The Effects of a Non-Technical Skills Training Program on Emotional Intelligence and Resilience in Undergraduate Nursing Students
Abstract
1. Introduction
2. Materials and Methods
2.1. Study Design
2.2. Setting and Sample
2.3. Procedure
2.4. Data Collection Instruments
2.5. Data Analysis
2.6. Ethical Considerations
3. Results
3.1. Participants’ Characteristics
3.2. Non-Technical Skills Training during the Course: Attitudes and Evaluation
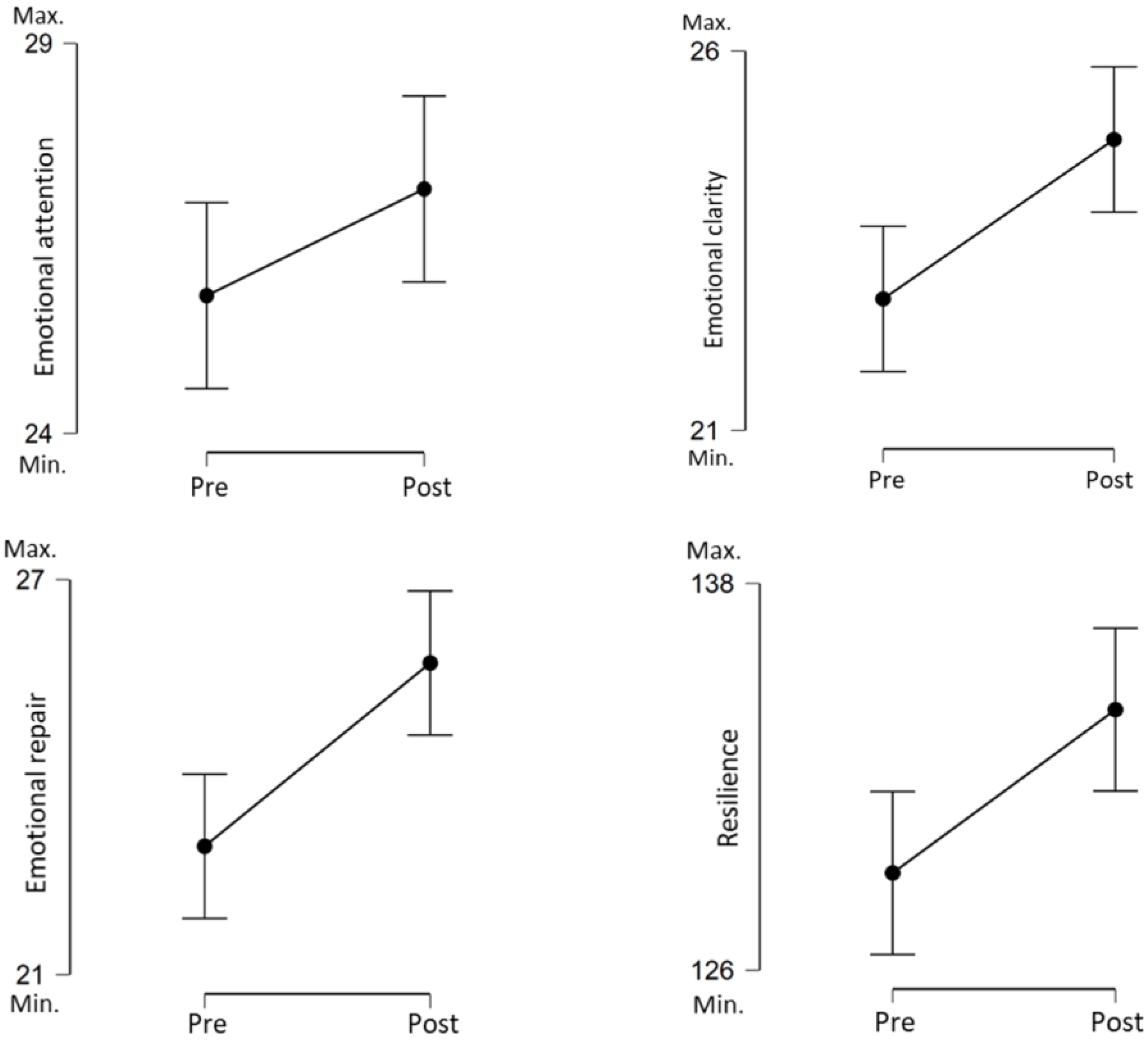
3.3. Effects of the Non-Technical Skills Training Program in Emotional Intelligence and Resilience
4. Discussion
5. Conclusions
Author Contributions
Funding
Institutional Review Board Statement
Informed Consent Statement
Data Availability Statement
Acknowledgments
Conflicts of Interest
References
- Nespereira-Campuzano, T.; Vázquez-Campo, M. Emotional intelligence and stress management in nursing professionals in a hospital emergency department. Enferm. Clin. 2017, 27, 172–178. [Google Scholar] [CrossRef] [PubMed]
- Rakhshani, T.; Motlagh, Z.; Beigi, V.; Rahimkhanli, M.; Rashki, M. The relationship between emotional intelligence and job stress among nurses in Shiraz, Iran. Malays. J. Med. Sci. 2018, 25, 100–109. [Google Scholar] [CrossRef] [PubMed]
- Foster, K.; Fethney, J.; McKenzie, H.; Fisher, M.; Harkness, E.; Kozlowski, D. Emotional intelligence increases over time: A longitudinal study of Australian pre-registration nursing students. Nurse Educ. Today 2017, 55, 65–70. [Google Scholar] [CrossRef] [PubMed]
- Kozlowski, D.; Hutchinson, M.; Hurley, J.; Browne, G. Increasing nurses’ emotional intelligence with a brief intervention. Appl. Nurs. Res. 2018, 41, 59–61. [Google Scholar] [CrossRef]
- Lee, O.S.; Gu, M.O. Development and effects of emotional intelligence program for undergraduate nursing students: Mixed methods research. J. Korean Acad. Nurs. 2014, 44, 682–696. [Google Scholar] [CrossRef]
- Lee, E.J.; Lee, S. The mediating effect of ego-resilience on the relationship between emotional intelligence and nursing performance among clinical nurses. Health Commun. 2018, 13, 19. [Google Scholar] [CrossRef]
- Snowden, A.; Stenhouse, R.; Young, J.; Carver, H.; Carver, F.; Brown, N. The relationship between emotional intelligence, previous caring experience and mindfulness in student nurses and midwives: A cross sectional analysis. Nurse Educ. Today 2015, 35, 152–158. [Google Scholar] [CrossRef]
- Vicente de Vera, M.I.; Gabari, M.N. Resilience as a protective factor of chronic stress in teachers. Eur. J. Investig. Health 2019, 9, 159–175. [Google Scholar] [CrossRef]
- Mayer, J.D.; Salovey, P. What is emotional intelligence? In Emotional Development and Emotional Intelligence: Implications for Educators; Salovey, P., Sluyter, D., Eds.; Basic Books: New York, NY, USA, 1997; pp. 3–31. [Google Scholar]
- Chow, B.W.Y.; Chiu, M.M.; Wong, S.W.L. Emotional Intelligence, social problem-solving skills, and psychological distress: A study of chinese undergraduate students. J. Appl. Soc. Psychol. 2011, 41, 1958–1980. [Google Scholar] [CrossRef]
- Kikanloo, A.A.I.; Jalali, K.; Asadi, Z.; Shokrpour, N.; Amiri, M.; Bazrafkan, L. Emotional intelligence skills: Is nurses’ stress and professional competence related to their emotional intelligence training? A quasi experimental study. J. Adv. Med. Educ. Prof. 2019, 7, 138–143. [Google Scholar] [CrossRef]
- Casuso-Holgado, M.J.; Moreno-Morales, N.; Labajos-Manzanares, M.T.; Montero-Bancalero, F.J. The association between perceived health symptoms and academic stress in spanish higher education students. Eur. J. Educ. Psychol. 2019, 12, 109–123. [Google Scholar] [CrossRef]
- Karimi, L.; Leggat, S.G.; Donohue, L.; Farrell, G.; Couper, G.E. Emotional rescue: The role of emotional intelligence and emotional labour on well-being and job-stress among community nurses. J. Adv. Nurs. 2014, 70, 176–186. [Google Scholar] [CrossRef] [PubMed]
- Molero, M.M.; Pérez-Fuentes, M.C.; Oropesa, N.F.; Simón, M.M.; Gázquez, J.J. Self-Efficacy and Emotional Intelligence as Predictors of Perceived Stress in Nursing Professionals. Medicina 2019, 55, 237. [Google Scholar] [CrossRef] [PubMed]
- Pérez-Fuentes, M.C.; Molero, M.M.; Gázquez, J.J.; Oropesa, N.F. The role of emotional intelligence in engagement in nurses. Int. J. Environ. Res. Public Health 2018, 15, 1915. [Google Scholar] [CrossRef]
- Pérez-Fuentes, M.C.; Molero, M.M.; Gázquez, J.J.; Simón, M.M. Analysis of burnout predictors in nursing: Risk and protective psychological factors. Eur. J. Psychol. Appl. Leg. Context 2019, 11, 33–40. [Google Scholar] [CrossRef]
- Tagoe, T.; Quarshie, E.N.B. The relationship between emotional intelligence and job satisfaction among nurses in Accra. Nurs. Open 2017, 4, 84–89. [Google Scholar] [CrossRef]
- Zhu, Y.; Liu, C.; Guo, B.; Zhao, L.; Lou, F. The impact of emotional intelligence on work engagement of registered nurses: The mediating role of organisational justice. J. Clin. Nurs. 2015, 24, 2115–2124. [Google Scholar] [CrossRef]
- Kim, J.I. The effects of self-leadership, emotional intelligence, and academic self-efficacy on adjustment to college life of nursing college students. J. Korea Acad.-Ind. Coop. Soc. 2018, 19, 253–262. [Google Scholar] [CrossRef]
- Por, J.; Barriball, L.; Fitzpatrick, J.; Roberts, J. Emotional intelligence: Its relationship to stress, coping, well-being and professional performance in nursing students. Nurse Educ. Today 2011, 31, 855–860. [Google Scholar] [CrossRef]
- Sharon, D.; Grinberg, K. Does the level of emotional intelligence affect the degree of success in nursing studies? Nurse Educ. Today 2018, 64, 21–26. [Google Scholar] [CrossRef]
- Jones-Schenk, J.; Harper, M.G. Emotional intelligence: An admission criterion alternative to cumulative grade point averages for prelicensure students. Nurse Educ. Today 2014, 34, 413–420. [Google Scholar] [CrossRef] [PubMed]
- Stenhouse, R.; Snowden, A.; Young, J.; Carver, F.; Carver, H.; Brown, N. Do emotional intelligence and previous caring experience influence student nurse performance? A comparative analysis. Nurse Educ. Today 2016, 43, 1–9. [Google Scholar] [CrossRef] [PubMed]
- Štiglic, G.; Cilar, L.; Novak, Ž.; Vrbnjak, D.; Stenhouse, R.; Snowden, A.; Pajnkihar, M. Emotional intelligence among nursing students: Findings from a cross-sectional study. Nurse Educ. Today 2018, 66, 33–38. [Google Scholar] [CrossRef]
- O’Brien, B.; Graham, M.M.; O’Sullivan, D. Realising the dream of becoming a nurse: Underrepresented BSc nursing students experiences. Nurse Educ. Today 2017, 54, 1–5. [Google Scholar] [CrossRef] [PubMed]
- Benson, G.; Ploeg, J.; Brown, B. A cross-sectional study of emotional intelligence in baccalaureate nursing students. Nurse Educ. Today 2010, 30, 49–53. [Google Scholar] [CrossRef] [PubMed]
- Chae, H.J. Relationships between nursing competency and emotional intelligence and nurse role transition of nursing students. J. Digit. Converg. 2019, 17, 221–229. [Google Scholar] [CrossRef]
- Delgado, C.; Upton, D.; Ranse, K.; Furness, T.; Foster, K. Nurses’ resilience and the emotional labour of nursing work: An integrative review of empirical literature. Int. J. Nurs. Stud. 2017, 70, 71–88. [Google Scholar] [CrossRef]
- Becoña, E. Resilience: Definition, characteristics and utility of the concept. Rev. Psicopatología Y Psicol. Clínica 2006, 11, 125–146. [Google Scholar] [CrossRef]
- Wagnild, G.M.; Young, H.M. Development and psychometric evaluation of the resilience scale. J. Nurs. Meas. 1993, 1, 165–178. [Google Scholar]
- Alarcón, R.; Cerezo, M.V.; Hevilla, S.; Blanca, M.J. Psychometric properties of the Connor-Davidson Resilience Scale in women with breast cancer. Int. J. Clin. Health Psychol. 2020, 20, 81–89. [Google Scholar] [CrossRef]
- Kim, N.H.; Park, S.Y. Effect of emotional intelligence and social support on resilience of student nurses. J. Korea Acad.-Ind. Coop. Soc. 2019, 20, 194–202. [Google Scholar] [CrossRef]
- Cleary, M.; Visentin, D.; West, S.; Lopez, V.; Kornhaber, R. Promoting emotional intelligence and resilience in undergraduate nursing students: An integrative review. Nurse Educ. Today 2018, 68, 112–120. [Google Scholar] [CrossRef]
- Kim, S.G.; Do, E.S. Affect of Emotional intelligence Caring efficacy and Resilience on Satisfaction on Clinical Practice in Nursing Students. J. Korea Acad.-Ind. Coop. Soc. 2019, 20, 231–239. [Google Scholar] [CrossRef]
- Foster, K.; McCloughen, A.; Delgado, C.; Kefalas, C.; Harkness, E. Emotional intelligence education in pre-registration nursing programmes: An integrative review. Nurse Educ. Today 2015, 35, 510–517. [Google Scholar] [CrossRef]
- Pai, H.C. The effect of a self-reflection and insight program on the nursing competence of nursing students: A longitudinal study. J. Prof. Nurs. 2015, 31, 424–431. [Google Scholar] [CrossRef]
- Park, H.I.; Lee, K. The effects of self-growth group program on emotional intelligence and brain function index of nursing students. J. Digit. Converg. 2018, 16, 243–250. [Google Scholar] [CrossRef]
- Waite, R.; McKinney, N.S. Capital we must develop: Emotional competence educating pre-licensure nursing students. Nurs. Educ. Perspect. 2016, 37, 101–103. [Google Scholar] [CrossRef] [PubMed]
- Yoo, M.J. A case study on the effect of communication training program on nurse’s communication ability, emotional intelligence (EQ), self-esteem and interpersonal ability. J. Korea Acad.-Ind. Coop. Soc. 2018, 19, 280–290. [Google Scholar] [CrossRef]
- Fernández-Berrocal, P.; Extremera, N.; Ramos, N. Validity and reliability of the Spanish modified version of the Trait Meta-Mood Scale. Psychol. Rep. 2014, 94, 751–755. [Google Scholar] [CrossRef]
- Salovey, P.; Mayer, J.D.; Goldman, S.L.; Turvey, C.; Palfai, T.P. Emotional attention, clarity, and repair: Exploring emotional intelligence using the Trait Meta-Mood Scale. In Emotion, Disclosure, and Health; Pennebaker, J.W., Ed.; American Psychological Association: Washington, DC, USA, 1995; pp. 125–154. [Google Scholar]
- Peláez-Fernández, M.A.; Extremera, N.; Fernández-Berrocal, P. Incremental prediction and moderating role of the perceived emotional intelligence over aggressive behavior. Span. J. Psychol. 2014, 17, e15. [Google Scholar] [CrossRef][Green Version]
- Wagnild, G.M. The Resilience Scale User’s Guide for the US English Version of the Resilience Scale and the 14-Item Resilience Scale; The Resilience Center: Montana, MT, USA, 2009. [Google Scholar]
- Losoi, H.; Turunen, S.; Wäljas, M.; Helminenc, M.; Öhman, J.; Julkunen, J.; Rosti-Otajärvi, E. Psychometric properties of the Finnish version of the Resilience Scale and its Short Version. Psychol. Commun. Health 2013, 2, 1–10. [Google Scholar] [CrossRef]
- Nishi, D.; Uehara, R.; Kondo, M.; Matsuoka, Y. Reliability and validity of the Japanese version of the Resilience Scale and its short version. BMC Res. Notes 2010, 3, 310. [Google Scholar] [CrossRef] [PubMed]
- Sánchez-Teruel, D.; Robles-Bello, M.A. 14-item Resilience Scale (RS-14): Psychometric properties of the Spanish version. Rev. Iberoam. Diagnóstico Y Evaluación-E Avaliação Psicológica 2015, 2, 103–113. [Google Scholar]
- Sellke, T.; Bayarri, M.J.; Berger, J.O. Calibration of p values for testing precise null hypotheses. Am. Stat. 2001, 55, 62–71. [Google Scholar] [CrossRef]
- Vovk, V.G. A logic of probability, with application to the foundations of statistics. J. R. Stat. Soc. Ser. B 1993, 55, 317–351. [Google Scholar] [CrossRef]
- Cohen, J. Statistical Power Analysis for the Behavioral Sciences, 2nd ed.; Lawrence Erlbaum Associates: Hillsdale, NJ, USA, 1988. [Google Scholar]
- Ventura-León, J.L.; Caycho, T. El coeficiente Omega: Un método alternativo para la estimación de la confiabilidad. Rev. Latinoam. Cienc. Soc. Niñez Y Juv. 2017, 15, 625–627. [Google Scholar]


| Classroom Sessions | Small-Group Workshops | Individual Activities | |
|---|---|---|---|
| Timetable | Weekly 1.5-h subject teaching sessions (12 weeks. Total: 18 h). | 1.5-h workshops | 30 days of individual reflective work |
| Objective | Formation in emotions and resilience | Self-exploration and emotion management | Promote resilience |
| Work methodology | Theory: -Basic principles of emotion management and resilience Practice: -Presentation of cases and solutions -Group discussion and reflection on audiovisual material | Experiential exercises directed at self-knowledge, questioning emotions and emotion management. Later group reflection. -Workshop 1: Rage and fear. -Workshop 2: Sadness. -Workshop 3: Approach to real situations in role-play to improve emotion management | -Review and put into practice personal self-care activities -Focus on the positive: observe positive things during the day for 21 days. -Learn to grow with problems |
| Pre | Post | |||
|---|---|---|---|---|
| Pearson’s r | 95% CI | Pearson’s r | 95% CI | |
| Emotional attention–Resilience | −0.25 1 | (−0.481, −0.005) | 0.01 | (−0.242, 0.266) |
| Emotional clarity–Resilience | 0.51 2 | (0.295, 0.677) | 0.63 2 | (0.458, 0.768) |
| Emotional repair–Resilience | 0.58 2 | (0.389, 0.731) | 0.69 2 | (0.540, 0.809) |
| Measures | Pairs Post-Pre | ||||||||||
|---|---|---|---|---|---|---|---|---|---|---|---|
| Pre | Post | t | p | MD 3 | SE 4 | 95% CI | Cohen’s d | ||||
| M 1 | SD 2 | M 1 | SD 2 | Lower | Upper | ||||||
| Attention | 25.76 | 6.21 | 27.13 | 5.80 | 1.62 | 0.110 | 1.36 | 0.84 | −0.31 | 3.05 | 0.21 |
| Clarity | 22.73 | 5.72 | 24.83 | 6.05 | 3.10 | 0.003 | 2.10 | 0.67 | 0.74 | 3.45 | 0.40 |
| Repair | 22.95 | 5.98 | 25.73 | 6.81 | 3.59 | <0.001 | 2.78 | 0.77 | 1.23 | 4.33 | 0.46 |
| Resilience | 129.01 | 18.61 | 134.08 | 17.13 | 2.83 | 0.006 | 5.06 | 1.78 | 1.49 | 8.64 | 0.36 |
Publisher’s Note: MDPI stays neutral with regard to jurisdictional claims in published maps and institutional affiliations. |
© 2022 by the authors. Licensee MDPI, Basel, Switzerland. This article is an open access article distributed under the terms and conditions of the Creative Commons Attribution (CC BY) license (https://creativecommons.org/licenses/by/4.0/).
Share and Cite
Jiménez-Rodríguez, D.; Molero Jurado, M.d.M.; Pérez-Fuentes, M.d.C.; Arrogante, O.; Oropesa-Ruiz, N.F.; Gázquez-Linares, J.J. The Effects of a Non-Technical Skills Training Program on Emotional Intelligence and Resilience in Undergraduate Nursing Students. Healthcare 2022, 10, 866. https://doi.org/10.3390/healthcare10050866
Jiménez-Rodríguez D, Molero Jurado MdM, Pérez-Fuentes MdC, Arrogante O, Oropesa-Ruiz NF, Gázquez-Linares JJ. The Effects of a Non-Technical Skills Training Program on Emotional Intelligence and Resilience in Undergraduate Nursing Students. Healthcare. 2022; 10(5):866. https://doi.org/10.3390/healthcare10050866
Chicago/Turabian StyleJiménez-Rodríguez, Diana, María del Mar Molero Jurado, María del Carmen Pérez-Fuentes, Oscar Arrogante, Nieves Fátima Oropesa-Ruiz, and José Jesús Gázquez-Linares. 2022. "The Effects of a Non-Technical Skills Training Program on Emotional Intelligence and Resilience in Undergraduate Nursing Students" Healthcare 10, no. 5: 866. https://doi.org/10.3390/healthcare10050866
APA StyleJiménez-Rodríguez, D., Molero Jurado, M. d. M., Pérez-Fuentes, M. d. C., Arrogante, O., Oropesa-Ruiz, N. F., & Gázquez-Linares, J. J. (2022). The Effects of a Non-Technical Skills Training Program on Emotional Intelligence and Resilience in Undergraduate Nursing Students. Healthcare, 10(5), 866. https://doi.org/10.3390/healthcare10050866

