [Google Scholar] [CrossRef] [PubMed]
- Terwee, C.B.; Peipert, J.D.; Chapman, R.; Lai, J.-S.; Terluin, B.; Cella, D.; Griffith, P.; Mokkink, L.B. Minimal important change (MIC): A conceptual clarification and systematic review of MIC estimates of PROMIS measures. Qual. Life Res. 2021, 30, 2729–2754. [Google Scholar] [CrossRef] [PubMed]


| Pre-Defined Hypothesis | Hypothesis Supported |
|---|---|
| 1. Positive correlation between the Quick-DASH changes scores and DASH change scores (≥0.7). | Yes |
| 2. Positive correlation between the Quick-DASH changes scores and GAF change scores (≥0.4). | Yes |
| 3. Positive correlation between the Quick-DASH changes scores and NPRS change scores (≥0.4). | Yes |
| 4. Positive correlation between the Quick-DASH changes scores and GRC scores (≥0.4). | Yes |
| 5. Patients reporting improvement (GRC ≥ 3) have Quick-DASH ES and SRM ≥ 0.5 | Yes |
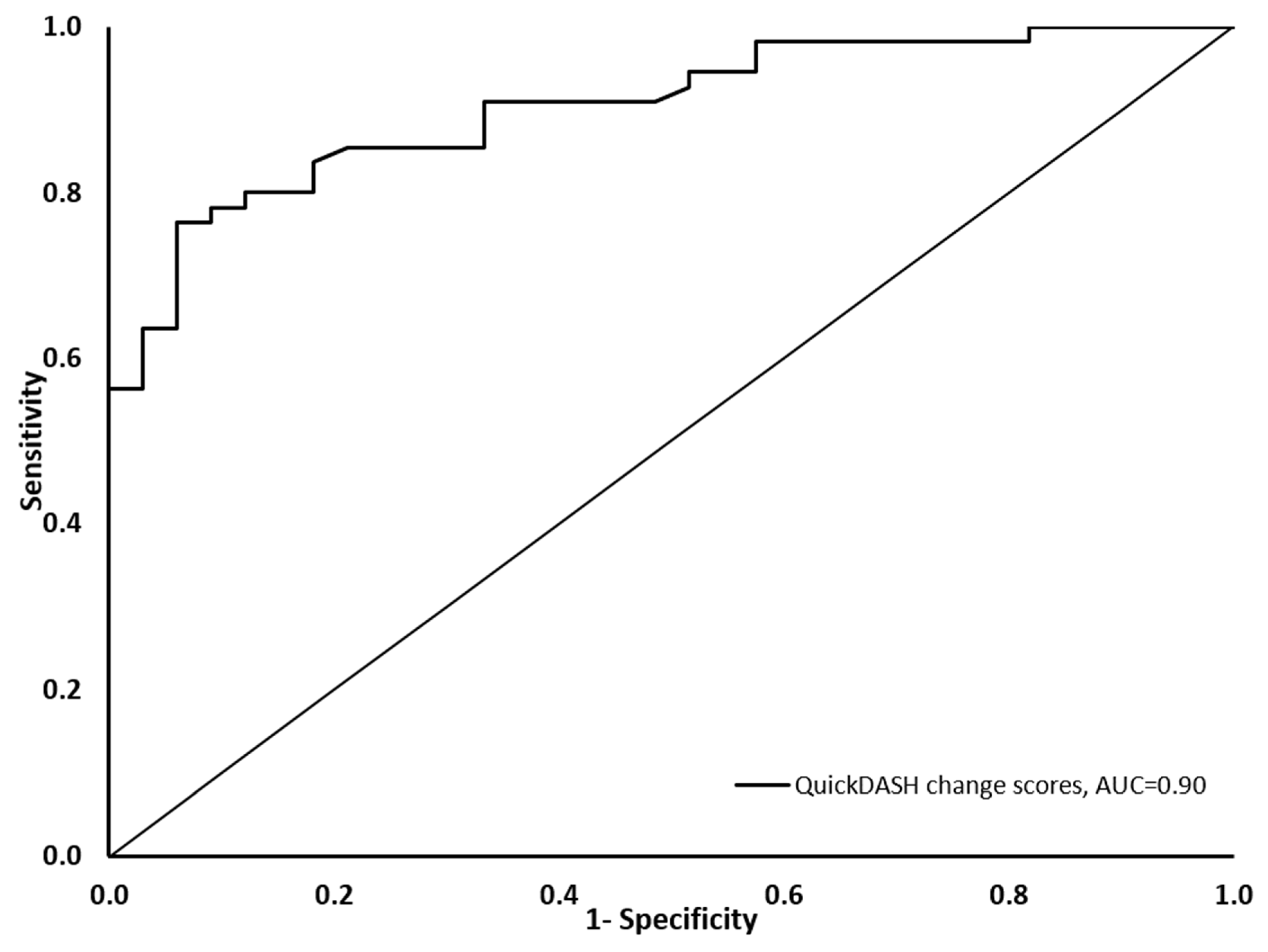
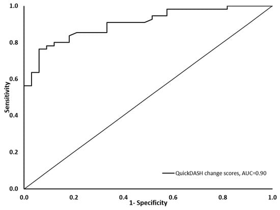
| 6. The Quick-DASH discriminates between patients with improved upper extremity function and patients with no improvement in upper extremity function (based on GRC) as indicated by area under the ROC curve (AUC) ≥ 0.70 | Yes |
| Variable | Mean ± SD or n (%) |
|---|---|
| Age (year) | 38.47 ± 13.88 |
| Sex | |
| Male | 51 (58.00) |
| Female | 37 (42.00) |
| Height (m) | 1.67 ± 0.09 |
| Mass (kg) | 75.97 ± 16.52 |
| Body mass index (kg/m2) | 27.31 ± 6.04 |
| Site of dysfunction | |
| Shoulder and arm | 36 (40.90) |
| Elbow and forearm | 17 (19.30) |
| Wrist and hand | 35 (39.80) |
| Upper extremity surgery | |
| Yes | 39 (44.30) |
| Time after surgery (months) | 1.84 (1.84) * |
| No | 49 (55.70) |
| Duration of symptoms (months) | 2.99 (8.75) * |
| Variable | Baseline Scores Mean ± SD | Follow-Up Scores Mean ± SD | Change Scores Mean ± SD | ES | SRM | Baseline | Follow-Up | ||
|---|---|---|---|---|---|---|---|---|---|
| Floor | Ceiling | Floor | Ceiling | ||||||
| Quick-DASH (0–100) | 51.57 ± 20.43 | 30.95 ± 25.2 | 20.63 ± 25.52 | 1.01 | 0.81 | 0% | 0% | 0% | 14.80% |
| Improved (n = 55) | 54.05 ± 20.73 | 20.63 ± 20.87 | 33.42 ± 22.41 | 1.61 | 1.49 | ||||
| Unchanged (n = 32) | 46.65 ± 19.31 | 47.66 ± 22.90 | −1.01 ± 13.25 | −0.05 | −0.08 | ||||
| DASH (0–100) | 49.98 ± 20.97 | 29.91 ± 25.11 | 20.07 ± 26.64 | 0.96 | 0.75 | 0% | 0% | 0% | 13.60% |
| GAF (0–100) | 57.50 ± 18.84 | 77.97 ± 20.22 | 20.47 ± 23.67 | 1.09 | 0.86 | 0% | 0% | 0% | 15.90% |
| NPRS (0–10) | 5.06 ± 2.51 | 2.95 ± 2.86 | 2.11 ± 3.10 | 0.84 | 0.68 | 4.50% | 3.40% | 2.30% | 30.70% |
| Variable | n (%) |
|---|---|
| GRC | |
| 5 (Very great deal better) | 25 (28.40) |
| 4 (Great deal better) | 15 (17.00) |
| 3 (Moderately better) | 15 (17.00) |
| 2 (Little bit better) | 15 (17.00) |
| 1 (A tiny bit better, almost the same) | 7 (8.00) |
| 0 (No change) | 8 (9.10) |
| −1 (Tiny bit worse, almost the same) | 2 (2.30) |
| −2 (Little bit worse) | 0 (0.00) |
| −3 (Moderately worse) | 1 (1.10) |
| −4 (Great deal worse) | 0 (0.00) |
| −5 (Very great deal worse) | 0 (0.00) |
| Change over time status according to GRC score | |
| Unchanged vs. Improved vs. Worsened | |
| Unchanged (GRC −2 to 2) | 32 (36.36) |
| Improved (GRC ≥ 3) | 55 (62.50) |
| Worsened (GRC ≤ −3) | 1 (1.14) |
| Improved vs. Not improved | |
| Improved (GRC ≥ 3) | 55 (62.50) |
| Not improved (GRC ≤ 2) | 33 (37.50) |
| Variable | r (95% CI) | p |
|---|---|---|
| DASH change | 0.98 (0.97 to 0.99) | <0.001 |
| GAF change | 0.67 (0.49 to 0.80) | <0.001 |
| NPRS change | 0.72 (0.61 to 0.81) | <0.001 |
| GRC | 0.78 (0.69 to 0.84) * | <0.001 |
Disclaimer/Publisher’s Note: The statements, opinions and data contained in all publications are solely those of the individual author(s) and contributor(s) and not of MDPI and/or the editor(s). MDPI and/or the editor(s) disclaim responsibility for any injury to people or property resulting from any ideas, methods, instructions or products referred to in the content. |
© 2023 by the authors. Licensee MDPI, Basel, Switzerland. This article is an open access article distributed under the terms and conditions of the Creative Commons Attribution (CC BY) license (https://creativecommons.org/licenses/by/4.0/).
Share and Cite
Aldaihan, M.M.; Alnahdi, A.H. Responsiveness of the Arabic Quick Disabilities of the Arm, Shoulder and Hand in Patients with Upper Extremity Musculoskeletal Disorders. Healthcare 2023, 11, 2507. https://doi.org/10.3390/healthcare11182507
Aldaihan MM, Alnahdi AH. Responsiveness of the Arabic Quick Disabilities of the Arm, Shoulder and Hand in Patients with Upper Extremity Musculoskeletal Disorders. Healthcare. 2023; 11(18):2507. https://doi.org/10.3390/healthcare11182507
Chicago/Turabian StyleAldaihan, Mishal M., and Ali H. Alnahdi. 2023. "Responsiveness of the Arabic Quick Disabilities of the Arm, Shoulder and Hand in Patients with Upper Extremity Musculoskeletal Disorders" Healthcare 11, no. 18: 2507. https://doi.org/10.3390/healthcare11182507
APA StyleAldaihan, M. M., & Alnahdi, A. H. (2023). Responsiveness of the Arabic Quick Disabilities of the Arm, Shoulder and Hand in Patients with Upper Extremity Musculoskeletal Disorders. Healthcare, 11(18), 2507. https://doi.org/10.3390/healthcare11182507

