Assessment of Traffic Accidents in Japan during the COVID-19 Pandemic vs. Previous Years: A Preliminary Report
Abstract
:1. Introduction
2. Materials and Methods
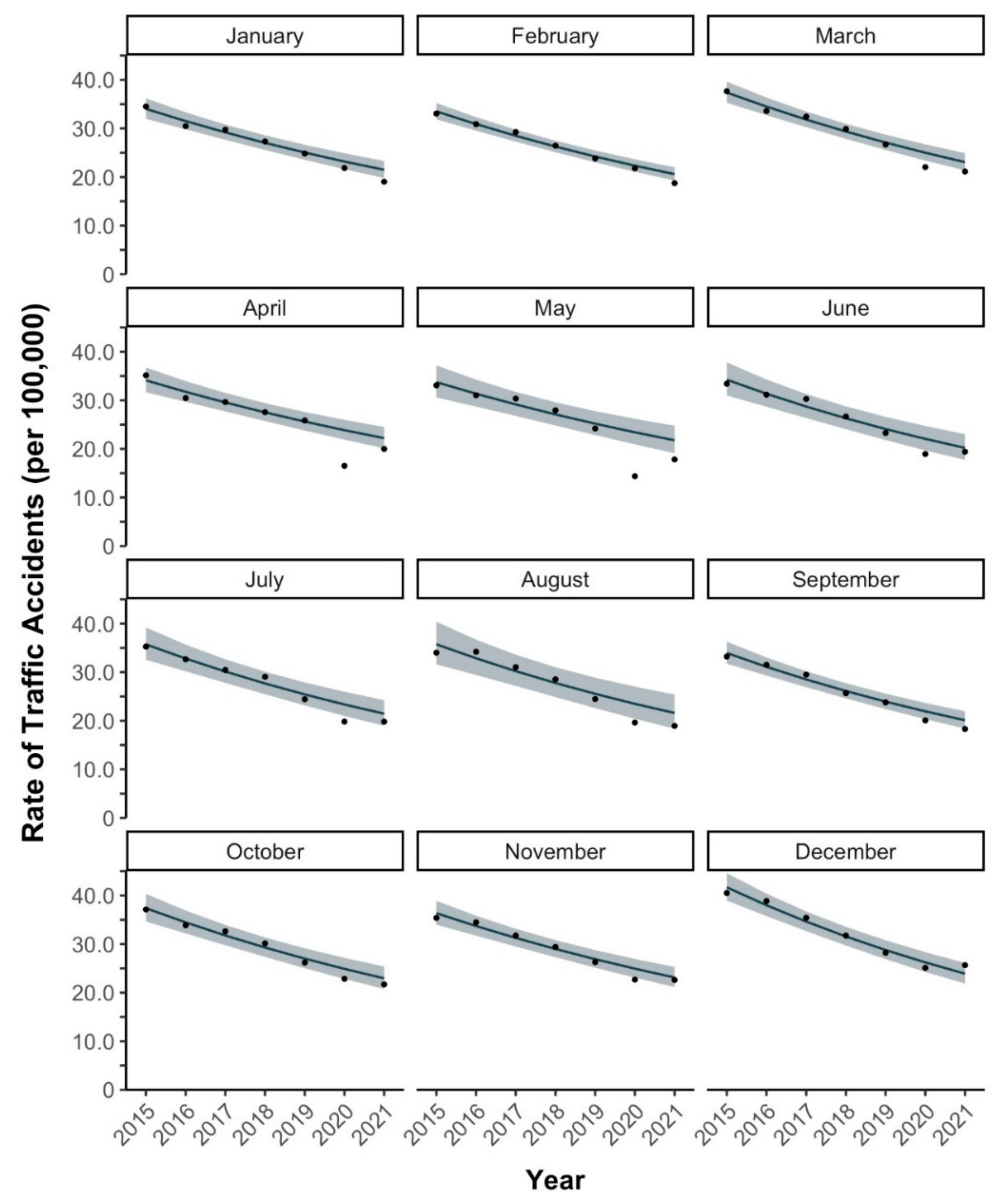
3. Results
4. Discussion
5. Conclusions
Supplementary Materials
Author Contributions
Funding
Institutional Review Board Statement
Informed Consent Statement
Data Availability Statement
Conflicts of Interest
References
- Lal, A.; Erondu, N.A.; Heymann, D.L.; Gitahi, G.; Yates, R. Fragmented health systems in COVID-19: Rectifying the misalignment between global health security and universal health coverage. Lancet 2021, 397, 61–67. [Google Scholar] [CrossRef]
- Qureshi, A.I.; Huang, W.; Khan, S.; Lobanova, I.; Siddiq, F.; Gomez, C.R.; Suri, M. Mandated societal lockdown and road traffic accidents. Accid. Anal. Prev. 2020, 146, 105747. [Google Scholar] [CrossRef] [PubMed]
- Nuñez, J.H.; Sallent, A.; Lakhani, K.; Guerra-Farfan, E.; Vidal, N.; Ekhtiari, S.; Minguell, J. Impact of the COVID-19 Pandemic on an Emergency Traumatology Service: Experience at a Tertiary Trauma Centre in Spain. Injury 2020, 51, 1414–1418. [Google Scholar] [CrossRef] [PubMed]
- Li, L.; Neuroth, L.M.; Valachovic, E.; Schwebel, D.C.; Zhu, M. Association Between Changes in Social Distancing Policies in Ohio and Traffic Volume and Injuries, January Through July 2020. J. Am. Med Assoc. 2021, 325, 1003–1006. [Google Scholar] [CrossRef] [PubMed]
- Calderon-Anyosa, R.J.C.; Kaufman, J.S. Impact of COVID-19 lockdown policy on homicide, suicide, and motor vehicle deaths in Peru. Prev. Med. 2021, 143, 106331. [Google Scholar] [CrossRef] [PubMed]
- Zhang, J.; Feng, B.; Wu, Y.; Xu, P.; Ke, R.; Dong, N. The effect of human mobility and control measures on traffic safety during COVID-19 pandemic. PLoS ONE 2021, 16, e0243263. [Google Scholar] [CrossRef] [PubMed]
- Shimizu, K.; Negita, M. Lessons Learned from Japan’s Response to the First Wave of COVID-19: A Content Analysis. Healthcare 2020, 8, 426. [Google Scholar] [CrossRef] [PubMed]
- Shimizu, K.; Wharton, G.; Sakamoto, H.; Mossialos, E. Resurgence of COVID-19 in Japan. BMJ 2020, 370, 3221. [Google Scholar] [CrossRef] [PubMed]
- Google LLC. COVID-19 Community Mobility Reports. 2020. Available online: https://www.google.com/covid19/mobility/ (accessed on 30 April 2021).
- Changes in Traffic Volume on Major Sections of Expressways and Major National Highways in Major Urban Areas in Japan. Translated from Japanese. Available online: https://www.mlit.go.jp/road/road_fr4_000090.html (accessed on 30 April 2021).
- Nomura, S.; Kawashima, T.; Yoneoka, D.; Tanoue, Y.; Eguchi, A.; Gilmour, S.; Hashizume, M. Trends in deaths from road injuries during the COVID-19 pandemic in Japan, January to September 2020. Inj. Epidemiol. 2020, 7, 66. [Google Scholar] [CrossRef] [PubMed]
- Shimizu, K.; Tokuda, Y.; Shibuya, K. Japan should aim to eliminate COVID-19. BMJ 2021, 372, n294. [Google Scholar] [CrossRef] [PubMed]
- Shimizu, K.; Sridhar, D.; Taniguchi, K.; Shibuya, K. Reconsider this summer’s Olympic and Paralympic games. BMJ 2021, 373, n962. [Google Scholar] [CrossRef] [PubMed]
- Ito, K.; Piantham, C.; Nishiura, H. Predicted dominance of variant Delta of SARS-CoV-2 before Tokyo Olympic Games, Japan, July 2021. Eurosurveillance 2021, 26, 2100570. [Google Scholar] [CrossRef] [PubMed]
- Linton, N.M.; Jung, S.-M.; Nishiura, H. Not all fun and games: Potential incidence of SARS-CoV-2 infections during the Tokyo 2020 Olympic Games. Math. Biosci. Eng. 2021, 18, 9685–9696. [Google Scholar] [CrossRef] [PubMed]
- Shimizu, K.; Mossialos, E.; Shibuya, K. What has the 2020 Tokyo Olympic and Paralympic Games taught global health on sporting mass gatherings under COVID-19 pandemic? Anaesth. Crit. Care Pain Med. 2022, 41, 101001. [Google Scholar] [CrossRef] [PubMed]
- Oguchi, T. Achieving safe road traffic — the experience in Japan. IATSS Res. 2016, 39, 110–116. [Google Scholar] [CrossRef] [Green Version]
- National Policy Agency, Japan. Explanation of Words in Traffic Accident Statistics (in Japanese). Available online: https://www.npa.go.jp/publications/statistics/koutsuu/yougo.html (accessed on 10 April 2022).
- National Policy Agency, Japan. Traffic Accident Statistics. Available online: https://www.npa.go.jp/publications/statistics/koutsuu/toukeihyo_e.html (accessed on 10 April 2022).
- Sakamoto, H.; Ishikane, M.; Ghaznavi, C.; Ueda, P. Assessment of Suicide in Japan During the COVID-19 Pandemic vs Previous Years. JAMA Netw. Open 2021, 4, e2037378. [Google Scholar] [CrossRef] [PubMed]
- Phua, J.; Faruq, M.O.; Kulkarni, A.P.; Redjeki, I.S.; Detleuxay, K.; Mendsaikhan, N.; Sann, K.K.; Shrestha, B.R.; Hashmi, M.; Palo, J.E.M.; et al. Critical Care Bed Capacity in Asian Countries and Regions. Crit. Care Med. 2020, 48, 654–662. [Google Scholar] [CrossRef] [PubMed]
- Rhodes, A.; Ferdinande, P.; Flaatten, H.; Guidet, B.; Metnitz, P.G.; Moreno, R.P. The variability of critical care bed numbers in Europe. Intensiv. Care Med. 2012, 38, 1647–1653. [Google Scholar] [CrossRef] [PubMed] [Green Version]
- Nomura, S.; Yoneoka, D.; Tanoue, Y.; Kawashima, T.; Shi, S.; Eguchi, A.; Miyata, H. Time to Reconsider Diverse Ways of Working in Japan to Promote Social Distancing Measures against the COVID-19. J. Hered. 2020, 97, 457–460. [Google Scholar] [CrossRef] [PubMed]
- Cabinet Office, Japan. Fundamental Traffic Safety Program (in Japanese). Available online: https://www8.cao.go.jp/koutu/taisaku/index-w.html (accessed on 30 April 2021).
- Inada, H.; Ashraf, L.; Campbell, S. COVID-19 lockdown and fatal motor vehicle collisions due to speed-related traffic violations in Japan: A time-series study. Inj. Prev. 2021, 27, 98–100. [Google Scholar] [CrossRef] [PubMed]



| Month | Yearly Change 2015–2019, % (95% CI) |
|---|---|
| January | −7.7 (−10.2 to −5.2) |
| February | −8.1 (−10.2 to −6.1) |
| March | −8.1 (−10.4 to −5.7) |
| April | −7.2 (−10.2 to −4.1) |
| May | −7.3 (−11.3 to −3.3) |
| June | −8.8 (−12.8 to −4.8) |
| July | −8.5 (−12.3 to −4.7) |
| August | −8.4 (−13.4 to −3.4) |
| September | −8.7 (−11.4 to −6.0) |
| October | −8.1 (−11.2 to −5.0) |
| November | −7.5 (−10.3 to −4.8) |
| December | −9.3 (−12.0 to −6.5) |
Publisher’s Note: MDPI stays neutral with regard to jurisdictional claims in published maps and institutional affiliations. |
© 2022 by the authors. Licensee MDPI, Basel, Switzerland. This article is an open access article distributed under the terms and conditions of the Creative Commons Attribution (CC BY) license (https://creativecommons.org/licenses/by/4.0/).
Share and Cite
Shimizu, K.; Ueda, P.; Ghaznavi, C.; Sakamoto, H.; Nomura, S. Assessment of Traffic Accidents in Japan during the COVID-19 Pandemic vs. Previous Years: A Preliminary Report. Healthcare 2022, 10, 860. https://doi.org/10.3390/healthcare10050860
Shimizu K, Ueda P, Ghaznavi C, Sakamoto H, Nomura S. Assessment of Traffic Accidents in Japan during the COVID-19 Pandemic vs. Previous Years: A Preliminary Report. Healthcare. 2022; 10(5):860. https://doi.org/10.3390/healthcare10050860
Chicago/Turabian StyleShimizu, Kazuki, Peter Ueda, Cyrus Ghaznavi, Haruka Sakamoto, and Shuhei Nomura. 2022. "Assessment of Traffic Accidents in Japan during the COVID-19 Pandemic vs. Previous Years: A Preliminary Report" Healthcare 10, no. 5: 860. https://doi.org/10.3390/healthcare10050860
APA StyleShimizu, K., Ueda, P., Ghaznavi, C., Sakamoto, H., & Nomura, S. (2022). Assessment of Traffic Accidents in Japan during the COVID-19 Pandemic vs. Previous Years: A Preliminary Report. Healthcare, 10(5), 860. https://doi.org/10.3390/healthcare10050860

