Metabolic Phenotypes—The Game Changer in Quality of Life of Obese Patients?
Abstract
:1. Introduction
2. Materials and Methods
2.1. Study Design and Participants
2.2. Definition and Measurements
2.2.1. Clinical and Anthropometric Measurements
2.2.2. Biochemical Measurements
2.2.3. Obesity Phenotypes
2.3. Health Related Quality of Life (QoL)
2.4. Covariates
2.5. Statistical Analysis
3. Results
3.1. Baseline Characteristics of the Study Population
3.2. SF-36 Scales and Scores in Obesity Phenotypes
3.3. Comparison between BMI and Fat Mass in Terms of QoL in Obesity Phenotypes
4. Discussion
5. Conclusions
Supplementary Materials
Author Contributions
Funding
Institutional Review Board Statement
Informed Consent Statement
Data Availability Statement
Conflicts of Interest
References
- Guyatt, G.H.; Feeny, D.H.; Patrick, D.L. Measuring health-related quality of life. Ann. Intern. Med. 1993, 118, 622–629. [Google Scholar] [CrossRef] [PubMed]
- Milder, I.E.J.; de Hollander, E.L.; Picavet, H.S.; Verschuren, W.M.; de Groot, L.C.; Bemelmans, W.J. Changes in weight and health-related quality of life. The Doetinchem cohort study. J. Epidemiol. Community Health 2014, 68, 471–477. [Google Scholar] [CrossRef] [PubMed]
- Gordon-Larsen, P.; Heymsfield, S.B. Obesity as a disease, not a behavior. Circulation 2018, 137, 1543–1545. [Google Scholar] [CrossRef] [PubMed]
- Ul-Haq, Z.; Mackay, D.F.; Fenwick, E.; Pell, J.P. Meta-analysis of the association between body mass index and health-related quality of life among adults, assessed by the SF-36. Obesity 2013, 21, E322–E327. [Google Scholar] [CrossRef]
- Ul-Haq, Z.; Mackay, D.F.; Fenwick, E.; Pell, J.P. Impact of metabolic comorbidity on the association between body mass index and health-related quality of life: A Scotland-wide cross-sectional study of 5608 participants. BMC Public Health 2012, 12, 143. [Google Scholar] [CrossRef] [Green Version]
- Eckel, N.; Li, Y.; Kuxhaus, O.; Stefan, N.; Hu, F.B.; Schulze, M.B. Transition from metabolic healthy to unhealthy phenotypes and association with cardiovascular disease risk across BMI categories in 90 257 women (the Nurses’ Health Study): 30 year follow-up from a prospective cohort study. Lancet Diabetes Endocrinol. 2018, 6, 714–724. [Google Scholar] [CrossRef]
- Eckel, N.; Meidtner, K.; Kalle-Uhlmann, T.; Stefan, N.; Schulze, M.B. Metabolically healthy obesity and cardiovascular events: A systematic review and meta-analysis. Eur. J. Prev. Cardiol. 2016, 23, 956–966. [Google Scholar] [CrossRef]
- Elías-López, D.; for the Metabolic Syndrome Study Group; Vargas-Vázquez, A.; Mehta, R.; Bautista, I.C.; Olvera, F.D.R.; Gómez-Velasco, D.; Valdes, P.A.; Aguilar-Salinas, C.A. Natural course of metabolically healthy phenotype and risk of developing Cardiometabolic diseases: A three years follow-up study. BMC Endocr. Disord. 2021, 21, 85. [Google Scholar] [CrossRef]
- Zhou, Z.; Macpherson, J.; Gray, S.R.; Gill, J.M.R.; Welsh, P.; Celis-Morales, C.; Sattar, N.; Pell, J.P.; Ho, F.K. Are people with metabolically healthy obesity really healthy? a prospective cohort study of 381,363 UK Biobank participants. Diabetologia 2021, 64, 1963–1972. [Google Scholar] [CrossRef]
- Apple, R.; Samuels, L.R.; Fonnesbeck, C.; Schlundt, D.; Mulvaney, S.; Hargreaves, M.; Crenshaw, D.; Wallston, K.A.; Heerman, W.J. Body mass index and health-related quality of life. Obes. Sci. Pract. 2018, 4, 417–426. [Google Scholar] [CrossRef]
- Zawisza, K.; Tobiasz-Adamczyk, B.; Galas, A.; Jabłońska, K.; Grodzicki, T. Changes in Body Mass Index and Quality of Life—Population-Based Follow-up Study COURAGE and COURAGE-POLFUS, Poland. Appl. Res. Qual. Life 2021, 16, 501–526. [Google Scholar] [CrossRef] [Green Version]
- Harrison, G.G.; Buskirk, E.R.; Carter, J.E.; Johnston, F.E.; Lohman, T.G.; Pollock, M.L.; Roche, A.F.; Wilmore, J. Skinfold thicknesses and measurement technique. In Anthropometric Standardization Reference Manual; Lohman, T.G., Roche, A.F., Martorell, R., Eds.; Human Kinetics: Champaign, IL, USA, 1988; pp. 55–70. [Google Scholar]
- Callaway, C.W.; Chumlea, W.C.; Bouchard, C.; Himes, J.H.; Lohman, T.G.; Martin, A.D.; Mitchell, C.D.; Mueller, W.H.; Roche, A.F.; Seefeldt, V.D. Circumferences. In Anthropometric Standardization Reference Manual; Lohman, T.G., Roche, A.F., Martorell, R., Eds.; Human Kinetics: Champaign, IL, USA, 1988; pp. 39–54. [Google Scholar]
- Osadnik, K.; Osadnik, T.; Lonnie, M.; Lejawa, M.; Reguła, R.; Fronczek, M.; Gawlita, M.; Wądołowska, L.; Gąsior, M.; Pawlas, N. Metabolically healthy obese and metabolic syndrome of the lean: The importance of diet quality. Analysis of MAGNETIC cohort. Nutr. J. 2020, 19, 19. [Google Scholar] [CrossRef] [PubMed]
- Schulze, M.B. Metabolic health in normal-weight and obese individuals. Diabetologia 2019, 62, 558–566. [Google Scholar] [CrossRef] [PubMed] [Green Version]
- Cho, Y.K.; Kang, Y.M.; Yoo, J.H.; Lee, J.; Park, J.-Y.; Lee, W.J.; Kim, Y.-J.; Jung, C.H. Implications of the dynamic nature of metabolic health status and obesity on risk of incident cardiovascular events and mortality: A nationwide population-based cohort study. Metabolism 2019, 97, 50–56. [Google Scholar] [CrossRef]
- Grundy, S.M.; Cleeman, J.I.; Daniels, S.R.; Donato, K.A.; Eckel, R.H.; Franklin, B.A.; Gordon, D.J.; Krauss, R.M.; Savage, P.J.; Smith, S.C., Jr.; et al. Diagnosis and management of the metabolic syndrome: An American Heart Association/National Heart, Lung, and Blood Institute scientific statement. Circulation 2005, 112, 2735–2752. [Google Scholar] [CrossRef] [Green Version]
- Mihaila, V.; Enachescu, D.; Badulescu, M. General Population Norms for Romanian using the Short Form 36 Health Survey (SF-36). Qual. Life Newsl. 2001, 26, 17–18. [Google Scholar]
- Ware, J.E.; Kosinski, M.; Keller, S. SF-36 physical and mental summary scales a user’s manual. In The Health Institute; New England Medical Center: Boston, MA, USA, 1994. [Google Scholar]
- Enkinson, C. Comparison of UK and US methods for weighting and scoring the SF-36 summary measures. J. Public Health Med. 1999, 21, 372–376. [Google Scholar] [CrossRef] [Green Version]
- Taft, C.; Karlsson, J.; Sullivan, M. Do SF-36 summary component scores accurately summarize subscale scores? Qual. Life Res. 2001, 10, 395–404. [Google Scholar] [CrossRef]
- Ware, J.E., Jr.; Snow, K.K.; Kosinski, M.; Gandek, B. SF-36 Health Survey: Manual and interpretation guide. In The Health Institute; New England Medical Center: Boston, MA, USA, 1993. [Google Scholar]
- Sullivan, M.; Karlsson, J.; Taft, C. The Swedish SF-36 PCS and MCS–Manual and Interpretation Guide; Sahlgrenska University Hospital: Goteborg, Sweden, 1997. [Google Scholar]
- US Department of Agriculture; US Department of Health and Human Services. Appendix 9. Alcohol. Available online: http://health.gov/dietaryguidelines/2015/guidelines/appendix-9 (accessed on 23 February 2022).
- Ainsworth, B.E.; Haskell, W.L.; Whitt, M.C.; Irwin, M.L.; Swartz, A.M.; Strath, S.J.; O’Brien, W.L.; Bassett, D.R., Jr.; Schmitz, K.H.; Emplaincourt, P.O.; et al. Compendium of physical activities: An update of activity codes and MET intensities. Med. Sci. Sports Exerc. 2000, 32, 498–504. [Google Scholar] [CrossRef] [Green Version]
- Guidelines for Data Processing and Analysis of the International Physical Activity Questionnaire (IPAQ)–Short and Long Forms–Revised November 2005, IPAQ Developers. Available online: https://sites.google.com/site/theipaq/home (accessed on 23 February 2022).
- George, D.; Mallery, P. SPSS for Windows Step by Step: A Simple Guide and Reference 17.0 Update, 10th ed.; Pearson: Boston, MA, USA, 2010. [Google Scholar]
- Green, S.B.; Salkind, N.J. Using SPSS for Windows and Macintosh: Analyzing and Understanding Data, 4th ed.; Pearson: Boston, MA, USA, 2005. [Google Scholar]
- Gómez-Ambrosi, J.; Silva, C.; Galofré, J.C.; Escalada, J.; Santos, S.; Millan, D.; Vila, N.; Ibanez, P.; Gil, M.J.; Valenti, V.; et al. Body mass index classification misses subjects with increased cardiometabolic risk factors related to elevated adiposity. Int. J. Obes. 2012, 36, 286–294. [Google Scholar] [CrossRef] [Green Version]
- De Lorenzo, A.; Soldati, L.; Sarlo, F.; Calvani, M.; Di Lorenzo, N.; Di Renzo, L. New obesity classification criteria as a tool for bariatric surgery indication. World J. Gastroenterol. 2016, 22, 681–703. [Google Scholar] [CrossRef]
- Smith, G.I.; Mittendorfer, B.; Klein, S. Metabolically healthy obesity: Facts and fantasies. J. Clin. Investig. 2019, 129, 3978–3989. [Google Scholar] [CrossRef] [PubMed] [Green Version]
- Ahmad, M.N.; Zawatia, A.A. Current prospects of metabolically healthy obesity. Obes. Med. 2021, 25, 100361. [Google Scholar] [CrossRef]
- Rey-López, J.P.; de Rezende, L.F.; Pastor-Valero, M.; Tess, B.H. The prevalence of metabolically healthy obesity: A systematic review and critical evaluation of the definitions used. Obes. Rev. 2014, 15, 781–790. [Google Scholar] [CrossRef] [PubMed]
- Phillips, C.M.; Dillon, C.; Harrington, J.M.; McCarthy, V.J.C.; Kearney, P.M.; Fitzgerald, A.P.; Perry, I.J. Defining Metabolically Healthy Obesity: Role of Dietary and Lifestyle Factors. PLoS ONE 2013, 8, e76188. [Google Scholar] [CrossRef] [PubMed] [Green Version]
- Meigs, J.B.; Wilson, P.W.F.; Fox, C.S.; Vasan, R.S.; Nathan, D.M.; Sullivan, L.; D’Agostino, R.B. Body Mass Index, Metabolic Syndrome, and Risk of Type 2 Diabetes or Cardiovascular Disease. J. Clin. Endocrinol. Metab. 2006, 91, 2906–2912. [Google Scholar] [CrossRef]
- Walters, S.J.; Campbell, M.J. The use of bootstrap methods for analysing health-related quality of life outcomes (particularly the SF-36). Health Qual. Life Outcomes 2004, 2, 70. [Google Scholar] [CrossRef] [Green Version]
- Rose, M.; Koshman, M.L.; Spreng, S.; Sheldon, R. Statistical Issues Encountered in the Comparison of Health-Related Quality of Life in Diseased Patients to Published General Population Norms: Problems and Solutions. J. Clin. Epidemiol. 1999, 52, 405–412. [Google Scholar] [CrossRef]
- Torrance, N.; Smith, B.H.; Lee, A.J.; Aucott, L.; Cardy, A.; Bennett, M.I. Analysing the SF-36 in population-based research. A comparison of methods of statistical approaches using chronic pain as an example. J. Eval Clin. Pract. 2009, 15, 328–334. [Google Scholar] [CrossRef]
- Lin, Y.-H.; Chang, H.-T.; Tseng, Y.-H.; Chen, H.-S.; Chiang, S.-C.; Chen, T.-J.; Hwang, S.-J. Do Metabolically Healthy People with Obesity Have a Lower Health-Related Quality of Life? A Prospective Cohort Study in Taiwan. J. Clin. Med. 2021, 10, 5117. [Google Scholar] [CrossRef]
- Ostrovskaya, E.V.; Romantsova, T.I.; Gerasimov, A.N.; Novoselova, T.E. Dynamics of quality of life indicators associated with weight loss in patients with metabolically healthy obesity. Russ. Open Med. J. 2019, 8, e0309. [Google Scholar] [CrossRef] [Green Version]
- Bentley, T.G.K.; Palta, M.; Paulsen, A.J.; Cherepanov, D.; Dunham, N.C.; Feeny, D.; Kaplan, R.M.; Fryback, D.G. Race and gender associations between obesity and nine health-related quality-of-life measures. Qual. Life Res. 2011, 20, 665–674. [Google Scholar] [CrossRef] [PubMed]
- Donini, L.M.; Merola, G.; Poggiogalle, E.; Lubrano, C.; Gnessi, L.; Mariani, S.; Migliaccio, S.; Lenzi, A. Disability, Physical Inactivity, and Impaired Health-Related Quality of Life Are Not Different in Metabolically Healthy vs. Unhealthy Obese Subjects. Nutrients 2016, 8, 759. [Google Scholar] [CrossRef] [PubMed] [Green Version]
- Lopez-Garcia, E.; Guallar-Castillón, P.; Garcia-Esquinas, E.; Rodríguez-Artalejo, F. Metabolically healthy obesity and health-related quality of life: A prospective cohort study. Clin. Nutr. 2017, 36, 853–860. [Google Scholar] [CrossRef]
- Price, R.; Asenjo, J.; Christou, N.; Backman, S.; Schweinhardt, P. The role of excess subcutaneous fat in pain and sensory sensitivity in obesity. Eur. J. Pain 2013, 17, 1316–1326. [Google Scholar] [CrossRef]
- Juge-Aubry, C.E.; Somm, E.; Giusti, V.; Pernin, A.; Chicheportiche, R.; Verdumo, C.; Rohner-Jeanrenaud, F.; Burger, D.; Dayer, J.-M.; Meier, C.A. Adipose Tissue Is a Major Source of Interleukin-1 Receptor Antagonist. Diabetes 2003, 52, 1104–1110. [Google Scholar] [CrossRef] [Green Version]
- Pluta, W.; Dudzińska, W.; Lubkowska, A. Metabolic Obesity in People with Normal Body Weight (MONW)—Review of Diagnostic Criteria. Int. J. Environ. Res. Public Health 2022, 19, 624. [Google Scholar] [CrossRef]

| Obese Patients | Non-Obese Patients | |||||
|---|---|---|---|---|---|---|
| MHO (n = 20) | MUO (n = 45) | p | MHNO (n = 16) | MUNO (n = 23) | p | |
| Gender | 0.047 | 0.627 | ||||
| Females | 85% (17) | 60% (27) * | 81.2% (13) | 87% (20) | ||
| Males | 15% (3) | 40% (18) * | 18.8% (3) | 13% (3) | ||
| Residence | 0.757 | 0.987 | ||||
| Urban | 65% (13) | 68.9% (31) | 56.3% (9) | 65.3% (13) | ||
| Rural | 35% (7) | 31.1% (14) | 43.8% (7) | 36.5% (10) | ||
| HCA | 0.083 | 0.960 | ||||
| Yes | 25% (5) | 8.9% (4) | 12.5% (2) | 13% (3) | ||
| No | 75% (15) | 91.1% (41) | 87.5% (14) | 87% (20) | ||
| Menopause (only women) | 0.523 | 0.751 | ||||
| Yes | 82.4% (14) | 74.1% (20) | 92.3% (12) | 95% (19) | ||
| No | 17.6% (3) | 25.9% (7) | 7.7% (1) | 5% (1) | ||
| Smoking status | 0.219 | 0.217 | ||||
| Current | 10% (2) | 17.8% (8) | 12.5% (2) | 4.3% (1) | ||
| Former | 20% (4) | 35.6% (16) * | 6.3% (1) * | 26.1% (6) | ||
| Never | 70% (14) | 46.7% (21) * | 81.3% (13) | 69.6% (16) | ||
| Chronic alcohol consumption | 0.022 | 0.492 | ||||
| Yes | 0% (0) * | 22.2% (10) * | 6.3% (1) | 13% (3) | ||
| No | 100% (20) * | 77.8% (35) * | 93.8% (15) | 87% (20) | ||
| FINDRISK score | 0.037 | 0.027 | ||||
| Very low | 0% (0) | 0% (0) | 18.8% (3) * | 4.3% (1) | ||
| Low | 40% (8) | 11.1% (5) * | 75% (12) * | 39.1% (9) | ||
| Moderate | 30% (6) | 31.1% (14) * | 0% (0) * | 13% (3) | ||
| High | 30% (6) | 51.1% (23) * | 6.3% (1) * | 39.1% (9) * | ||
| Very high | 0% (0) | 6.7% (3) | 0% (0) | 4.3% (1) | ||
| IPAQ score | 0.027 | 0.571 | ||||
| Low | 35% (7) | 31.1% (14) * | 50% (8) | 47.8% (11) * | ||
| Moderate | 20% (4) * | 51.1% (23) * | 43.8% (7) | 34.8% (8) | ||
| High | 45% (9) * | 17.8% (8) | 6.3% (1) | 17.4% (4) | ||
| Childhood obesity | 0.632 | 0.282 | ||||
| Yes | 15% (3) | 20% (9) | 37.5% (6) | 21.7% (5) | ||
| No | 85% (17) | 80% (36) | 62.5% (10) | 78.3% (18) | ||
| 1st degree relatives with obesity | 0.865 | 0.501 | ||||
| Yes | 60% (12) | 62.2% (28) | 50% (8) | 39.1% (9) | ||
| No | 40% (8) | 37.8% (17) | 50% (8) | 60.9% (14) | ||
| Obese Patients | Non-Obese Patients | |||||
|---|---|---|---|---|---|---|
| MHO | MUO | p/η2 | MHNO | MUNO | p/η2 | |
| Age | 56.65 ± 7.36 | 58.4 ± 8.58 | 0.432 | 61 ± 7.51 | 63.13 ± 7.48 | 0.388 |
| BMI | 34 ± 3.68 | 34.96 ± 4.89 | 0.437 | 26.11 ± 2.36 | 27.61 ± 1.98 | 0.039 η2 = 0.11 |
| AC | 108.22 ± 11.62 | 115.08 ± 11.98 | 0.036 η2 = 0.07 | 95.56 ± 6.49 | 101.65 ± 6.42 | 0.006 η2 = 0.18 |
| HC | 117.25 ± 7.33 | 120.02 ± 10.49 | 0.289 | 104.81 ± 6.24 | 106.83 ± 4.62 | 0.254 |
| Abdominal skinfold | 39.9 ± 7.12 | 37.69 ± 7.51 | 0.270 | 30.13 ± 7.71 | 34.39 ± 8.24 | 0.111 |
| Tricipital skinfold | 29.05 ± 6.56 | 27.91 ± 7.86 | 0.574 | 24.38 ± 7.80 | 25.52 ± 6.60 | 0.624 |
| Total Fat (kg) | 38.78 ± 7.23 | 40.02 ± 11.82 | 0.664 | 26.82 ± 7 | 29.83 ± 4.70 | 0.117 |
| Total Lean and BMC (kg) | 52.92 ± 10.96 | 59.03 ± 10.84 | 0.040 η2 = 0.06 | 44.19 ± 5.38 | 45.60 ± 8.10 | 0.548 |
| Fat mass (%) | 42.41 ± 4.21 | 40.21 ± 6.82 | 0.189 | 37.47 ± 7.70 | 39.73 ± 5.48 | 0.291 |
| Trunk fat mass (kg) | 19.21 ± 5.48 | 21.28 ± 7.52 | 0.272 | 12.44 ± 3.67 | 14.90 ± 2.86 | 0.024 η2 = 0.13 |
| Trunk fat mass (%) | 41.67 ± 4.86 | 41.23 ± 6.57 | 0.789 | 36.46 ± 7.95 | 39.96 ± 5.33 | 0.107 |
| SBP | 129.05 ± 18.81 | 143.73 ± 17.92 | 0.004 η2 = 0.12 | 135.12 ± 28.09 | 135.87 ± 16.47 | 0.918 |
| DBP | 80.95 ± 10.94 | 89.11 ± 10.12 | 0.005 η2 = 0.12 | 84.69 ± 15.33 | 84.96 ± 12.78 | 0.953 |
| Glucose | 94.45 ± 11.29 | 120.67 ± 34.92 | 0.002 η2 = 0.15 | 99.69 ± 19.33 | 121.09 ± 50.27 | 0.115 |
| TG | 97.65 ± 26.46 | 195.71 ± 95.81 | <0.001 η2 = 0.24 | 99.69 ± 30.42 | 163.13 ± 54.60 | <0.001 η2 = 0.32 |
| HDL-Chol | 56.9 ± 11.31 | 46.87 ± 13.34 | 0.005 η2 = 0.12 | 62.25 ± 12.94 | 53.52 ± 11.76 | 0.035 η2 = 0.11 |
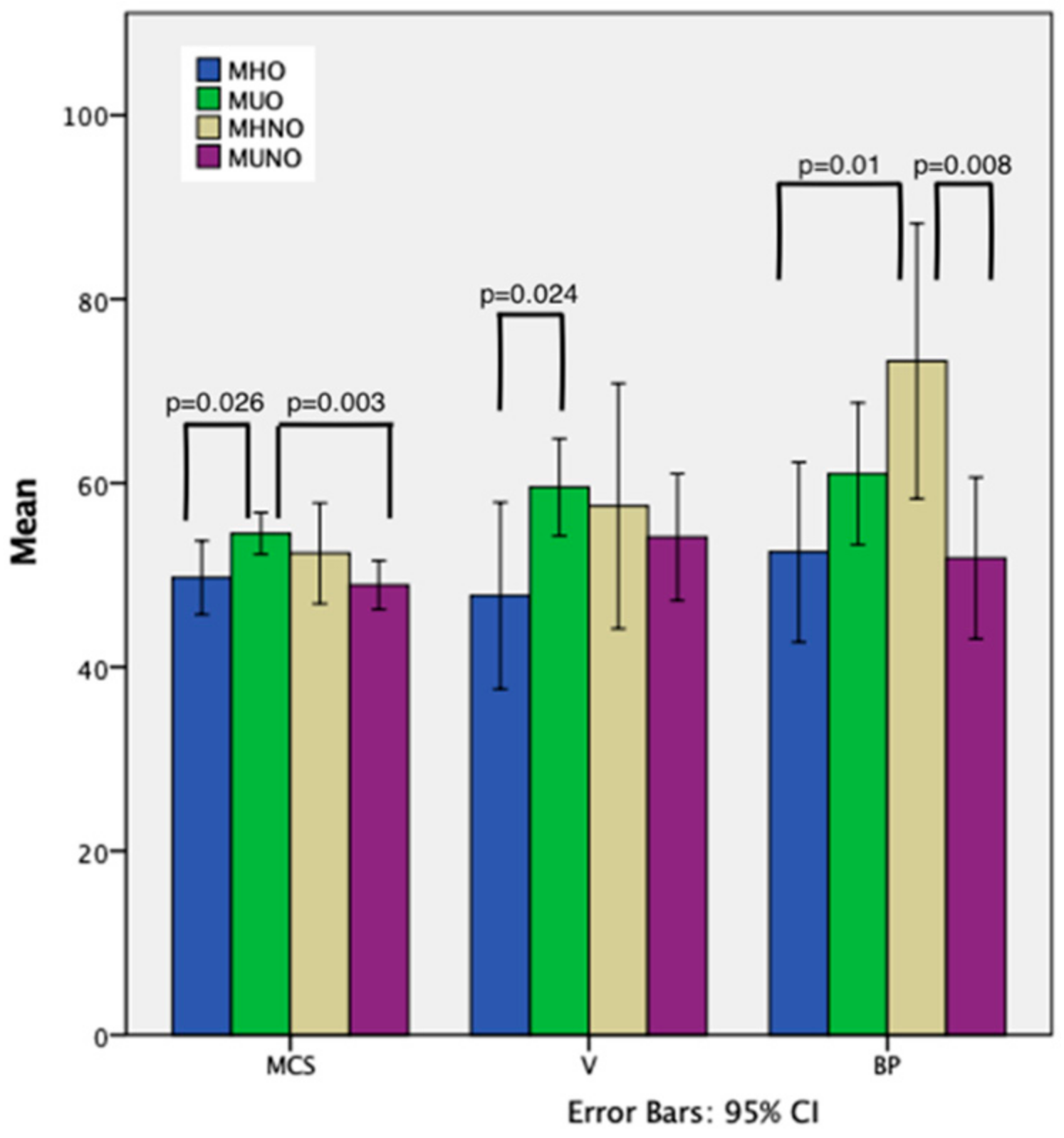
| Obese Patients | Non-Obese Patients | p for All Groups Comparison | |||||||||
|---|---|---|---|---|---|---|---|---|---|---|---|
| MHO | MUO | MHNO | MUNO | ||||||||
| Mean (95% CI) | SD | Mean (95% CI) | SD | p | Mean (95% CI) | SD | Mean (95% CI) | SD | p | ||
| PF | 58.25 (45.79–70.71) | 26.62 | 55.78 (48.32–63.24) | 24.84 | 0.648 a | 63.75 (49.27–78.23) | 27.17 | 59.57 (46.33–72.8) | 30.6 | 0.606 a | 0.715 a |
| RP | 41.25 (20.71–61.79) | 43.89 | 47.78 (36.14–59.42) | 38.74 | 0.417 a | 62.5 (40.21–84.79) | 41.83 | 52.17 (33.19–71.16) | 43.89 | 0.421 a | 0.452 a |
| BP | 52.5 (42.71–62.29) | 20.92 | 61 (53.3–68.7) | 25.62 | 0.272 a | 73.28 (58.32–88.24) | 28.07 | 51.85 (43.08–60.62) | 20.28 | 0.008a | 0.034 a |
| GH | 49.5 (40.08–58.92) | 20.12 | 52.67 (47.7–57.63) | 16.53 | 0.508 b | 59.69 (47.33–72.05) | 23.2 | 51.3 (42.24–60.37) | 20.95 | 0.247 b | 0.436 b |
| V | 47.75 (37.61–57.89) | 21.67 | 59.56 (54.27–64.85) | 17.6 | 0.024b | 57.5 (44.16–70.84) | 25.03 | 54.13 (47.24–61.02) | 15.93 | 0.610 b | 0.150 b |
| SF | 68.13 (57.65–78.6) | 22.39 | 78.06 (72.8–83.32) | 17.5 | 0.078 a | 82.81 (71.97–93.66) | 20.35 | 71.2 (62.5–79.89) | 20.10 | 0.078 a | 0.098 a |
| RE | 48.33 (26–70.67) | 47.73 | 61.48 (49.41–73.55) | 40.17 | 0.272 a | 68.75 (43.24–94.26) | 47.87 | 47.82 (28.96–66.68) | 43.61 | 0.162 a | 0.320 a |
| MH | 64.8 (54.52–75.08) | 21.97 | 70.4 (65.71–75.09) | 15.60 | 0.388 a | 63.75 (48.85–78.65) | 27.96 | 59.13 (52.08–66.18) | 16.13 | 0.366 a | 0.100 a |
| PCS | 43.16 (39.32–47) | 8.20 | 43.44 (41.14–45.75) | 7.68 | 0.893 b | 48.42 (43.65–53.19) | 8.95 | 45.14 (41.05–49.22) | 9.44 | 0.283 b | 0.191 b |
| MCS | 49.71 (45.7–53.72) | 8.57 | 54.51 (52.25–56.77) | 7.52 | 0.026b | 52.37 (46.89–57.85) | 10.28 | 48.93 (46.27–51.58) | 6.13 | 0.198 b | 0.026b |
| BMI | Total Fat (kg) | Fat% | Trunk Fat (kg) | Trunk% | Abdominal Skinfold | Tricipital Skinfold | ||
|---|---|---|---|---|---|---|---|---|
| PF | r p | NS | 4 −0.462 0.027 | 1 0.438 0.05 | NS | NS | NS | 2 −0.298 0.047 |
| RP | r p | NS | NS | NS | NS | 4 −0.450 0.031 | NS | NS |
| BP | r p | NS | NS | 1 0.476 0.034 | NS | NS | NS | NS |
| GH | r p | NS | NS | NS | NS | NS | NS | NS |
| V | r p | NS | NS | NS | NS | NS | NS | NS |
| SF | r p | NS | 3 0.494 0.05 | 3 0.508 0.044 | 3 0.547 0.028 | 3 0.591 0.016 | NS | NS |
| RE | r p | NS | 4 −0.420 0.046 | 4 −0.462 0.026 | NS | 4 −0.438 0.037 | NS | NS |
| MH | r p | NS | NS | 1 0.479 0.033 | NS | NS | NS | 1 0.438 0.05 |
| PCS | r p | 2 −0.308 0.04 | 2 −0.288 0.05 | NS | 2 −0.327 0.028 | NS | NS | 2 −0.307 0.04 |
| MCS | r p | NS | NS | 1 0.474 0.035 | NS | NS | 1 0.477 0.034 | 1 0.434 0.05 |
Publisher’s Note: MDPI stays neutral with regard to jurisdictional claims in published maps and institutional affiliations. |
© 2022 by the authors. Licensee MDPI, Basel, Switzerland. This article is an open access article distributed under the terms and conditions of the Creative Commons Attribution (CC BY) license (https://creativecommons.org/licenses/by/4.0/).
Share and Cite
Mitu, I.; Preda, C.; Dimitriu, C.D.; Mitu, O.; Costache, I.I.; Ciocoiu, M. Metabolic Phenotypes—The Game Changer in Quality of Life of Obese Patients? Healthcare 2022, 10, 617. https://doi.org/10.3390/healthcare10040617
Mitu I, Preda C, Dimitriu CD, Mitu O, Costache II, Ciocoiu M. Metabolic Phenotypes—The Game Changer in Quality of Life of Obese Patients? Healthcare. 2022; 10(4):617. https://doi.org/10.3390/healthcare10040617
Chicago/Turabian StyleMitu, Ivona, Cristina Preda, Cristina Daniela Dimitriu, Ovidiu Mitu, Irina Iuliana Costache, and Manuela Ciocoiu. 2022. "Metabolic Phenotypes—The Game Changer in Quality of Life of Obese Patients?" Healthcare 10, no. 4: 617. https://doi.org/10.3390/healthcare10040617
APA StyleMitu, I., Preda, C., Dimitriu, C. D., Mitu, O., Costache, I. I., & Ciocoiu, M. (2022). Metabolic Phenotypes—The Game Changer in Quality of Life of Obese Patients? Healthcare, 10(4), 617. https://doi.org/10.3390/healthcare10040617

