Association of Physical Activity and Quality of Life with Work-Related Musculoskeletal Disorders in the UAE Young Adults
Abstract
:1. Introduction
1.1. Impact of Work-Related Musculoskeletal Disorders
1.2. Potential Determinants of WRMSDs
1.2.1. Physical Activity and Its Effect on WRMSDs
1.2.2. Quality of Life (QOL) and WRMSDs
1.3. Industrialization and Cross-Cultural Factors of WRMSDs
1.4. Aim of the Study
2. Subjects and Methods
2.1. Study Design and Setting
2.2. Participants
2.3. Outcome Variables and Measurement
- (1)
- Patient demographics: This part of the questionnaire asked about age, gender, years of experience, nature of work, and family history of musculoskeletal disorders (rheumatoid arthritis or spondyloarthropathies)
- (2)
- Self-reported physical activity levels: WHO developed the Global Physical Activity Questionnaire (GPAQ) for surveillance of physical activity across countries. The GPAQ consists of 16 questions on physical activity based on three domains: activity at work, commuting, and recreational activities. The GPAQ evaluates the three dimensions of physical activity: frequency, duration, and intensity. The criterion validity of the GPAQ with accelerometer-derived physical activity is fair (r = 0.23–0.26) in high-income countries [17].
- (3)
- WHO Quality-of-life scores: Quality of life was assessed using the WHOQOL-BREF, which consists of 26 questions, including physical, psychological, social, and environmental domains [18]. The response options ranged from 1 (very dissatisfied/very poor) to 5 (very satisfied/very good). The final scores of overall QOL (ranging 16–80) and of each domain (ranging 4–20) were calculated according to the developers. A higher score indicated a better perception of life quality. A Norwegian validation study found an acceptable convergent and discriminate validity and internal consistency across physical, psychological, and environmental domains, but the social domain showed only marginal reliability [19].
- (4)
- Musculoskeletal pain: Musculoskeletal discomfort was assessed using the NMQ, which is widely used in recent Arabian epidemiological studies [20,21]. The Nordic musculoskeletal questionnaire asks about overall and site-specific musculoskeletal problems for seven days over a 12-month period in the first section while the following section assesses the impact of the musculoskeletal problems on an individual’s capacity to work as well as their overall quality of life in the workplace. To assist participants in answering questions focusing on musculoskeletal symptoms, an anatomical diagram was used to clearly identify body regions. The anatomical diagram and the relevant questions cover nine body regions, namely, the neck, shoulders, elbows, wrists/hands, upper back, lower back, hips/thighs/buttocks, knees, and ankles). The NMSQ was found to have marginal validity and reliability (0–23%) [22].
2.4. Bias
2.5. Sample Size
2.6. Procedure
2.7. Statistical Analysis
3. Results
3.1. Participants
3.2. Descriptive Data
3.3. Outcome Data
3.4. Main Results
4. Discussion
4.1. Prevalence of WRMSDs
4.2. Determinants of WRMSDs among the UAE Population
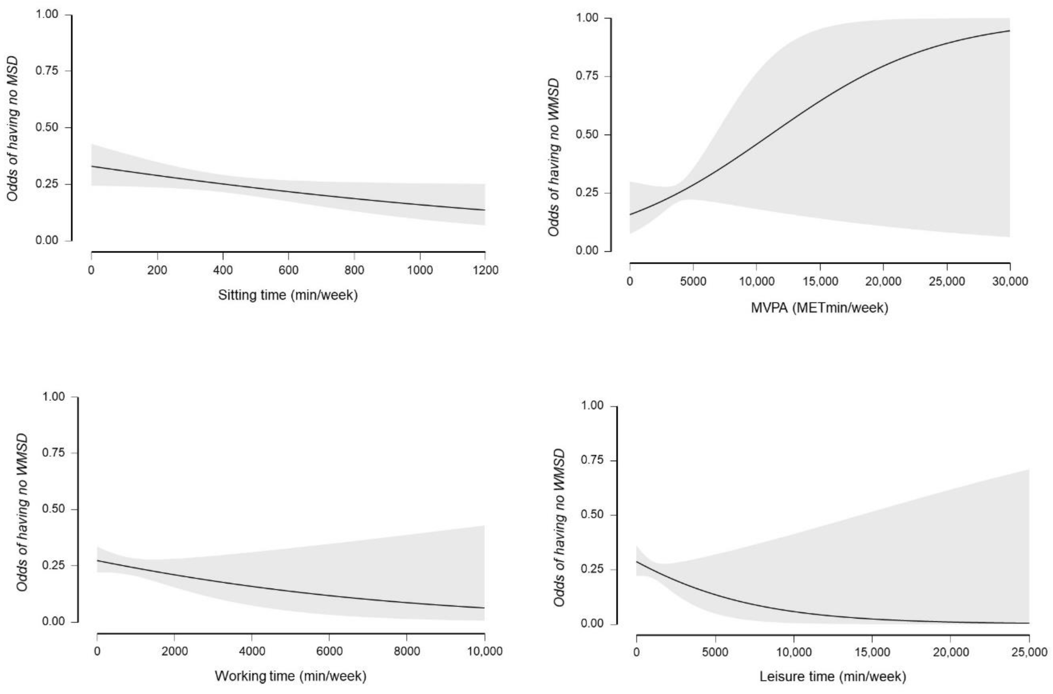
4.3. Association between Physical Activity, Quality of Life, and WRMSDs
4.4. Practical Applications of Our Findings
4.5. Study Limitations
5. Conclusions
Supplementary Materials
Author Contributions
Funding
Institutional Review Board Statement
Informed Consent Statement
Data Availability Statement
Acknowledgments
Conflicts of Interest
References
- Moreira-Silva, I.; Teixeira, P.M.; Santos, R.; Abreu, S.; Moreira, C.; Mota, J. The Effects of Workplace Physical Activity Programs on Musculoskeletal Pain: A Systematic Review and Meta-Analysis. Workplace Health Saf. 2016, 64, 210–222. [Google Scholar] [CrossRef] [PubMed] [Green Version]
- Kelly, D.; Shorthouse, F.; Roffi, V.; Tack, C. Exercise therapy and work-related musculoskeletal disorders in sedentary workers. Occup. Med. 2018, 68, 262–272. [Google Scholar] [CrossRef] [PubMed] [Green Version]
- Olafsson, G.; Jonsson, E.; Fritzell, P.; Hägg, O.; Borgström, F. Cost of low back pain: Results from a national register study in Sweden. Eur. Spine J. 2018, 27, 2875–2881. [Google Scholar] [CrossRef] [PubMed] [Green Version]
- Heneweer, H.; Staes, F.; Aufdemkampe, G.; van Rijn, M.; Vanhees, L. Physical activity and low back pain: A systematic review of recent literature. Eur. Spine J. 2011, 20, 826–845. [Google Scholar] [CrossRef] [PubMed] [Green Version]
- Descatha, A.; Evanoff, B.A.; Leclerc, A.; Roquelaure, Y. Occupational determinants of musculoskeletal disorders. Handb. Disabil. Work Health 2020, 169–188. [Google Scholar]
- Ribas, T.M.; Teodori, R.M.; Mescolotto, F.F.; Montebelo, M.I.L.; Baruki, S.B.S.; Pazzianotto-Forti, E.M. Impact of physical activity levels on musculoskeletal symptoms and absenteeism of workers of a metallurgical company. Rev. Bras. Med. Trab. 2021, 18, 425–433. [Google Scholar] [CrossRef] [PubMed]
- Park, B.C.; Cheong, H.K.; Kim, E.A.; Kim, S.G. Risk Factors of Work-related Upper Extremity Musculoskeletal Disorders in Male Shipyard Workers: Structural Equation Model Analysis. Saf. Health Work 2010, 1, 124–133. [Google Scholar] [CrossRef] [PubMed] [Green Version]
- Zhang, D.; Huang, H. Prevalence of work-related musculoskeletal disorders among sonographers in China: Results from a national web-based survey. J. Occup. Health 2017, 59, 529–541. [Google Scholar] [CrossRef] [PubMed] [Green Version]
- McDonald, M.; Salisbury, H. Physical Activity, Exercise, and Musculoskeletal Disorders in Sonographers. J. Diagn. Med. Sonogr. 2019, 35, 305–315. [Google Scholar] [CrossRef]
- WHO. The World Health Organization Quality of Life assessment (WHOQOL): Position paper from the World Health Organization. Soc. Sci. Med. 1995, 41, 1403–1409. [Google Scholar] [CrossRef]
- Chang, Y.F.; Yeh, C.M.; Huang, S.L.; Ho, C.C.; Li, R.H.; Wang, W.H.; Tang, F.C. Work Ability and Quality of Life in Patients with Work-Related Musculoskeletal Disorders. Int. J. Environ. Res. Public Health 2020, 17, 3310. [Google Scholar] [CrossRef] [PubMed]
- Vega-Fernández, G.; Lera, L.; Leyton, B.; Cortés, P.; Lizana, P.A. Musculoskeletal Disorders Associated with Quality of Life and Body Composition in Urban and Rural Public School Teachers. Front. Public Health 2021, 9, 607318. [Google Scholar] [CrossRef] [PubMed]
- Govaerts, R.; Tassignon, B.; Ghillebert, J.; Serrien, B.; De Bock, S.; Ampe, T.; El Makrini, I.; Vanderborght, B.; Meeusen, R.; De Pauw, K. Prevalence and incidence of work-related musculoskeletal disorders in secondary industries of 21st century Europe: A systematic review and meta-analysis. BMC Musculoskelet Disord. 2021, 22, 751. [Google Scholar] [CrossRef] [PubMed]
- Wong, F.Y.; Yang, L.; Yuen, J.W.M.; Chang, K.K.P.; Wong, F.K.Y. Assessing quality of life using WHOQOL-BREF: A cross-sectional study on the association between quality of life and neighborhood environmental satisfaction, and the mediating effect of health-related behaviors. BMC Public Health 2018, 18, 1113. [Google Scholar] [CrossRef] [PubMed] [Green Version]
- Paulo, M.S.; Loney, T.; Lapão, L.V. How do we strengthen the health workforce in a rapidly developing high-income country? A case study of Abu Dhabi’s health system in the United Arab Emirates. Hum. Resour. Health 2019, 17, 9. [Google Scholar] [CrossRef] [PubMed] [Green Version]
- Shaikh, S.; Siddiqui, A.A.; Alshammary, F.; Amin, J.; Agwan, M.A.S. Musculoskeletal Disorders Among Healthcare Workers: Prevalence and Risk Factors in the Arab World. In Handbook of Healthcare in the Arab World; Laher, I., Ed.; Springer International Publishing: Cham, Switzerland, 2020; pp. 1–39. [Google Scholar]
- Cleland, C.L.; Hunter, R.F.; Kee, F.; Cupples, M.E.; Sallis, J.F.; Tully, M.A. Validity of the global physical activity questionnaire (GPAQ) in assessing levels and change in moderate-vigorous physical activity and sedentary behaviour. BMC Public Health 2014, 14, 1255. [Google Scholar] [CrossRef] [PubMed] [Green Version]
- Feder, K.; Michaud, D.S.; Keith, S.E.; Voicescu, S.A.; Marro, L.; Than, J.; Guay, M.; Denning, A.; Bower, T.J.; Lavigne, E.; et al. An assessment of quality of life using the WHOQOL-BREF among participants living in the vicinity of wind turbines. Environ. Res. 2015, 142, 227–238. [Google Scholar] [CrossRef] [Green Version]
- Kalfoss, M.H.; Reidunsdatter, R.J.; Klöckner, C.A.; Nilsen, M. Validation of the WHOQOL-Bref: Psychometric properties and normative data for the Norwegian general population. Health Qual. Life Outcomes 2021, 19, 13. [Google Scholar] [CrossRef] [PubMed]
- AlOmar, R.S.; AlShamlan, N.A.; Alawashiz, S.; Badawood, Y.; Ghwoidi, B.A.; Abugad, H. Musculoskeletal symptoms and their associated risk factors among Saudi office workers: A cross-sectional study. BMC Musculoskelet Disord. 2021, 22, 763. [Google Scholar] [CrossRef] [PubMed]
- Morabito, J.; Penkala, S.; Coxon, K. Workplace musculoskeletal problems in occupational therapy students. BMC Public Health 2021, 21, 660. [Google Scholar] [CrossRef] [PubMed]
- Dawson, A.P.; Steele, E.J.; Hodges, P.W.; Stewart, S. Development and test-retest reliability of an extended version of the Nordic Musculoskeletal Questionnaire (NMQ-E): A screening instrument for musculoskeletal pain. J. Pain 2009, 10, 517–526. [Google Scholar] [CrossRef] [PubMed]
- Gagliardi, D.; Marinaccio, A.; Valenti, A.; Iavicoli, S. Occupational safety and health in Europe: Lessons from the past, challenges and opportunities for the future. Ind. Health 2012, 50, 7–11. [Google Scholar] [CrossRef] [Green Version]
- Sharan, D.; Parijat, P.; Sasidharan, A.P.; Ranganathan, R.; Mohandoss, M.; Jose, J. Workstyle risk factors for work related musculoskeletal symptoms among computer professionals in India. J. Occup. Rehabil. 2011, 21, 520–525. [Google Scholar] [CrossRef] [PubMed]
- Kaliniene, G.; Ustinaviciene, R.; Skemiene, L.; Vaiciulis, V.; Vasilavicius, P. Associations between musculoskeletal pain and work-related factors among public service sector computer workers in Kaunas County, Lithuania. BMC Musculoskelet Disord. 2016, 17, 420. [Google Scholar] [CrossRef] [PubMed] [Green Version]
- Borhany, T.; Shahid, E.; Siddique, W.A.; Ali, H. Musculoskeletal problems in frequent computer and internet users. J. Fam. Med. Prim. Care 2018, 7, 337–339. [Google Scholar] [CrossRef] [PubMed]
- Ezzatvar, Y.; Calatayud, J.; Andersen, L.L.; Casaña, J. Are Moderate and Vigorous Leisure-Time Physical Activity Associated With Musculoskeletal Pain? A Cross-Sectional Study Among 981 Physical Therapists. Am. J. Health Promot. 2020, 34, 67–70. [Google Scholar] [CrossRef] [PubMed]
- Grabara, M.; Sadowska-Krępa, E. Musculoskeletal disorders and the physical activity of territorial army soldiers during the COVID-19 pandemic. BMC Musculoskelet Disord. 2021, 22, 796. [Google Scholar] [CrossRef] [PubMed]
- Dalene, K.E.; Tarp, J.; Selmer, R.M.; Ariansen, I.K.H.; Nystad, W.; Coenen, P.; Anderssen, S.A.; Steene-Johannessen, J.; Ekelund, U. Occupational physical activity and longevity in working men and women in Norway: A prospective cohort study. Lancet Public Health 2021, 6, e386–e395. [Google Scholar] [CrossRef]
- Gupta, N.; Dencker-Larsen, S.; Lund Rasmussen, C.; McGregor, D.; Rasmussen, C.D.N.; Thorsen, S.V.; Jørgensen, M.B.; Chastin, S.; Holtermann, A. The physical activity paradox revisited: A prospective study on compositional accelerometer data and long-term sickness absence. Int. J. Behav. Nutr. Phys. Act 2020, 17, 93. [Google Scholar] [CrossRef]
- Prince, S.A.; Rasmussen, C.L.; Biswas, A.; Holtermann, A.; Aulakh, T.; Merucci, K.; Coenen, P. The effect of leisure time physical activity and sedentary behaviour on the health of workers with different occupational physical activity demands: A systematic review. Int. J. Behav. Nutr. Phys. Act 2021, 18, 100. [Google Scholar] [CrossRef] [PubMed]
- Hildebrandt, V.H.; Bongers, P.M.; Dul, J.; van Dijk, F.J.; Kemper, H.C. The relationship between leisure time, physical activities and musculoskeletal symptoms and disability in worker populations. Int. Arch. Occup. Environ. Health 2000, 73, 507–518. [Google Scholar] [CrossRef] [PubMed]
- Bae, Y.H.; Min, K.S. Associations between work-related musculoskeletal disorders, quality of life, and workplace stress in physical therapists. Ind. Health 2016, 54, 347–353. [Google Scholar] [CrossRef] [PubMed] [Green Version]
- Park, S.; Lee, J.; Lee, J.H. Insufficient Rest Breaks at Workplace and Musculoskeletal Disorders Among Korean Kitchen Workers. Saf. Health Work 2021, 12, 225–229. [Google Scholar] [CrossRef] [PubMed]
- Luger, T.; Maher, C.G.; Rieger, M.A.; Steinhilber, B. Work-break schedules for preventing musculoskeletal symptoms and disorders in healthy workers. Cochrane Database Syst. Rev. 2019, 7, CD012886. [Google Scholar] [CrossRef]
- Wood, K.; Lowndes, B.; Buus, R.; Hallbeck, M. Evidence-based intraoperative microbreak activities for reducing musculoskeletal injuries in the operating room. Work-J. Prev. Assess. Rehabil. 2018, 60, 649–659. [Google Scholar] [CrossRef] [Green Version]
- Crowley, P.; Gupta, N.; Vuillerme, N.; Madeleine, P.; Holtermann, A. Number of steps and systolic blood pressure: Do work and leisure matter? Scand. J. Med. Sci. Sports 2021, 31, 1962–1970. [Google Scholar] [CrossRef]
- Di Bartolomeo, G.; Papa, S. The Effects of Physical Activity on Social Interactions: The Case of Trust and Trustworthiness. J. Sports Econ. 2019, 20, 50–71. [Google Scholar] [CrossRef]
- Eime, R.M.; Young, J.A.; Harvey, J.T.; Charity, M.J.; Payne, W.R. A systematic review of the psychological and social benefits of participation in sport for children and adolescents: Informing development of a conceptual model of health through sport. Int. J. Behav. Nutr. Phys. Act. 2013, 10, 98. [Google Scholar] [CrossRef] [PubMed] [Green Version]
- Flanders, W.D.; Lin, L.; Pirkle, J.L.; Caudill, S.P. Assessing the direction of causality in cross-sectional studies. Am. J. Epidemiol. 1992, 135, 926–935. [Google Scholar] [CrossRef] [PubMed]
- Crutzen, R.; Göritz, A.S. Does social desirability compromise self-reports of physical activity in web-based research? Int. J. Behav. Nutr. Phys. Act. 2011, 8, 31. [Google Scholar] [CrossRef] [Green Version]


| Baseline Characteristics | n (%) | |
|---|---|---|
| Gender | Male | 319 (63.0) |
| Females | 187 (37.0) | |
| Age group | 18–29 | 287 (56.7) |
| 30–39 | 219 (43.3) | |
| Work-related musculoskeletal disorders # | Presence of any one of WMSDs | 379 (74.75) |
| Neck | 201 (40) | |
| Shoulders | 207 (41) | |
| Upper back | 164 (32) | |
| Elbows | 47 (9) | |
| Wrists/hands | 99 (20) | |
| Lower back | 244 (48) | |
| Hips/Thighs | 77 (15) | |
| Knees | 142 (28) | |
| Ankles/Feet | 103 (20) | |
| Variables | Work Time Activity # (min/week) | Active Transport # (min/week) | Leisure Time Activities # (min/week) | Daily Sitting Time # (min/week) | Moderate Intensity Activity # (min/week) | Vigorous Activities # (min/week) | MVPA # (min/week) | Total PA # (min/week) | |
|---|---|---|---|---|---|---|---|---|---|
| Gender | Male | 1792.20 ± 3515.26 | 680.44 ± 1229.95 | 1515.92 ± 2411.38 | 421.91 ± 223.44 | 1345.32 ± 1867.43 | 1962.80 ± 3030.81 | 3988.55 ± 4546.15 | 751.79 ± 823.16 |
| Female | 1108.42 ± 2208.44 | 668.60 ± 1343.57 | 1693.14 ± 2967.35 | 459.81 ± 244.82 | 1312.84 ± 1927.64 | 1488.72 ± 2869.36 | 3470.17 ± 4322.40 | 681.45 ± 820.20 | |
| W | 30,658.00 | 29,817.50 | 29,556.50 | 30,658.00 | 30,716.00 | 28,267.00 | 30,888.50 | 30,657.00 | |
| p value | 0.042 * | 0.931 | 0.530 | 0.128 | 0.873 | 0.140 | 0.282 | 0.427 | |
| Age Group | 18–29 | 1466.61 ± 2964.80 | 635.44 ± 1252.02 | 1368.25 ± 2063.87 | 452.94 ± 243.33 | 1248.76 ± 1781.86 | 1586.10 ± 2553.91 | 3470.299 ± 4006.62 | 669.31 ± 749.72 |
| 30–39 | 1672.03 ± 3361.39 | 733.418 ± 1294.02 | 1871.65 ± 3221.30 | 410.41 ± 212.27 | 1453.04 ± 2023.13 | 2090.63 ± 3477.24 | 4277.09 ± 5023.05 | 807.94 ± 909.29 | |
| W | 26,253.00 | 28,263.50 | 26,243.00 | 24,233.00 | 27,238.00 | 25,322.00 | 29,239.00 | 23,152.50 | |
| p value | 0.530 | 0.459 | 0.065 | 0.078 | 0.299 | 0.104 | 0.083 | 0.105 | |
| WRMSDs | Yes | 832.24 ± 1643.96 | 676.29 ± 1269.22 | 501.68 ± 935.13 | 435.21 ± 231.55 | 1076.43 ± 2135.39 | 720.00 ± 2073.11 | 3806.64 ± 4470.04 | 727.11 ± 821.72 |
| No | 762.21 ± 1653.39 | 675.43 ± 1025.79 | 623.31 ± 989.90 | 392.66 ± 232.93 | 1028.35 ± 1827.39 | 452.28 ± 1302.63 | 3541.58 ± 4369.97 | 700.32 ± 812.70 | |
| W | 25,323.00 | 22,713.50 | 22,633.50 | 26,330.00 | 25,325.50 | 24,522.00 | 24,583.00 | 24,266.00 | |
| p value | 0.172 | 0.995 | 0.212 | 0.074 | 0.678 | 0.820 | 0.561 | 0.750 | |
| Baseline Variables | Quality of Life $ | ||||
|---|---|---|---|---|---|
| Physical Health # | Psychological Domain # | Social Relationships # | Environmental Domain # | ||
| Gender | Male | 61.27 ± 15.68 | 63.38 ± 15.17 | 64.43 ± 20.33 | 66.11 ± 16.57 |
| Female | 62.41 ± 16.02 | 65.29 ± 14.54 | 66.29 ± 19.94 | 65.01 ± 17.31 | |
| W | 26,855.00 | 28,290.50 | 28,931.50 | 28,032.50 | |
| p value | 0.503 | 0.237 | 0.393 | 0.546 | |
| Age | 18–29 | 60.84 ± 15.96 | 63.29 ± 15.56 | 63.01 ± 20.92 | 65.61 ± 17.33 |
| 30–39 | 62.82 ± 15.53 | 65.11 ± 14.057 | 67.99 ± 18.80 | 65.88 ± 16.14 | |
| W | 26,834.00 | 27,393.50 | 26,793.50 | 28,3452.50 | |
| p value | 0.231 | 0.244 | 0.018 * | 0.877 | |
| WRMSDs | Yes | 61.67 ± 15.79 | 64.05 ± 14.96 | 65.08 ± 20.19 | 65.73 ± 16.82 |
| No | 61.19 ± 15.62 | 64.67 ± 16.23 | 65.68 ± 21.09 | 64.79 ± 16.73 | |
| W | 24,840.00 | 23,849.50 | 23,603.00 | 24,950.00 | |
| p value | 0.587 | 0.685 | 0.743 | 0.535 | |
| Physical Activity Dimensions (min/week) | Quality of Life Domains | |||||||
|---|---|---|---|---|---|---|---|---|
| Physical | Psychological Domain | Social | Environmental | |||||
| r | p | r | p | r | p | r | p | |
| MVPA | 0.011 | 0.813 | 0.009 | 0.833 | −0.104 | 0.019 * | −0.040 | 0.373 |
| Total PA | 0.005 | 0.903 | 0.22 | 0.628 | −0.104 | 0.020 * | −0.024 | 0.586 |
| Sedentary time | −0.128 | 0.004 ** | −0.091 | 0.041 * | 0.003 | 0.942 | 0.059 | 0.188 |
| Independent Variables | Physical Activity (Predictor) | β | SE | p | |
|---|---|---|---|---|---|
| Musculoskeletal disorders (WMSD) | Sitting time | −0.001 | 0.000 | 0.043 * | |
| Work—vigorous intensity | −0.000 | 0.000 | 0.058 | ||
| Work—moderate intensity | −0.000 | 0.000 | 0.193 | ||
| Leisure—vigorous intensity | −0.000 | 0.000 | 0.174 | ||
| Commute | −0.000 | 0.000 | 0.246 | ||
| MVPA | 0.000 | 0.000 | 0.164 | ||
| Quality of Life Domains (WHOQOL) | Physical | Sitting time | 1.316 | 0.003 | <0.001 ** |
| Work—vigorous intensity | 0.100 | 0.001 | 0.296 | ||
| Work—moderate intensity | 0.498 | 0.001 | <0.001 ** | ||
| Leisure—vigorous intensity | 0.285 | 0.001 | 0.002 * | ||
| Leisure—moderate intensity | 0.316 | 0.002 | <0.001 ** | ||
| Commute | 0.412 | 0.001 | <0.001 ** | ||
| Psychological | Sitting time | 1.433 | 0.003 | <0.001 ** | |
| Work—vigorous intensity | 0.156 | 0.001 | 0.117 | ||
| Work—moderate intensity | 0.520 | 0.001 | <0.001 ** | ||
| Leisure—vigorous intensity | 0.386 | 0.001 | <0.001 ** | ||
| Leisure—moderate intensity | 0.222 | 0.002 | 0.020 * | ||
| Commute | 0.445 | 0.001 | <0.001 ** | ||
| Social | Sitting time | 1.130 | 0.004 | <0.001 ** | |
| Work—vigorous intensity | 0.016 | 0.001 | 0.843 | ||
| Work—moderate intensity | 0.392 | 0.001 | <0.001 ** | ||
| Leisure—vigorous intensity | 0.227 | 0.001 | 0.004 ** | ||
| Leisure—moderate intensity | 0.191 | 0.002 | 0.015 * | ||
| Commute | 0.319 | 0.001 | <0.001 ** | ||
| Environmental | Sitting time | 1.378 | 0.003 | <0.001 ** | |
| Work—vigorous intensity | 0.157 | 0.001 | 0.084 | ||
| Work—moderate intensity | 0.400 | 0.001 | <0.001 ** | ||
| Leisure—vigorous intensity | 0.398 | 0.001 | <0.001 ** | ||
| Leisure—moderate intensity | 0.216 | 0.002 | 0.014 * | ||
| Commute | 0.326 | 0.001 | <0.001 ** | ||
Publisher’s Note: MDPI stays neutral with regard to jurisdictional claims in published maps and institutional affiliations. |
© 2022 by the authors. Licensee MDPI, Basel, Switzerland. This article is an open access article distributed under the terms and conditions of the Creative Commons Attribution (CC BY) license (https://creativecommons.org/licenses/by/4.0/).
Share and Cite
Alseminy, M.A.M.M.; Chandrasekaran, B.; Bairapareddy, K.C. Association of Physical Activity and Quality of Life with Work-Related Musculoskeletal Disorders in the UAE Young Adults. Healthcare 2022, 10, 625. https://doi.org/10.3390/healthcare10040625
Alseminy MAMM, Chandrasekaran B, Bairapareddy KC. Association of Physical Activity and Quality of Life with Work-Related Musculoskeletal Disorders in the UAE Young Adults. Healthcare. 2022; 10(4):625. https://doi.org/10.3390/healthcare10040625
Chicago/Turabian StyleAlseminy, Mennatallah Adel Mohamed Mohmoud, Baskaran Chandrasekaran, and Kalyana Chakravarthy Bairapareddy. 2022. "Association of Physical Activity and Quality of Life with Work-Related Musculoskeletal Disorders in the UAE Young Adults" Healthcare 10, no. 4: 625. https://doi.org/10.3390/healthcare10040625
APA StyleAlseminy, M. A. M. M., Chandrasekaran, B., & Bairapareddy, K. C. (2022). Association of Physical Activity and Quality of Life with Work-Related Musculoskeletal Disorders in the UAE Young Adults. Healthcare, 10(4), 625. https://doi.org/10.3390/healthcare10040625

