Does Internet Use Affect Medical Decisions among Older Adults in China? Evidence from CHARLS
Abstract
:1. Introduction
2. Materials and Methods
2.1. Source of Data
2.2. Variable Measurement
2.3. Analytic Strategy
3. Results
3.1. Benchmark Regression Results
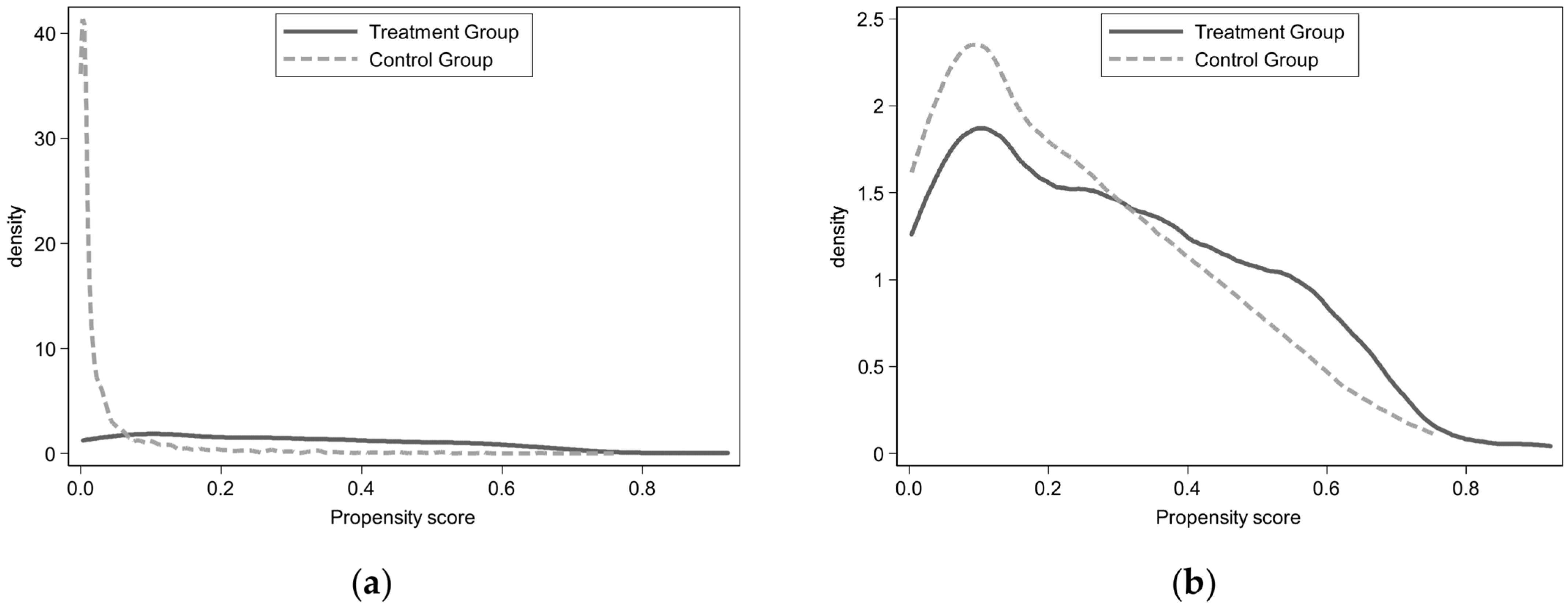
3.2. PSM Results
3.3. Heterogeneity Analysis
3.4. Robustness Test
4. Discussion
5. Conclusions
Author Contributions
Funding
Institutional Review Board Statement
Informed Consent Statement
Data Availability Statement
Conflicts of Interest
References
- Lakhani, M.; Baker, M. Good general practitioners will continue to be essential. BMJ 2006, 332, 41–43. [Google Scholar] [CrossRef] [PubMed] [Green Version]
- Liang, C.; Mei, J.; Liang, Y.; Hu, R.; Li, L.; Kuang, L. The effects of gatekeeping on the quality of primary care in Guangdong Province, China: A cross-sectional study using primary care assessment tool-adult edition. BMC Fam. Pract. 2019, 20, 93. [Google Scholar] [CrossRef] [Green Version]
- Chen, A.; Feng, S.; Tang, W.; Zhang, L. Satisfaction with service coverage and drug list may influence patients’ acceptance of general practitioner contract service: A cross-sectional study in Guangdong, China. BMC Health Serv. Res. 2019, 19, 251. [Google Scholar] [CrossRef] [PubMed]
- Sripa, P.; Hayhoe, B.; Garg, P.; Majeed, A.; Greenfield, G. Impact of GP gatekeeping on quality of care, and health outcomes, use, and expenditure: A systematic review. Br. J. Gen. Pract. 2019, 69, e294–e303. [Google Scholar] [CrossRef]
- Li, X.; Krumholz, H.M.; Yip, W.; Cheng, K.K.; De Maeseneer, J.; Meng, Q.; Mossialos, E.; Li, C.; Lu, J.; Su, M.; et al. Quality of primary health care in China: Challenges and recommendations. Lancet 2020, 395, 1802–1812. [Google Scholar] [CrossRef]
- Zheng, Y.; He, Y.; Xu, Z.; Pedrycz, W. Assessment for hierarchical medical policy proposals using hesitant fuzzy linguistic analytic network proces. Knowl. Based System. 2018, 161, 254–267. [Google Scholar] [CrossRef]
- Wang, Y.; Sun, L.; Hou, J.; Wan, X.; Kuo, P.-Y.; Tao, S. Hierarchical Medical System Based on Big Data and Mobile Internet: A New Strategic Choice in Health Care. JMIR Med Inform. 2017, 5, e22. [Google Scholar] [CrossRef] [PubMed]
- Zhai, Y.; Gao, J.; Chen, B.; Shi, J.; Wang, L.; He, X.; Sun, D.; Chen, H.; Hou, H.; Song, X.; et al. Design and Application of a Telemedicine System Jointly Driven by Videoconferencing and Data Exchange: Practical Experience from Henan Province, China. Telemed. E-Health 2020, 26, 87–98. [Google Scholar] [CrossRef] [PubMed]
- Wang, S.; Xu, J.; Jiang, X.; Li, C.; Li, H.; Song, S.; Huang, E.; Meng, Q. Trends in health resource disparities in primary health care institutions in Liaoning Province in Northeast China. Int. J. Equity Health 2018, 17, 178. [Google Scholar] [CrossRef] [PubMed]
- Zeng, Z.; Zhu, W.; Ke, R.; Ash, J.; Wang, Y.; Xu, J.; Xu, X. A generalized nonlinear model-based mixed multinomial logit approach for crash data analysis. Accid. Anal. Prev. 2017, 99 Pt A, 51–65. [Google Scholar] [CrossRef]
- Hu, Y.; Zhang, Z. Skilled doctors in tertiary hospitals are already overworked in China. Lancet Glob. Health 2015, 3, e737. [Google Scholar] [CrossRef] [Green Version]
- Anand, S.; Fan, V.Y.; Zhang, J.; Zhang, L.; Ke, Y.; Dong, Z.; Chen, L.C. China’s human resources for health: Quantity, quality, and distribution. Lancet 2008, 372, 1774–1781. [Google Scholar] [CrossRef]
- National Health Commission. Chinese Health Statistics Yearbook; Beijing Union Medical University Press: Beijing, China, 2019. [Google Scholar]
- Hu, R.; Liao, Y.; Du, Z.; Hao, Y.; Liang, H.; Shi, L. Types of health care facilities and the quality of primary care: A study of characteristics and experiences of Chinese patients in Guangdong Province, China. BMC Health Serv. Res. 2016, 16, 335. [Google Scholar] [CrossRef] [PubMed] [Green Version]
- Liu, N.; Finkelstein, S.R.; Kruk, M.E.; Rosenthal, D. When Waiting to See a Doctor Is Less Irritating: Understanding Patient Preferences and Choice Behavior in Appointment Scheduling. Manag. Sci. 2018, 64, 1975–1996. [Google Scholar] [CrossRef] [Green Version]
- Sivey, P. The effect of waiting time and distance on hospital choice for English cataract patients. J. Health. Econ. 2011, 21, 444–456. [Google Scholar] [CrossRef] [PubMed] [Green Version]
- Wahlstedt, E.; Ekman, B. Patient choice, Internet based information sources, and perceptions of health care: Evidence from Sweden using survey data from 2010 and 2013. BMC Health Serv. Res. 2016, 16, 325. [Google Scholar] [CrossRef] [PubMed] [Green Version]
- Angst, C.; Agarwal, R.; Gao, G.G.; Khuntia, J.; McCullough, J.S. Information technology and voluntary quality disclosure by hospitals. Decis. Support Syst. 2014, 57, 367–375. [Google Scholar] [CrossRef]
- Varkevisser, M.; van der Geest, S.A.; Schut, F.T. Do patients choose hospitals with high quality ratings? Empirical evidence from te market for angioplasty in the Netherlands. J. Health Econ. 2012, 31, 371–378. [Google Scholar] [CrossRef] [PubMed]
- Avdic, D.; Moscelli, G.; Pilny, A.; Sriubaite, I. Subjective and objective quality and choice of hospital: Evidence from maternal care services in Germany. J. Health Econ. 2019, 68, 102229. [Google Scholar] [CrossRef] [PubMed]
- Sahama, T.; Stranieri, A.; Butler-Henderson, K.; Golden, I. Medical System Choice: Information That Affects the Selection of Healthcare Provider in Australia? Stud. Health Technol. Inform. 2018, 247, 596–600. [Google Scholar] [PubMed]
- Deng, Z.; Hong, Z.; Zhang, W.; Evans, R.; Chen, Y. The Effect of Online Effort and Reputation of Physicians on Patients’ Choice: 3-Wave Data Analysis of China’s Good Doctor Website. J. Med. Internet Res. 2019, 21, e10170. [Google Scholar] [CrossRef] [PubMed]
- Dündar, C. Health-seeking behavior and medical facility choice in Samsun, Turkey. Health Policy 2017, 121, 1015–1019. [Google Scholar] [CrossRef] [PubMed]
- Dehbarez, N.T.; Lou, S.; Uldbjerg, N.; Møller, A.; Gyrd-Hansen, D.; Søgaard, R. Pregnant women’s choice of birthing hospital: A qualitative study on individuals’ preferences. Women Birth. 2018, 31, e389–e394. [Google Scholar] [CrossRef] [PubMed]
- Schuldt, J.; Doktor, A.; Lichters, M.; Vogt, B.; Robra, B.P. Insurees’ preferences in hospital choice—A population-based study. Health Policy. 2017, 121, 1040–1046. [Google Scholar] [CrossRef] [PubMed]
- Arrow, K.J. Uncertainty and the welfare economics of medical care. World Health Organ. Bull. World Health Organ. 2004, 82, 141. [Google Scholar] [PubMed]
- Parente, S.T.; Salkever, D.S.; DaVanzo, J. The role of consumer knowledge of insurance benefits in the demand for preventive health care among the elderly. Health Econ. 2004, 14, 25–38. [Google Scholar] [CrossRef] [PubMed]
- Liu, H.; Wang, J.; Fang, H. The Role of Consumer Knowledge on Medical Care Demand in China’s Health Care Reform. Econ. Res. J. 2010, 10, 48–62. (In Chinese) [Google Scholar]
- Osman, L.M.; Abdalla, M.I.; Beattie, J.A.; Ross, S.J.; Russell, I.T.; Friend, J.A.; Legge, J.S.; Douglas, J.G. Reducing hospital admission through computer supported education for asthma patients. BMJ 1994, 308, 568–571. [Google Scholar] [CrossRef]
- Deng, Z.; Liu, S. Understanding consumer health information-seeking behavior from the perspective of the risk perception attitude framework and social support in mobile social media websites. Int. J. Med Inform. 2017, 105, 98–109. [Google Scholar] [CrossRef]
- Gao, G.G.; McCullough, J.S.; Agarwal, R.; Jha, A.K. A Changing Landscape of Physician Quality Reporting: Analysis of Patients’ Online Ratings of Their Physicians over a 5-Year Period. J. Med. Internet Res. 2012, 14, e38. [Google Scholar] [CrossRef]
- Greaves, F.; Millett, C.; Gao, G.; Patel, S. Consistently Increasing Numbers of Online Ratings of Healthcare in England. J. Med. Internet Res. 2012, 14, e94. [Google Scholar] [CrossRef]
- Emmert, M.; Sander, U.; Pisch, F. Eight Questions About Physician-Rating Websites: A Systematic Review. J. Med. Internet Res. 2013, 15, e24. [Google Scholar] [CrossRef]
- Hao, H. The Development of Online Doctor Reviews in China: An Analysis of the Largest Online Doctor Review Website in China. J. Med. Internet Res. 2015, 17, e134. [Google Scholar] [CrossRef]
- Hao, H.; Zhang, K. The Voice of Chinese Health Consumers: A Text Mining Approach to Web-Based Physician Reviews. J. Med. Internet Res. 2016, 18, e108. [Google Scholar] [CrossRef] [PubMed]
- Collste, G. The Internet doctor and medical ethics Ethical implications of the introduction of the Internet into medical encounters. Med. Health Care Philos. 2002, 5, 121–125. [Google Scholar] [CrossRef] [PubMed]
- Lee, A.; Craft-Rosenberg, M. Ineffective family participation in professional care: A concept analysis of a proposed nursing diagnosis. Int. J. Nurs. Terminol. Classif. 2002, 13, 5–14. [Google Scholar] [CrossRef]
- Lee, Y.J.; Boden-Albala, B.; Jia, H.; Wilcox, A.; Bakken, S. The Association between Online Health Information–Seeking Behaviors and Health Behaviors among Hispanics in New York City: A Community-Based Cross-Sectional Study. J. Med Internet Res. 2015, 17, e261. [Google Scholar] [CrossRef]
- Takahashi, Y.; Ohura, T.; Ishizaki, T.; Okamoto, S.; Miki, K.; Naito, M.; Akamatsu, R.; Sugimori, H.; Yoshiike, N.; Miyaki, K.; et al. Internet Use for Health-Related Information via Personal Computers and Cell Phones in Japan: A Cross-Sectional Population-Based Survey. J. Med. Internet Res. 2011, 13, e110. [Google Scholar] [CrossRef] [PubMed]
- Zwijnenberg, N.C.; Hendriks, M.; Bloemendal, E.; Damman, O.C.; de Jong, J.D.; Delnoij, D.M.; Rademakers, J.J. Patients’ need for tailored comparative health care information: A qualitative study on choosing a hospital. J. Med. Internet Res. 2016, 18, e4436. [Google Scholar] [CrossRef]
- Zhang, J.; Cheng, M.; Wei, X.; Gong, X. Does Mobile Phone Penetration Affect Divorce Rate? Evidence from China. Sustainability 2018, 10, 3701. [Google Scholar] [CrossRef] [Green Version]
- Liu, P.; Teng, M.; Han, C. How does environmental knowledge translate into pro-environmental behaviors?: The mediating role of environmental attitudes and behavioral intentions. Sci. Total. Environ. 2020, 728, 138126. [Google Scholar] [CrossRef]
- Villagonzalo, K.-A.; Arnold, C.; Farhall, J.; Rossell, S.L.; Foley, F.; Thomas, N. Predictors of overall and mental health-related internet use in adults with psychosis. Psychiatry Res. 2019, 278, 12–18. [Google Scholar] [CrossRef]
- Masson, C.L.; Chen, I.Q.; Levine, J.A.; Shopshire, M.S.; Sorensen, J.L. Health-related Internet use among opioid treatment patients. Addict. Behav. Rep. 2019, 9, 100157. [Google Scholar] [CrossRef]
- Waring, M.E.; McManus, D.D.; Amante, D.J.; Darling, C.E.; Kiefe, C.I. Online health information seeking by adults hospitalized for acute coronary syndromes: Who looks for information, and who discusses it with healthcare providers? Patient Educ. Couns. 2018, 101, 1973–1981. [Google Scholar] [CrossRef]
- Wiegers, T.A.; Hendriks, M.; Malanda, U.; de Boer, D. Users’ Experiences With Web-Based Health Care Information: Qualitative Study about Diabetes and Dementia Information Presented on a Governmental Website. J. Med. Internet Res. 2019, 21, e11340. [Google Scholar] [CrossRef] [PubMed] [Green Version]
- Wu, D.; Li, Y. Online health information seeking behaviors among Chinese elderly. Libr. Inf. Sci. Res. 2016, 38, 272–279. [Google Scholar] [CrossRef]
- Chang, S.J.; Im, E.-O. A path analysis of Internet health information seeking behaviors among older adults. Geriatr. Nurs. 2014, 35, 137–141. [Google Scholar] [CrossRef] [PubMed]
- Liu, H.; Wang, J.; Fang, H. The influence of personal information cognition on medical Security reform. Econ. Res. J. 2010, 10, 48–62. (In Chinese) [Google Scholar]
- Zhou, Q.; Gao, P.; Chimhowu, A. ICTs in the Transformation of Rural Enterprises in China: A Multi-Layer Perspective. Technol. Forecast. Soc. Chang. 2019, 145, 12–23. [Google Scholar] [CrossRef]
- China Internet Network Information Center. China Internet Network Development Statistic Report. 2014. Available online: http://www.cnnic.net.cn/hlwfzyj/hlwxzbg/hlwtjbg/201407/P020140721507223212132.pdf (accessed on 20 August 2020).
- Tatsumi, H.; Mitani, H.; Haruki, Y.; Ogushi, Y.; Yahata, K. Internet Medical Usage in Japan: Current Situation and Issues. J. Med. Internet Res. 2001, 3, e12. [Google Scholar] [CrossRef]
- Joyia, G.J.; Liaqat, R.M.; Farooq, A.; Rehman, S. Internet of Medical Things (IOMT): Applications, benefits and future challenges in healthcare domain. J. Commun. 2017, 12, 240–247. [Google Scholar] [CrossRef] [Green Version]
- Matthews, S.C.; Camacho, A.; Mills, P.J.; Dimsdale, J.E. The Internet for medical information about cancer: Help or hindrance? Psychosomatics 2003, 44, 100–103. [Google Scholar] [CrossRef]
- Powell, J.A.; Darvell, M.; Gray, J.A.M. The doctor, the patient and the world-wide web: How the internet is changing healthcare. J. R. Soc. Med. 2003, 96, 74–76. [Google Scholar] [CrossRef]
- Geerlings, S.W.; Pot, A.M.; Twisk, J.W.; Deeg, D.J. Predicting transitions in the use of informal and professional care by older adults. Ageing Soc. 2005, 25, 111–130. [Google Scholar] [CrossRef] [Green Version]
- Han, J.; Zhang, X.; Meng, Y. The Impact of Internet Medical Information Overflow on Residents’ Medical Expenditure Based on China’s Observations. Int. J. Environ. Res. Public Health 2020, 17, 3539. [Google Scholar] [CrossRef] [PubMed]
- Howerton, D.A. Medical Information on the Internet. J. Pastor. Care Couns. 2019, 73, 52–54. [Google Scholar] [CrossRef]
- Linton, S.J.; Shaw, W.S. Impact of Psychological Factors in the Experience of Pain. Phys. Ther. 2011, 91, 700–711. [Google Scholar] [CrossRef] [Green Version]
- Van Dulmen, S.; Sluijs, E.; Van Dijk, L.; de Ridder, D.; Heerdink, R.; Bensing, J. Patient adherence to medical treatment: A review of reviews. BMC Health Serv. Res. 2007, 7, 55. [Google Scholar] [CrossRef] [Green Version]
- Hu, F.; Xie, D.; Shen, S. On the application of the Internet of things in the field of medical and health care. In Proceedings of the 2013 IEEE International Conference on Green Computing and Communications and IEEE Internet of Things and IEEE Cyber, Physical and Social Computing, Beijing, China, 20–23 August 2013; pp. 2053–2058. [Google Scholar]
- Chen, L.; Zhang, X.; Xu, X. Health Insurance and Long-Term Care Services for the Disabled Elderly in China: Based on CHARLS Data. Health Policy 2020, 13, 155–162. [Google Scholar] [CrossRef] [Green Version]
- Liu, J.; Rozelle, S.; Xu, Q.; Yu, N.; Zhou, T. Social Engagement and Elderly Health in China: Evidence from the China Health and Retirement Longitudinal Survey (CHARLS). Int. J. Environ. Res. Public Health 2019, 16, 278. [Google Scholar] [CrossRef] [Green Version]
- Ding, L.; Liang, Y.; Tan, E.C.; Hu, Y.; Zhang, C.; Liu, Y.; Xue, F.; Wang, R. Smoking, heavy drinking, physical inactivity, and obesity among middle-aged and older adults in China: Cross-sectional findings from the baseline survey of CHARLS 2011–2012. BMC Public Health 2020, 20, 1062. [Google Scholar] [CrossRef]
- Hübler, M.; Hartje, R. Are smartphones smart for economic development? Econ. Lett. 2016, 141, 130–133. [Google Scholar] [CrossRef] [Green Version]
- Ma, W.; Grafton, R.Q.; Renwick, A. Smartphone use and income growth in rural China: Empirical results and policy implications. Electron. Commer. Res. 2018, 20, 713–736. [Google Scholar] [CrossRef]
- Fu, X.; Akter, S. The Impact of Mobile Phone Technology on Agricultural Extension Services Delivery: Evidence from India. J. Dev. Stud. 2016, 52, 1561–1576. [Google Scholar] [CrossRef]
- Liu, P.; Han, C.; Teng, M. The influence of Internet use on pro-environmental behaviors: An integrated theoretical framework. Resour. Conserv. Recycl. 2020, 164, 105162. [Google Scholar] [CrossRef]
- Boult, C.; Green, A.F.; Boult, L.B.; Pacala, J.T.; Snyder, C.; Leff, B. Successful Models of Comprehensive Care for Older Adults with Chronic Conditions: Evidence for the Institute of Medicine’s “Retooling for an Aging America” Report: [see editorial comments by Dr. David B. Reuben, pp. 2348–2349]. J. Am. Geriatr. Soc. 2009, 57, 2328–2337. [Google Scholar] [CrossRef]
- Heckman, J.J. Sample Selection Bias as a Specification Error. Econometrica 1979, 47, 153. [Google Scholar] [CrossRef]
- Rosenbaum, P.R.; Rubin, D.B. The central role of the propensity score in observational studies for causal effects. Biometrika 1983, 70, 41–55. [Google Scholar] [CrossRef]
- Yang, Y.; Zhang, X.; Lee, P.K. Improving the effectiveness of online healthcare platforms: An empirical study with multi-period patient-doctor consultation data. Int. J. Prod. Econ. 2018, 207, 70–80. [Google Scholar] [CrossRef]
- Ma, Q.; Sun, D.; Cui, F.; Zhai, Y.; Zhao, J.; He, X.; Shi, J.; Gao, J.; Li, M.; Zhang, W. Impact of the Internet on Medical Decisions of Chinese Adults: Longitudinal Data Analysis. J. Med Internet Res. 2020, 22, e18481. [Google Scholar] [CrossRef]
- Turan, N.; Kaya, N.; Aydın, G. Health Problems and Help Seeking Behavior at the Internet. Procedia Soc. Behav. Sci. 2015, 195, 1679–1682. [Google Scholar] [CrossRef] [Green Version]
- Jones, S.L.; Hadjistavropoulos, H.D.; Gullickson, K. Understanding health anxiety following breast cancer diagnosis. Psychol. Health Med. 2013, 19, 525–535. [Google Scholar] [CrossRef] [PubMed]
- Ogasawara, R.; Katsumata, N.; Toyooka, T.; Akaishi, Y.; Yokoyama, T.; Kadokura, G. Reliability of Cancer Treatment Information on the Internet: Observational Study. JMIR Cancer 2018, 4, e10031. [Google Scholar] [CrossRef] [PubMed] [Green Version]

| Variables | Definition | ALL | Internet Users | Non-Internet Users | Mean Difference |
|---|---|---|---|---|---|
| Mean (S.D.) | Mean (S.D.) | Mean (S.D.) | |||
| Self-treatment | 0 = no self-treatment, 1 = self-treatment | 0.468 (0.499) | 0.490 (0.495) | 0.465 (0.499) | 0.025 *** |
| HIS-CD | 0 = primary medical institution, 1 = great public hospitals | 0.366 (0.482) | 0.473 (0.470) | 0.354 (0.478) | 0.119 *** |
| HIS-MD | 0 = primary medical institution, 1 = great public hospitals | 0.805 (0.397) | 0.824 (0.267) | 0.801 (0.400) | 0.023 |
| Age | ranging from 45 to 101 years | 59.62(9.734) | 53.52(7.272) | 59.86 (9.740) | −6.34 *** |
| Gender | 0 = male, 1 = female | 0.516 (0.500) | 0.408 (0.492) | 0.521 (0.500) | −1.113 *** |
| Urban vs. rural residence | 0 = rural residents, 1 = urban residents | 0.212 (0.409) | 0.708 (0.455) | 0.192 (0.394) | 0.516 *** |
| Marriage status | 0 = having no partner, 1 = having a partner | 0.871 (0.336) | 0.926 (0.262) | 0.869 (0.338) | 0.057 |
| Education | 1 = uneducated, 2 = literate, 3 = primary education, 4 = secondary education, 5 = tertiary education | 2.846 (1.362) | 4.543 (0.698) | 2.778 (1.338) | 1.765 *** |
| Insured | 0 = having no insurance, 1 = having insurance | 0.937 (0.243) | 0.958 (0.201) | 0.936 (0.245) | 0.022 |
| Self-rated health | self-rated health: 0 = poor, 1 = fair, 2 = good, 3 = very good, 4 = excellent | 2.165 (0.581) | 1.912 (0.500) | 2.175 (0.582) | −0.263 *** |
| IADL | Instrumental Activity of Daily Living, 0–28 | 10.18 (4.056) | 7.663 (2.677) | 10.28 (4.069) | −2.6171 *** |
| Per capital income | log form of annual household per capital income (CNY) | 8.106 (2.612) | 9.408 (2.622) | 8.054 (2.598) | 1.354 *** |
| Household size | the total number of family members | 3.258 (3.583) | 3.247 (1.515) | 3.259 (3.641) | −0.012 |
| Number of children | the total number of children in the legal sense | 2.792 (1.446) | 2.656 (0.870) | 2.837 (1.446) | −0.181 *** |
| Housing type | 0 = wood, bamboo, grass, sheet iron, cave dwelling, adobe, 1 = bricks and wood, mixed structure, 3 = concrete and steel | 1.355 (0.701) | 1.564 (0.726) | 1.347 (0.699) | 0.217 *** |
| Observations | 9416 | 1884 | 7528 | ||
| Variables | (1) | (2) | (3) |
|---|---|---|---|
| Self-Treatment | HIS-CD | HIS-MD | |
| Internet use | 0.050 ** | 0.060 *** | 0.030 |
| (0.047) | (0.001) | (0.516) | |
| Age | −0.001 | −0.010 | −0.010 * |
| (0.588) | (0.221) | (0.066) | |
| Gender | 0.030 | −0.200 *** | −0.080 |
| (0.734) | (0.004) | (0.498) | |
| Urban vs. rural residence | 0.360 *** | 0.860 *** | 1.290 *** |
| (0.003) | (0.000) | (0.000) | |
| Marry | 0.030 | −0.080 | 0.080 |
| (0.760) | (0.426) | (0.587) | |
| Uneducated | 0.000 | 0.000 | 0.000 |
| (.) | (.) | (.) | |
| Literate | 0.330 ** | 0.240 ** | 0.180 |
| (0.011) | (0.031) | (0.274) | |
| Primary education | 0.220 ** | 0.220 ** | 0.320 ** |
| (0.050) | (0.027) | (0.033) | |
| Secondary education | 0.270 ** | 0.460 *** | 0.450 ** |
| (0.040) | (0.000) | (0.015) | |
| Tertiary education | 0.120 | 0.650 *** | 0.830 *** |
| (0.493) | (0.000) | (0.001) | |
| Insured | 0.420 *** | −0.100 | −0.290 |
| (0.004) | (0.507) | (0.327) | |
| Per capital income | 0.040 *** | 0.040 *** | 0.040 ** |
| (0.002) | (0.004) | (0.030) | |
| Self-rated health | 0.200 *** | 0.000 | −0.150 |
| (0.006) | (0.989) | (0.114) | |
| IADL | 0.008 | 0.040 *** | 0.050 *** |
| (0.011) | (0.000) | (0.000) | |
| Household Size | −0.020 | 0.000 | 0.010 |
| (0.359) | (0.818) | (0.788) | |
| Number of children | 0.020 | −0.060 ** | 0.080 * |
| (0.583) | (0.035) | (0.068) | |
| Humble and old house | 0.000 | 0.000 | 0.000 |
| (.) | (.) | (.) | |
| Brick and concrete house | 0.040 | −0.210 ** | −0.380 ** |
| (0.747) | (0.042) | (0.044) | |
| Concrete and steel house | −0.070 | 0.080 | −0.180 |
| (0.548) | (0.424) | (0.311) | |
| Constant | −2.360 ** | −2.680 *** | −0.160 |
| (0.022) | (0.635) | (0.861) | |
| Province fixed effects | YES | YES | YES |
| Year fixed effects | YES | YES | YES |
| Observations | 3314 | 4938 | 2444 |
| Wald | 136.490 | 601.820 | 183.370 |
| R-squared | 0.1381 | 0.1199 | 0.110 |
| Matching Method | (1) | (2) | (3) |
|---|---|---|---|
| Self-Treatment | HIS-CD | HIS-MD | |
| Before the match ATT | 0.111 *** | 0.294 *** | 0.126 ** |
| (0.041) | (0.032) | (0.044) | |
| Nearest neighbor matching (1:1) ATT | 0.099 ** | 0.116 ** | 0.063 |
| (0.064) | (0.053) | (0.052) | |
| Nearest neighbor matching (1;5) ATT | 0.093 ** | 0.117 ** | 0.017 |
| (0.049) | (0.041) | (0.037) | |
| Radius matching method ATT | 0.081 ** | 0.116 *** | 0.027 |
| (0.046) | (0.038) | (0.034) | |
| Kernel matching ATT | 0.079 ** | 0.115 ** | 0.026 |
| (0.046) | (0.038) | (0.034) | |
| ATT Average | 0.088 ** | 0.116 ** | 0.033 |
| Variables | (1) | (2) | (3) | |
|---|---|---|---|---|
| Self-Treatment | HIS-CD | HIS-MD | ||
| Gender | Male | 0.142 ** | 0.131 ** | 0.018 |
| (0.067) | (0.060) | (0.054) | ||
| Female | 0.028 | 0.112 * | 0.05 | |
| (0.080) | (0.062) | (0.056) | ||
| Urban vs. rural residence | Rural | 0.148 ** | 0.118 * | 0.161 ** |
| (0.077) | (0.070) | (0.071) | ||
| Urban | 0.020 | 0.089 * | −0.003 | |
| (0.060) | (0.048) | (−0.09) | ||
| Family economic status | Low income | −0.016 | −0.130 | 0.001 |
| (0.164) | (0.164) | (0.19) | ||
| Middle income | 0.174 *** | 0.192 *** | 0.062 | |
| (0.060) | (0.069) | (0.054) | ||
| High income | 0.088 | 0.072 | −0.02 | |
| (0.084) | (0.055) | (0.044) | ||
| Variable | (1) | (2) | (3) |
|---|---|---|---|
| Self-Treatment | HIS-CD | HIS-MD | |
| Panel A: Fixed-effects model | |||
| Internet use | 0.070 ** | 0.155 ** | 0.02 |
| (0.071) | (0.025) | (0.040) | |
| Control variable | yes | yes | yes |
| Personal fixed effect | yes | yes | yes |
| Year fixed effect | yes | yes | yes |
| N | 3987 | 7810 | 2945 |
| F | 0.27 | 4.28 | 3.90 |
| Within R-sq | 0.023 | 0.0267 | 0.059 |
| Panel B: Random effects model | |||
| Internet use | 0.078 *** | 0.092 ** | −0.013 |
| (0.019) | (0.010) | (0.041) | |
| Control variable | yes | yes | yes |
| Urban fixed effect | yes | yes | yes |
| Year control variable | yes | yes | yes |
| N | 3987 | 7810 | 2945 |
| Within R-sq | 0.179 | 0.233 | 0.152 |
| Between R-sq | 0.418 | 0.384 | 0.346 |
| Overall R-sq | 0.021 | 0.1310 | 0.093 |
Publisher’s Note: MDPI stays neutral with regard to jurisdictional claims in published maps and institutional affiliations. |
© 2021 by the authors. Licensee MDPI, Basel, Switzerland. This article is an open access article distributed under the terms and conditions of the Creative Commons Attribution (CC BY) license (https://creativecommons.org/licenses/by/4.0/).
Share and Cite
Li, G.; Han, C.; Liu, P. Does Internet Use Affect Medical Decisions among Older Adults in China? Evidence from CHARLS. Healthcare 2022, 10, 60. https://doi.org/10.3390/healthcare10010060
Li G, Han C, Liu P. Does Internet Use Affect Medical Decisions among Older Adults in China? Evidence from CHARLS. Healthcare. 2022; 10(1):60. https://doi.org/10.3390/healthcare10010060
Chicago/Turabian StyleLi, Gan, Chuanfeng Han, and Pihui Liu. 2022. "Does Internet Use Affect Medical Decisions among Older Adults in China? Evidence from CHARLS" Healthcare 10, no. 1: 60. https://doi.org/10.3390/healthcare10010060
APA StyleLi, G., Han, C., & Liu, P. (2022). Does Internet Use Affect Medical Decisions among Older Adults in China? Evidence from CHARLS. Healthcare, 10(1), 60. https://doi.org/10.3390/healthcare10010060
