Abstract
The quality of life, morbidity and mortality of people receiving renal replacement therapy is affected both by the renal disease itself and its treatment. The therapy that best improves renal function and quality of life is transplantation. Objectives: To study the quality of life, morbidity and mortality of people receiving renal replacement therapy over a five-year period. Design: A longitudinal multicentre study of a cohort of people with chronic kidney disease. Methods: Patients from the Girona health area receiving peritoneal dialysis were studied, gathering data on sociodemographic and clinical variables through an ad hoc questionnaire, quality of life using the SF-36 questionnaire, and social support with the MOS scale. Results: Mortality was 47.2%. Physical functioning was the variable that worsened most in comparison with the first measurement (p = 0.035). Those receiving peritoneal dialysis (p = 0.068) and transplant recipients (p = 0.083) had a better general health perception. The social functioning of transplant recipients improved (p = 0.008). Conclusions: People with chronic kidney disease had a high level of mortality. The dimension of physical functioning worsens over the years. Haemodialysis is the therapy that most negatively effects general health perception. Kidney transplantation has a positive effect on the dimensions of energy/vitality, social functioning and general health perception.
1. Introduction
The progressive ageing of the population and the resulting increase in life expectancy evince the paradigm shift of the welfare state promoted by advances in healthcare and current lifestyles. However, this longevity, associated with successes in public health policies and the socioeconomic development of states, is also associated with the proliferation of chronic diseases [1,2]. Among these diseases, end-stage renal disease and its associated risk factors are increasing worldwide [3], leading to an increased need for dialysis and kidney transplantation. Diverse factors are involved in the prevention of and approach to chronic kidney disease that depend on, among others, healthcare policies, human and economic resources, and cultural considerations [4].
During the current pandemic, health services have focused their care activity on controlling the infectious disease and the follow-up and prevention of chronic disease. Additionally, mobility has been regulated and contacts between different levels of care have been restricted in order to optimise resources and limit the spread of the virus [5,6].
Peritoneal dialysis is an ambulatory treatment that is more compatible with a wide range of daily life activities than haemodialysis. Its use has made it possible to be less dependent on healthcare systems during periods of confinement in the recent health crisis, contributing to a reduction in the transmissibility of the virus through hospital contact [7,8].
Although most studies are performed in people receiving haemodialysis, there are an increasing number of studies of peritoneal dialysis. Hiramatsu et al. [9] reported that patients who used this technique perceive greater benefits in the quality of life. The treatment has been found to have a particularly beneficial impact in terms of the dimensions that refer to problems and symptoms provoked by the health condition, the perception of burden, and the ability to continue working [10,11,12]. It should also be noted that it preserves residual renal function, permits a less restrictive diet, and conserves vascular access with regard to haemodialysis [13,14,15]. Furthermore, the cost to the health service of people using peritoneal dialysis is significantly lower than haemodialysis, showing that making an investment in and achieving good results with the initial treatment is beneficial for national health services [16,17]. Different authors coincide in affirming that the success of this dialysis is largely determined by the adherence to the treatment in terms of diet, medicines and therapies [18,19].
Despite the important role of dialysis as a therapy for chronic kidney disease, it has been demonstrated that kidney transplantation is the treatment that most improves renal function, is most efficient both in terms of survival and cost to the health service, and improves quality of life despite requiring a complex surgical intervention, pharmacological treatment and intensive medical follow-up [20,21].
In recent years, a variety of factors have been described as influencing the treatment of chronic diseases. Identifying the different elements is of interest to health professionals in order to be able to intervene in lifestyles and achieve efficacy in the treatment, especially in those areas that the patient is responsible for. Many studies agree that quality of life and social support, among other factors, interact with good adherence to treatment [22,23] and modulate the impact of chronic disease, which is related to an individual’s state of health. All of this contributes to the promotion of healthy behaviours and the control of chronic diseases, and have an influence in balancing adaptation, the prognosis, and the restoration of health [24,25]. However, it has been reported that with years of renal replacement therapy, those modulating factors that are the responsibility of the patient and which predispose to maintaining a good balance are weakened, leading to the failure of the technique [26,27]. Although the disease itself causes a significant increase in morbidity and mortality from the early stages, which affects a high percentage of people with this disease [28,29,30], several recent studies have reported improved survival rates for people with chronic kidney disease [31].
The hypotheses of the present study are:
- Chronic kidney disease and renal replacement therapy over the years have a strong negative influence on morbidity and mortality rates.
- People receiving kidney transplants have a better perception of health-related quality of life than people receiving renal replacement therapy through peritoneal dialysis or haemodialysis.
From these hypotheses, the following objectives were set:
- To study the rates of morbidity and mortality associated with a cohort of people receiving peritoneal dialysis after five years of evolution of the disease.
- To study the evolution in terms of quality of life in a cohort followed for five years receiving renal replacement therapy through peritoneal dialysis, haemodialysis and/or kidney transplantation.
2. Materials and Methods
A longitudinal multicentre study of a cohort of people with chronic kidney disease receiving renal replacement therapy over a five-year period.
2.1. Participants and Variables
The initial sample was formed between June and October 2015 by all people with chronic renal failure aged 18 and over who used peritoneal dialysis as a replacement kidney treatment at the only two centres in Girona Health Region that provide peritoneal dialysis: the Dr. Josep Trueta University Hospital of Girona and the Figueres Hospital of The Fundació Salut Empordà. The second sample included all people in the follow-up cohort between January and October 2020 undergoing renal replacement therapy through peritoneal dialysis, haemodialysis (when peritoneal dialysis was not feasible) or kidney transplantation. The variables studied are sociodemographic and related to quality of life.
2.2. Data Gathering Procedure
A specifically designed data collection logbook was used that grouped together sociodemographic and clinical data as well as data related to quality of life gathered through validated questionnaires. To obtain the data, participants were previously informed about the follow-up study and that participation was voluntary either during one of the programmed visits or by telephone. After agreeing to participate, the day and time for gathering the data was set, trying as best as possible to coincide with scheduled hospital visits but visiting patients’ homes when this was not possible. Clinical data was obtained from the medical history of the patients through the electronic platforms of the two centres.
The logbooks used to record information were number coded to identify the patients and maintain anonymity. Only the principal investigator knew the relationship between the number of the questionnaire and the person to whom it corresponded.
2.3. Instruments
In this study to evaluate quality of life and its evolution, the validated Spanish version (1.4) of the SF-36 questionnaire was used [32]. This instrument consists of the following dimensions that explore the areas of physical functioning (10 items), physical role limitations (four items), emotional role limitations (three items), social functioning (two items), mental health (five items), bodily pain (two items), energy/vitality (four items), and general health perceptions (five items). (Cronbach’s alpha: Physical functioning α = 0.9; Physical role α = 0.91; Bodily pain α = 0.86; General health α = 0.78; Vitality α = 0.8; Social functioning a = 0.74; Emotional role α = 0.91; Mental health α = 0.81) [33]. The use of validated instruments is one of the tools used to avoid information biases while obtaining participant data.
2.4. Statistical Analysis
Quantitative variables are expressed with the mean and the standard deviation or the median and the interquartile range, and categorical variables are expressed with the absolute frequency and the percentage. The Chi-squared test and/or the Fisher test were used to study associations between categorical variables. Quantitative variables were compared using the Student’s t-test. Correlations between quality of life and social support dimensions were performed with Spearman’s rho test. We used Cox regression model analysis, crude and adjusted by age. The authors performed a verification of the assumptions of the Cox model, testing proportionality with Kaplan–Meier curves and Schoenfeld residuals to check the proportional hazards assumption. Significance was set at p < 0.05 with a confidence interval of 95%.
2.5. Ethical Issues
The study was approved by the ethical committee of the Dr. Josep Trueta University Hospital of Girona (Acceptance code: IRC-Dialysis data: 27 April 2015) and the Research Committee of the Figueres Hospital of the Fundació Salut Empordà before beginning the study. The research was conducted with full respect for the personal protection legislation set out in Spanish organic law 3/2018 and the Declaration of Helsinki of the World Medical Association concerning ethical principles for medical investigations in human beings.
3. Results
3.1. Clinical Characteristics and Mortality of the Participants
A cohort of 55 patients receiving renal replacement therapy through peritoneal dialysis, haemodialysis, and/or transplantation over a five-year period was studied longitudinally. Mortality was 47.2% (n = 26) (Figure 1).
Figure 1.
Evolution of patients and treatment used.
In 30.7% of cases the cause of death was due to problems related to the peritoneal catheter, including intestinal perforations and/or peritonitis resulting in septic shock (n = 8); 19.4% (n: 5) had a cardiac origin; 15.4% (n = 4) of deaths were due to multi-organ complications after kidney transplantation; 11.5% (n = 3) were due to neoplasms of pulmonary, cerebral and pancreatic origins; 11.5% (n = 3) were as a result of sudden death at home without a specific identified cause; 7.6% (n = 2) were due to patients stopping treatment following a significant deterioration in their functional and cognitive health until death; and 3.9% (n = 1) were due to strokes. After five years of follow-up, 72.4% (n = 21) of the surviving participants at the time of data collection were transplant recipients.
Table 1 shows the comparison of sociodemographic characteristics and morbidity between survivors and deceased patients. It is noteworthy that the average age of the group of deceased patients was almost 10 years older (p = 0.005). Women survived more than men (p = 0.044). With regard to the associated chronic diseases, the proportion of people with diabetes was significantly higher in the group of patients who died (p = 0.001), followed by heart disease (p = 0.071).
Table 1.
Comparison of the sociodemographic and clinical characteristics between survivors and deceased patients after five years of follow-up.
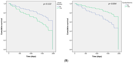
In the Cox regression crude analysis in relation to mortality, diabetic patients had lower odds of survival (hazard ratio 3.40, 95% confidence interval 1.52–7.61, p < 0.003). However, in the Cox model adjusted by age only a tendency to statistical significance was observed (hazard ratio 0.46, confidence interval 0.197–1.119, p = 0.088). No significant differences were found for survival for patients with hypertension (hazard ratio 0.96, 95% confidence interval 0.27–3.03, p = 0.872), nor in the adjusted model (hazard ratio 0.48, 95% confidence interval 0.13–1.72, p = 0.486), with heart disease (hazard ratio 1.88, 95% confidence interval 0.83–4.29, p = 0.128) nor in the adjusted model (hazard ratio 1.92, 95% confidence interval 0.84–4.40, p = 0.122). Finally, no significant difference was found for survival for patients with hypercholesterolaemia (hazard ratio 1.58, 95% confidence interval 0.69–3.59, p = 0.270). However, a tendency to statistical significance was observed in the adjusted model by age (hazard ratio 0.43, 95% confidence interval 0.18–1.01, p = 0.053) (Figure 2A,B).

Figure 2.
Cumulative survival of participants based on the presence of hypertension, diabetes, heart disease, or hyperlipidemia.
3.2. Quality of Life of the Study Survivors
With regard to the dimension of quality of life of people who survived, physical functioning was the only variable that worsened in comparison with the baseline measurement (p = 0.035). In the case of the dimensions of vitality (p = 0.047) and social functioning (p = 0.017), more favourable scores were obtained in comparison with baseline values (Table 2).
Table 2.
Comparison of SF-36 scores at baseline and follow-up in the group of survivors.
When comparing the dimensions of SF-36 by the type of treatment (Table 3), it was observed in the follow-up that transplant recipients performed worse in the physical functioning dimension (p = 0.063). In terms of overall health, participants who continued to receive peritoneal dialysis (p = 0.068) and transplant recipients (p = 0.083) perceived better health with a tendency to significance than those who received haemodialysis. In terms of vitality, people who underwent a transplant performed better than those who received haemodialysis or continued with peritoneal dialysis (p = 0.007). It was also seen that with the months of follow-up, social functioning improved significantly in people who did not receive any type of dialysis (p = 0.008) (Table 3).
Table 3.
Comparison of quality of life at baseline and follow-up by the type of renal replacement therapy received.
4. Discussion
This study found that the quality of life and morbidity of people receiving renal replacement therapy is affected both by the renal disease itself and the dialysis received over the years. A five-year follow-up analysis has been undertaken of people receiving peritoneal dialysis in the Girona Health Region to find out their morbidity, mortality and quality of life, and to compare these outcomes with other renal therapies such as haemodialysis when peritoneal dialysis failed and kidney transplants when patients were waiting to be transplanted.
With regard to the survival of the 55 patients who began in the study, mortality was 47.2% (n: 26). This percentage of mortality is between 14% and 16% lower than figures reported in studies of patients receiving haemodialysis treatment [34,35]. In this respect, a meta-analysis of mortality by the type of dialysis showed a higher rate in the group receiving peritoneal dialysis than the haemodialysis group, and this tendency was clear both in diabetic patients and those who had been receiving dialysis for longer periods [36]. There are several main causes of mortality in the present study. Peritoneal catheter complications accounted for 30.7% (n: 8) of deaths. Of the few studies that evaluated this problem, most focus on specific cases [37,38,39,40]. The review by Li, Ng and Mcintyre revealed that different complications due to systemic peritoneal inflammation complications were factors that increased mortality [41]. Ye et al. found that patients with peritoneal inflammation caused by infections associated with the insertion and manipulation of the peritoneal catheter had a 90–95% greater risk of death [42]. Finally, Raticzak et al. described a single case of intestinal perforation as having particularly severe complications with worse prognosis in patients receiving this type of dialysis [43]. Mortality with a cardiac origin was 19.4% (n: 5) in our study, which was lower than the 61.1% found in the multicentre study by Feng et al. [44] and the 29% reported in the systematic revision by Rhee, Chou and Kalantar-Zadeh [45].
In the case of deaths after transplantation, there has been a reduction of 20% in cases both early and late post-transplant in recent years according to Ying et al. [46]. The complexity of the surgical intervention in these patients and the associated comorbidity [47] brings a high risk of death [46]. Furthermore, several authors have reported the risk of dying from a cardiovascular cause in the first few months after transplantation (0–3 months) as being between 30% and 40% higher than in the general population and between 20% and 30% higher from infections, and in later phases the risk of dying as a result of a tumour from 10 years after transplantation onwards is between 10% and 20% higher than in the general population [46,48,49]. Concerning higher mortality in diabetics, with a tendency to statistical significance in our study, several studies have described diabetes as a predictive factor of mortality in patients with renal insufficiency [50]. Of particular interest is the recent systematic review by Copur et al. in 2021, who also reported high percentages of mortality in diabetic patients with renal insufficiency, was the observation that serum glycated albumin predicts all-cause mortality risk in dialysis patients with diabetes mellitus [51]. In the case of heart disease, different studies conclude that it is not directly related to renal disease, as in the present study, but is rather a consequence of the evolution of the primary cause which, as well as having renal affectation, produces damage to the heart [52,53,54]. Concerning the presence of dyslipidaemia, the statin treatment of participants with this diagnosis is probably protective, acting as a cardiovascular protector; however, these results cannot be confirmed due to the small sample size.
With regard to the evolution of the quality of life among the survivors, to the best of our knowledge there are no other follow-up studies with an initial sample of peritoneal dialysis patients that we can compare our results to. In the present study, physical function is the only dimension that is found to be more affected as years go by. In the cohort of haemodialysis patients studied by Ishiwatari et al., only a drop in physical functioning was particularly noticeable after some years [55]. In the present study, the dimensions of vitality, social functioning and general health gave scores that were higher than they had been five years earlier. These results can be explained by the type of treatment that was initially given. As is seen in the systematic review by Budhram et al., those who received home-based renal replacement therapy obtained better scores in general health, vitality and social function dimensions [56].
The increase of the scores in some dimensions of quality of life at the end of the follow-up analysis, can in part be explained by the high percentage of transplant recipients. This phenomenon has also been described in other studies where quality of life increases after a transplant [57,58]. Despite the significant benefits of transplantation that are reported, De Pasquale et al. have pointed out that people submitted to kidney transplantation also have high levels of anxiety and depression, which have negative repercussions on the quality of life [59].
When comparing quality of life by the type of therapy received, the lower results in the physical functioning dimension of transplant recipients could be related to the previous years of dialysis [60,61] as well as the complications associated with the surgical intervention [62]. In this line, Rocha et al., 2020 also obtained lower scores in the general health and physical wellbeing variables [63]. Despite this, Zhang, Guo and Ming and other studies found higher scores in all quality of life dimensions in transplant recipients than those receiving any type of dialysis [20]. The group of patients receiving peritoneal dialysis and transplant recipients obtained better scores in our research in the general health dimension than patients receiving haemodialysis. This is in line with the findings of the systematic review and meta-analysis by Chuasuwan et al., who concluded that people receiving peritoneal dialysis had more favourable outcomes in the dimensions of symptoms, cognitive function, social interaction, and vitality in comparison with patients on haemodialysis [64]. Concerning the significant better scores obtained in vitality and social functioning of transplant patients in our study, it should be noted that several publications describe kidney transplantation as having significantly better effects than other treatments within the different quality of life variables [65,66].
Limitations
On the one hand, the size of the sample should be considered as a possible limitation despite including the follow-up of all people receiving renal replacement therapy through peritoneal dialysis in the Girona Health Region. It seems likely that a greater sample size would have allowed significance to be reached where results were inconclusive. On the other hand, the design is observational rather than experimental, and so it is difficult to establish causal relationships with this number of participants, despite following the patients for five years. However, despite this, and taking into consideration that cohort studies also allow causal relationships to be established, this research has identified the quality of life, morbidity and mortality of people receiving renal replacement therapy and compared the results with the type of treatment in order to better understand the complexity of people who live with chronic kidney disease.
Regarding the practical implications, the findings of this study show that nurses should place great emphasis on specific health education so that patients and family members can recognise the main signs and symptoms of infection. The planning of a process of health education and individualised training focused on the aspects mentioned could lead to better health outcomes.
5. Conclusions
This study has found that mortality was 47.2% after five years of follow-up of patients receiving peritoneal dialysis. With regard to quality of life, among the participants who have completed the follow-up, physical functioning deteriorated from the baseline measurement. On comparing SF-36 dimensions by the type of treatment, transplanted patients had worse results in the physical functioning dimension. With regard to the general health dimension, those who continued with peritoneal dialysis or had received transplants perceived better health than those receiving haemodialysis. It should also be highlighted that having received a transplant is seen to have a positive incidence on vitality, social functioning and health perception when comparison is made with the previous year.
Author Contributions
Conceptualization, M.S.-S. and R.S.-S.; data curation, M.S.-S., A.M.-P. and J.P.-M.; formal analysis, M.S.-S., R.S.-S. and F.A.; investigation, M.S.-S., R.S.-S., A.M.-P. and G.R.-G.; methodology, M.S.-S., R.S.-S. and C.B.-N.; project administration, R.S.-S.; resources, R.S.-S., C.B.-N. and J.P.-M.; software, M.S.-S., N.R.-M. and F.A.; supervision, M.S.-S. and R.S.-S.; validation, M.S.-S. and R.S.-S.; visualization, M.S.-S., R.S.-S., C.B.-N. and G.R.-G.; writing—original draft, M.S.-S. and R.S.-S.; writing—review and editing, M.S.-S., R.S.-S., C.B.-N., A.M.-P., N.R.-M., G.R.-G., F.A. and J.P.-M. All authors have read and agreed to the published version of the manuscript.
Funding
This research received no external funding.
Institutional Review Board Statement
This study was conducted in accordance with the Declaration of Helsinki and approved by the ethics committees of Dr. Josep Trueta University Hospital of Girona and Figueres Hospital of the Fundació Salut Empordà.
Informed Consent Statement
Informed consent was obtained from all subjects involved in the study.
Data Availability Statement
The data presented in this study is available on request from the corresponding author. The data is not being made publicly available due to privacy considerations.
Acknowledgments
The authors are grateful to all participants, health professionals, and management staff at the health centres that participated in this research. The authors would also like to thank Andrew Hughes for the revision of the English in the manuscript.
Conflicts of Interest
The authors declare no conflict of interest.
References
- Heiman, H.J.; Smith, L.L.; McKool, M.; Mitchell, D.N.; Roth-Bayer, C. Health Policy Training: A Review of the Literature. Int. J. Environ. Res. Public Health 2015, 23, 13. [Google Scholar] [CrossRef] [PubMed]
- Held, S.; Hallett, J.; Schure, M.; Knows-His-Gun-McCormick, A.; Allen, S.; Milne-Price, S.; Trottier, C.; Bull-Shows, B.; Other Medicine, L.; Inouye, J. Improving chronic illness self-management with the Apsáalooke Nation: Development of the Báa nnilah program. Soc. Sci. Med. 2019, 242, 112583. [Google Scholar] [CrossRef]
- Harris, D.C.H.; Davies, S.J.; Finkelstein, F.O.; Jha, V.; Donner, J.A.; Abraham, G.; Bello, A.K.; Caskey, F.J.; Garcia, G.G.; Harden, P.; et al. Working Groups of the International Society of Nephrology’s 2nd Global Kidney Health Summit. Increasing access to integrated ESKD care as part of universal health coverage. Kidney Int. 2019, 95, S1–S33. [Google Scholar] [CrossRef] [PubMed]
- Yang, C.W.; Harris, D.C.H.; Luyckx, V.A.; Nangaku, M.; Hou, F.F.; Garcia-Garcia, G.; Abu-Aisha, H.; Niang, A.; Sola, L.; Bunnag, S.; et al. Global case studies for chronic kidney disease/end-stage kidney disease care. Kidney Int. Suppl. 2020, 10, 24–48. [Google Scholar] [CrossRef] [PubMed]
- Esposito, S.; Principi, N.; Leung, C.C.; Migliori, G.B. Universal use of face masks for success against COVID-19: Evidence and implications for prevention policies. Eur. Respir. J. 2020, 18, 55. [Google Scholar] [CrossRef] [PubMed]
- Lin, Q.; Zhao, S.; Gao, D.; Lou, Y.; Yang, S.; Musa, S.S.; Wang, M.H.; Cai, Y.; Wang, W.; Yang, L.; et al. A conceptual model for the coronavirus disease 2019 (COVID-19) outbreak in Wuhan, China with individual reaction and governmental action. Int. J. Infect Dis. 2020, 93, 211–216. [Google Scholar] [CrossRef] [PubMed]
- Alfano, G.; Fontana, F.; Ferrari, A.; Guaraldi, G.; Mussini, C.; Magistroni, R.; Cappelli, G. Modena COVID-19 Working Group (MoCo19). Peritoneal dialysis in the time of coronavirus disease. Clin. Kidney J. 2020, 16, 265–268. [Google Scholar]
- Dąbrowska-Bender, M.; Dykowska, G.; Żuk, W.; Milewska, M.; Staniszewska, A. The impact on quality of life of dialysis patients with renal insufficiency. Patient Prefer. Adherence 2018, 12, 577–583. [Google Scholar] [CrossRef] [PubMed]
- Hiramatsu, T.; Okumura, S.; Asano, Y.; Mabuchi, M.; Iguchi, D.; Furuta, S. Quality of Life and Emotional Distress in Peritoneal Dialysis and Hemodialysis Patients. Ther. Apher. Dial. 2020, 24, 366–372. [Google Scholar] [CrossRef] [PubMed]
- Peipert, J.D.; Bentler, P.M.; Klicko, K.; Hays, R.D. Psychometric Properties of the Kidney Disease Quality of Life 36-Item Short-Form Survey (KDQOL-36) in the United States. Am. J. Kidney Dis. 2018, 71, 461–468. [Google Scholar] [CrossRef] [PubMed]
- Peipert, J.D.; Nair, D.; Klicko, K.; Schatell, D.R.; Hays, R.D. Kidney Disease Quality of Life 36-Item Short Form Survey (KDQOL-36) Normative Values for the United States Dialysis Population and New Single Summary Score. J. Am. Soc. Nephrol. 2019, 30, 654–663. [Google Scholar] [CrossRef] [PubMed]
- Zazzeroni, L.; Pasquinelli, G.; Nanni, E.; Cremonini, V.; Rubbi, I. Comparison of Quality of Life in Patients Undergoing Hemodialysis and Peritoneal Dialysis: A Systematic Review and Meta-Analysis. Kidney Blood Press Res. 2017, 42, 717–727. [Google Scholar] [CrossRef]
- Malik, J.; Lomonte, C.; Rotmans, J.; Chytilova, E.; Roca-Tey, R.; Kusztal, M.; Grus, T.; Gallieni, M. Hemodialysis vascular access affects heart function and outcomes: Tips for choosing the right access for the individual patient. J. Vasc. Access. 2021, 22, 32–41. [Google Scholar] [CrossRef]
- Banshodani, M.; Kawanishi, H.; Moriishi, M.; Shintaku, S.; Tsuchiya, S. Association between Dialysis Modality and Cardiovascular Diseases: A Comparison between Peritoneal Dialysis and Hemodialysis. Blood Purif. 2020, 49, 302–309. [Google Scholar] [CrossRef]
- Chang, Y.T.; Hwang, J.S.; Hung, S.Y.; Tsai, M.S.; Wu, J.L.; Sung, J.M.; Wang, J.D. Cost-effectiveness of hemodialysis and peritoneal dialysis: A national cohort study with 14 years follow-up and matched for comorbidities and propensity score. Sci. Rep. 2016, 27, 30266. [Google Scholar] [CrossRef] [PubMed]
- Howell, M.; Walker, R.C.; Howard, K. Cost Effectiveness of Dialysis Modalities: A Systematic Review of Economic Evaluations. Appl. Health Econ. Health Policy 2019, 17, 315–330. [Google Scholar] [CrossRef] [PubMed]
- Pike, E.; Hamidi, V.; Ringerike, T.; Wisloff, T.; Klemp, M. More Use of Peritoneal Dialysis Gives Significant Savings: A Systematic Review and Health Economic Decision Model. J. Clin. Med. Res. 2017, 9, 104–116. [Google Scholar] [CrossRef] [PubMed][Green Version]
- Lam, L.W.; Twinn, S.F.; Chan, S.W. Self-reported adherence to a therapeutic regimen among patients undergoing continuous ambulatory peritoneal dialysis. J. Adv. Nurs. 2010, 66, 763–773. [Google Scholar] [CrossRef]
- Yu, Z.L.; Lee, V.Y.; Kang, A.W.; Chan, S.; Foo, M.; Chan, C.M.; Griva, K. Rates of Intentional and Unintentional Nonadherence to Peritoneal Dialysis Regimes and Associated Factors. PLoS ONE 2016, 26, e0149784. [Google Scholar] [CrossRef] [PubMed]
- Zhang, L.; Guo, Y.; Ming, H. Effects of hemodialysis, peritoneal dialysis, and renal transplantation on the quality of life of patients with end-stage renal disease. Rev. Assoc. Med. Bras. 2020, 66, 1229–1234. [Google Scholar] [CrossRef] [PubMed]
- Gondran-Tellier, B.; Baboudjian, M.; Lechevallier, E.; Boissier, R. La transplantation rénale, pourquoi, pour qui et comment? [Renal transplantation, for whom, why and how?]. Prog. Urol. 2020, 30, 976–981. [Google Scholar] [CrossRef] [PubMed]
- Hermsen, S.; Moons, J.; Kerkhof, P.; Wiekens, C.; De Groot, M. Determinants for Sustained Use of an Activity Tracker: Observational Study. JMIR Mhealth Uhealth 2017, 30, e164. [Google Scholar] [CrossRef]
- Yang, X.; Ma, L.; Zhao, X.; Kankanhalli, A. Factors influencing user’s adherence to physical activity applications: A scoping literature review and future directions. Int. J. Med. Inform. 2020, 134, 104039. [Google Scholar] [CrossRef] [PubMed]
- Ibrahim, N.; Teo, S.S.; Che-Din, N.; Abdul-Gafor, A.H.; Ismail, R. The Role of Personality and Social Support in Health-Related Quality of Life in Chronic Kidney Disease Patients. PLoS ONE 2015, 10, e0129015. [Google Scholar] [CrossRef]
- García-Llana, H.; Remor, E.; Selgas, R. Adherence to treatment, emotional state and quality of life in patients with end-stage renal disease undergoing dialysis. Psicothema 2013, 25, 79–86. [Google Scholar] [PubMed]
- Wong, B.; Ravani, P.; Oliver, M.J.; Holroyd-Leduc, J.; Venturato, L.; Garg, A.X.; Quinn, R.R. Comparison of Patient Survival Between Hemodialysis and Peritoneal Dialysis Among Patients Eligible for Both Modalities. Am. J. Kidney Dis. 2018, 71, 344–351. [Google Scholar] [CrossRef] [PubMed]
- Sola, L.; Levin, N.W.; Johnson, D.W.; Pecoits-Filho, R.; Aljubori, H.M.; Chen, Y.; Claus, S.; Collins, A.; Cullis, B.; Feehally, J.; et al. Development of a framework for minimum and optimal safety and quality standards for hemodialysis and peritoneal dialysis. Kidney Int. Suppl. 2020, 10, 55–62. [Google Scholar] [CrossRef] [PubMed]
- Clarkson, M.J.; Bennett, P.N.; Fraser, S.F.; Warmington, S.A. Exercise interventions for improving objective physical function in patients with end-stage kidney disease on dialysis: A systematic review and meta-analysis. Am. J. Physiol. Renal Physiol. 2019, 316, 856–872. [Google Scholar] [CrossRef] [PubMed]
- Kristensen, S.L.; Rørth, R.; Jhund, P.S.; Docherty, K.F.; Sattar, N.; Preiss, D.; Køber, L.; Petrie, M.C.; McMurray, J.J.V. Cardiovascular, mortality, and kidney outcomes with GLP-1 receptor agonists in patients with type 2 diabetes: A systematic review and meta-analysis of cardiovascular outcome trials. Lancet Diabetes Endocrinol. 2019, 7, 776–785. [Google Scholar] [CrossRef]
- Parra-Bracamonte, G.M.; Parra-Bracamonte, F.E.; Lopez-Villalobos, N.; Lara-Rivera, A.L. Chronic kidney disease is a very significant comorbidity for high risk of death in patients with COVID-19 in Mexico. Nephrology 2021, 26, 248–251. [Google Scholar] [CrossRef] [PubMed]
- Murton, M.; Goff-Leggett, D.; Bobrowska, A.; Garcia Sanchez, J.J.; James, G.; Wittbrodt, E.; Nolan, S.; Sörstadius, E.; Pecoits-Filho, R.; Tuttle, K. Burden of Chronic Kidney Disease by KDIGO Categories of Glomerular Filtration Rate and Albuminuria: A Systematic Review. Adv. Ther. 2021, 38, 180–200. [Google Scholar] [CrossRef] [PubMed]
- Alonso, J. Cuestionario de Salud SF-36: Versión Española 1; IMIM: Barcelona, Italy, 1999. [Google Scholar]
- Vilagut, G.; Ferrer, M.; Rajmil, L.; Rebollo, P.; Permanyer-Miralda, G.; Quintana, J.M.; Santed, R.; Valderas, J.M.; Ribera, A.; Domingo-Salvany, A.; et al. El Cuestionario de Salud SF-36 español: Una década de experiencia y nuevos desarrollos [The Spanish version of the Short Form 36 Health Survey: A decade of experience and new developments]. Gac. Sanit. 2005, 19, 135–150. [Google Scholar] [CrossRef] [PubMed]
- Peters, S.A.; Bots, M.L.; Canaud, B.; Davenport, A.; Grooteman, M.P.; Kircelli, F.; Locatelli, F.; Maduell, F.; Morena, M.; Nubé, M.J.; et al. HDF Pooling Project Investigators. Haemodiafiltration and mortality in end-stage kidney disease patients: A pooled individual participant data analysis from four randomized controlled trials. Nephrol. Dial. Transplant. 2016, 31, 978–984. [Google Scholar] [CrossRef]
- De Arriba, G.; Avila, G.G.; Guinea, M.T.; Alia, I.M.; Herruzo, J.A.; Ruiz, B.R.; Roldán, C.G. La mortalidad de los pacientes en hemodiálisis está asociada con su situación clínica al comienzo del tratamiento. Nefrologia 2021, 41, 461–466. [Google Scholar] [CrossRef] [PubMed]
- Han, S.S.; Park, J.Y.; Kang, S.; Kim, K.H.; Ryu, D.R.; Kim, H.; Joo, K.W.; Lim, C.S.; Kim, Y.S.; Kim, D.K. Dialysis Modality and Mortality in the Elderly: A Meta-Analysis. Clin. J. Am. Soc. Nephrol. 2015, 10, 983–993. [Google Scholar] [CrossRef] [PubMed]
- Esagian, S.M.; Sideris, G.A.; Bishawi, M.; Ziogas, I.A.; Lehrich, R.W.; Middleton, J.P.; Suhocki, P.V.; Pappas, T.N.; Economopoulos, K.P. Surgical versus percutaneous catheter placement for peritoneal dialysis: An updated systematic review and meta-analysis. J. Nephrol. 2021, 34, 1681–1696. [Google Scholar] [CrossRef] [PubMed]
- Raksasuk, S.; Taweerautchana, W.; Srithongkul, T. Jejunal perforation during peritoneal dialysis catheter placement: A case report. Ann. Med. Surg. 2020, 57, 66–69. [Google Scholar] [CrossRef]
- Shao, Q.; Xia, Y.; Zhang, Q.; Zhang, M. Intestinal fistula accompanied by recurrent peritonitis associated with peritoneal dialysis: A case report. BMC Gastroenterol. 2020, 20, 157. [Google Scholar] [CrossRef]
- Paparoupa, M.; Wege, H.; Creutzfeldt, A.; Sebode, M.; Uzunoglu, F.G.; Boenisch, O.; Nierhaus, A.; Izbicki, J.R.; Kluge, S. Perforation of the ascending colon during implantation of an indwelling peritoneal catheter: A case report. BMC Gastroenterol. 2020, 20, 345. [Google Scholar] [CrossRef]
- Li, P.K.; Ng, J.K.; Mcintyre, C.W. Inflammation and Peritoneal Dialysis. Semin. Nephrol. 2017, 37, 54–65. [Google Scholar] [CrossRef]
- Ye, H.; Zhou, Q.; Fan, L.; Guo, Q.; Mao, H.; Huang, F.; Yu, X.; Yang, X. The impact of peritoneal dialysis-related peritonitis on mortality in peritoneal dialysis patients. BMC Nephrol. 2017, 18, 186. [Google Scholar] [CrossRef] [PubMed]
- Ratajczak, A.; Lange-Ratajczak, M.; Bobkiewicz, A.; Studniarek, A. Surgical Management of Complications with Peritoneal Dialysis. Semin. Dial. 2017, 30, 63–68. [Google Scholar] [CrossRef] [PubMed]
- Feng, X.; Wen, Y.; Peng, F.F.; Wang, N.; Zhan, X.; Wu, X. Association between aminotransferase/alanine aminotransferase ratio and cardiovascular disease mortality in patients on peritoneal dialysis: A multi-center retrospective study. BMC Nephrol. 2020, 21, 209. [Google Scholar] [CrossRef] [PubMed]
- Rhee, C.M.; Chou, J.A.; Kalantar-Zadeh, K. Dialysis Prescription and Sudden Death. Semin Nephrol. 2018, 38, 570–581. [Google Scholar] [CrossRef]
- Ying, T.; Shi, B.; Kelly, P.J.; Pilmore, H.; Clayton, P.A.; Chadban, S.J. Death after Kidney Transplantation: An Analysis by Era and Time Post-Transplant. J. Am. Soc. Nephrol. 2020, 31, 2887–2899. [Google Scholar] [CrossRef]
- Chowdhury, R.; Peel, N.M.; Krosch, M.; Hubbard, R.E. Frailty and chronic kidney disease: A systematic review. Arch. Gerontol. Geriatr. 2017, 68, 135–142. [Google Scholar] [CrossRef] [PubMed]
- López, V.; Hernández-Marrero, D.; González-Molina, M. Nefrología al Día. Resultados Globales del Trasplante Renal. Available online: https://www.nefrologiaaldia.org/58 (accessed on 24 August 2022).
- Pilmore, H.; Dent, H.; Chang, S.; McDonald, S.P.; Chadban, S.J. Reduction in cardiovascular death after kidney transplantation. Transplantation 2010, 89, 851–857. [Google Scholar] [CrossRef]
- Klinger, M.; Madziarska, K. Mortality predictor pattern in hemodialysis and peritoneal dialysis in diabetic patients. Adv. Clin. Exp. Med. 2019, 28, 133–135. [Google Scholar] [CrossRef] [PubMed]
- Copur, S.; Siriopol, D.; Afsar, B.; Comert, M.C.; Uzunkopru, G.; Sag, A.A.; Ortiz, A.; Covic, A.; Van-Raalte, D.H.; Cherney, D.Z.; et al. Serum glycated albumin predicts all-cause mortality in dialysis patients with diabetes mellitus: Meta-analysis and systematic review of a predictive biomarker. Acta Diabetol. 2021, 58, 81–91. [Google Scholar] [CrossRef]
- Lo, C.; Toyama, T.; Wang, Y.; Lin, J.; Hirakawa, Y.; Jun, M.; Cass, A.; Hawley, C.M.; Pilmore, H.; Badve, S.V.; et al. Insulin and glucose-lowering agents for treating people with diabetes and chronic kidney disease. Cochrane Database Syst. Rev. 2018, 24, 9. [Google Scholar] [CrossRef]
- McCoy, I.; Brar, S.; Liu, K.D.; Go, A.S.; Hsu, R.K.; Chinchilli, V.M.; Coca, S.G.; Garg, A.X.; Himmelfarb, J.; Ikizler, T.A.; et al. Assessment, Serial Evaluation, and Subsequent Sequelae in Acute Kidney Injury (ASSESS-AKI) study investigators. Achieved blood pressure post-acute kidney injury and risk of adverse outcomes after AKI: A prospective parallel cohort study. BMC Nephrol. 2021, 22, 270. [Google Scholar] [CrossRef] [PubMed]
- Sheng, X.; Qiu, C.; Liu, H.; Gluck, C.; Hsu, J.Y.; He, J.; Hsu, C.Y.; Sha, D.; Weir, M.R.; Isakova, T.; et al. Systematic integrated analysis of genetic and epigenetic variation in diabetic kidney disease. Proc. Natl. Acad. Sci. USA 2020, 117, 29013–29024. [Google Scholar] [CrossRef] [PubMed]
- Ishiwatari, A.; Yamamoto, S.; Fukuma, S.; Hasegawa, T.; Wakai, S.; Nangaku, M. Changes in Quality of Life in Older Hemodialysis Patients: A Cohort Study on Dialysis Outcomes and Practice Patterns. Am. J. Nephrol. 2020, 51, 650–658. [Google Scholar] [CrossRef] [PubMed]
- Budhram, B.; Sinclair, A.; Komenda, P.; Severn, M.; Sood, M.M. A Comparison of Patient-Reported Outcome Measures of Quality of Life by Dialysis Modality in the Treatment of Kidney Failure: A Systematic Review. Can. J. Kidney Health Dis. 2020, 19, 7. [Google Scholar] [CrossRef]
- Martini, A.; Ammirati, A.; Garcia, C.; Andrade, C.; Portela, O.; Cendoroglo, M.S.; Sesso, R. Evaluation of quality of life, physical, and mental aspects in longevous patients with chronic kidney disease. Int. Urol. Nephrol. 2018, 50, 725–731. [Google Scholar] [CrossRef]
- Milovanov, Y.; Dobrosmyslov, A.; Milovanova, S.; Taranova, V.; Milovanova, L.Y.; Fomin, V.; Kozlov, V. Quality of life of chronic kidney disease patients on renal replacement therapy. Ter. Arkh. 2018, 90, 89–91. [Google Scholar] [CrossRef]
- De-Pasquale, C.; Pistorio, M.L.; Veroux, M.; Indelicato, L.; Biffa, G.; Bennardi, N.; Zoncheddu, P.; Martinelli, V.; Giaquinta, A.; Veroux, P. Psychological and Psychopathological Aspects of Kidney Transplantation: A Systematic Review. Front. Psychiatry 2020, 5, 11–106. [Google Scholar] [CrossRef]
- Olivera, L.; Okuno, M.F.; Barbosa, A.; Sesso, R.C.; Scherrer-Júnior, G.; Pessoa, J.E.; Fonseca, C.; Belasco, A. Quality of life and spirituality of patients with chronic kidney disease: Pre and post-transplant analysis. Rev. Bras. Enferm. 2020, 73, e20190408. [Google Scholar] [CrossRef]
- Fu, R.; Kim, S.J.; De-Oliveira, C.; Coyte, P.C. An instrumental variable approach confirms that the duration of pretransplant dialysis has a negative impact on the survival of kidney transplant recipients and quantifies the risk. Kidney Int. 2019, 96, 450–459. [Google Scholar] [CrossRef]
- Wilmes, D.; Coche, E.; Rodriguez-Villalobos, H.; Kanaan, N. Bacterial pneumonia in kidney transplant recipients. Respir. Med. 2018, 137, 89–94. [Google Scholar] [CrossRef]
- Rocha, F.; Echevarría-Guanilo, M.E.; Silva, D.; Gonçalves, N.; Lopes, S.; Boell, J.; Mayer, B. Relationship between quality of life, self-esteem and depression in people after kidney transplantation. Rev. Bras. Enferm. 2020, 73, e20180245. [Google Scholar] [CrossRef] [PubMed]
- Chuasuwan, A.; Pooripussarakul, S.; Thakkinstian, A.; Ingsathit, A.; Pattanaprateep, O. Comparisons of quality of life between patients underwent peritoneal dialysis and hemodialysis: A systematic review and meta-analysis. Health Qual. Life Outcomes 2020, 18, 191. [Google Scholar] [CrossRef] [PubMed]
- De-Brito, D.; Machado, E.; Reis, I.; Moreira, D.; Nébias, T.; Cherchiglia, M.L. Modality transition on renal replacement therapy and quality of life of patients: A 10-year follow-up cohort study. Qual. Life Res. 2019, 28, 1485–1495. [Google Scholar] [CrossRef] [PubMed]
- Ramos, E.; Santos-Ida, S.; Zanini, V.; Ramos, J. Quality of life of chronic renal patients in peritoneal dialysis and hemodialysis. J. Bras. Nefrol. 2015, 37, 297–305. [Google Scholar] [CrossRef]
Publisher’s Note: MDPI stays neutral with regard to jurisdictional claims in published maps and institutional affiliations. |
© 2022 by the authors. Licensee MDPI, Basel, Switzerland. This article is an open access article distributed under the terms and conditions of the Creative Commons Attribution (CC BY) license (https://creativecommons.org/licenses/by/4.0/).