A Method of Riemann–Hilbert Problem for Zhang’s Conjecture 1 in a Ferromagnetic 3D Ising Model: Trivialization of Topological Structure
Abstract
1. Introduction
2. 3D Ising Model and Zhang’s Conjectures
2.1. Hamiltonian and Partition Function of 3D Ising Model
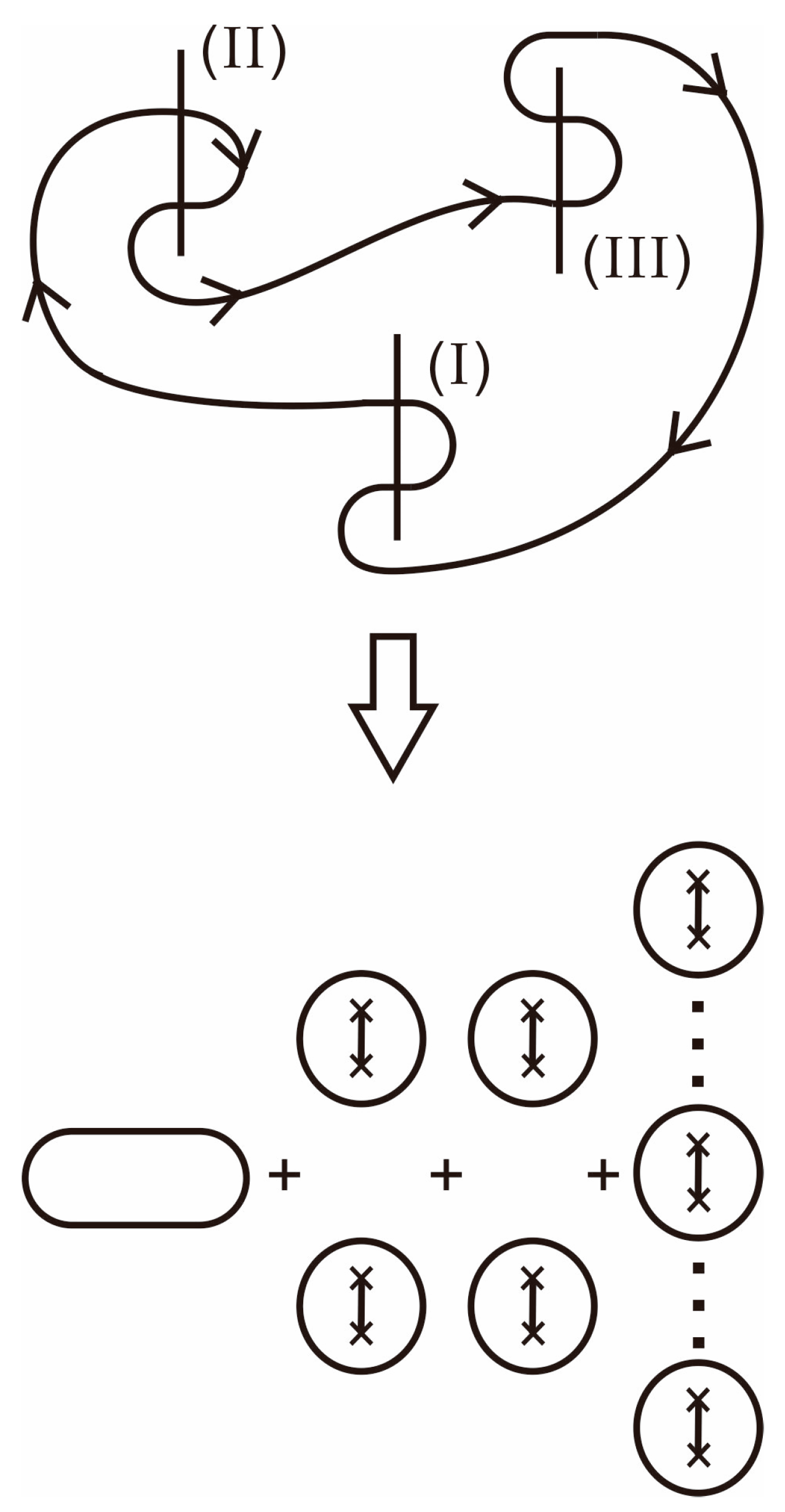
2.2. Zhang’s Conjecture 1
- For a given , can we make a trivialization ?
- More exactly, we can state the Zhang’s conjecture 1 as:
2.3. Steps to Prove Zhang’s Conjecture 1 on Trivialization
- (1)
- The Clifford algebra is extended to the K/C algebra which has the original Clifford algebra and its conjugate algebra as subalgebras (Section 3).
- (2)
- is extended to the K/C algebra which is denoted by . Therefore, we have a knot carrying the elements in K/C algebra for the partition function (Section 4).
- (3)
- (4)
- Applying the monoidal transformation to the solution in (3), we construct the desired trivialization in K/C algebra (Section 7).
3. Clifford Algebra of the Ferromagnetic 3D Ising Model and Its K/C Algebra
3.1. Clifford Algebra of the Ferromagnetic 3D Ising Model
3.2. K/C Algebra Associated to the Knot Structure
- (1)
- Knot/Clifford algebra is an associative algebra.
- (2)
- We have,. Here, we have calculated the product includingas the usual matrix calculus. It implies that the first element determines the sequence to be Γ-sequence or–sequence.
4. Knot Structure of the Ferromagnetic 3D Ising Model
4.1. Knots with Clifford Algebra Data
4.2. Association of Circle/Interval to Γ-Factors
4.3. Generation of Knots of Ferromagnetic 3D Ising Model for Partition Functions
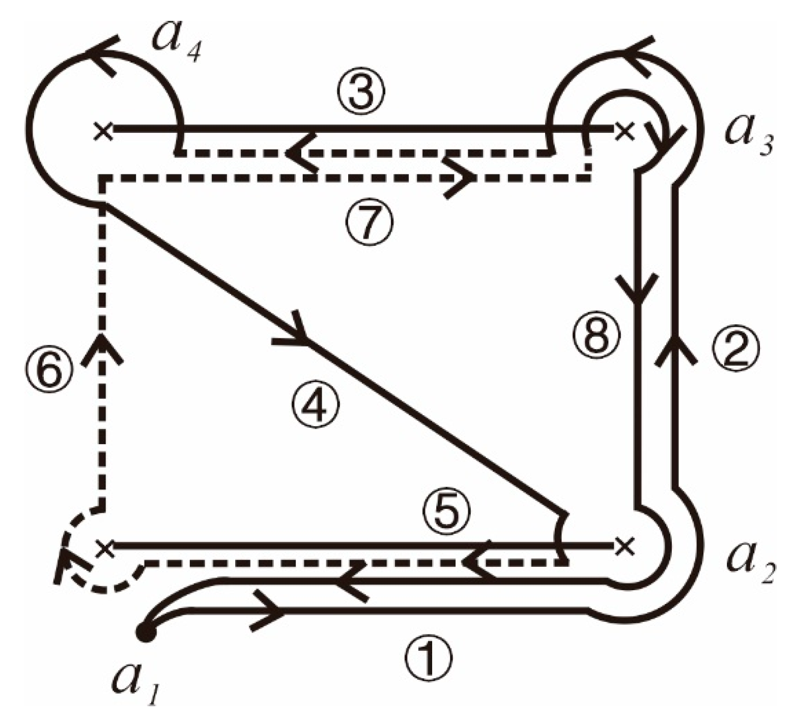
5. Realization of Knots on a Riemann Surface
5.1. Realization of Knots
5.2. Realization of Knots on a Four-dimensional Manifold
5.3. Realization on a Riemann Surface
- (1)
- For each aj, we take on corresponding , respectively.
- (2)
- Starting from , we take on the upper surface.
- (3)
- The next element is denoted by αk. When , we take and joint them without cut segment (Figure 9).
- (4)
- Repeating this process, we obtain a closed curve which is located very near to the original knot curve.
6. Method of Riemann–Hilbert Problem for 3D Ising Model
6.1. Riemann-Hilbert Problem
6.2. Riemann–Hilbert Problem for the Ferromagnetic 3D Ising Model
7. Construction of Trivialization by Monoidal Transforms
7.1. Direction Separation—Basic Idea
7.2. Monoidal Transform
- (i)
- Q−1(P0) ≅ Ρ1 (complex projective space)
- (ii)
7.3. Complex Line Bundle of Monoidal Transformation
7.4. Construction of Monoidal Transform
7.5. Basic Notations on Trivialization
- (1)
- Trivial elements of exponential type
- (2)
- K/C mapping
7.6. Basic Idea on Trivialization
8. Construction of Solution to the Zhang’s Conjecture 1
- (1)
- We assume that a knot γ is given on the lattice: γ = {Pi}, where Pi is on the lattice points.
- (2)
- We take a partition function which is defined by the transfer matrices V1, V2, and V3. The members are denoted by V(i) (i = 1,2,…, M).
- (3)
- We distribute V(i) (i = 1,2,…, M) on knot points Pi of γ, and then have K/C knots Zγ = (γ, X), with X = {V(i)}.
- (4)
- Making the K/C algebra, we make the conjugate element and introduce a K/C knot
- (5)
- After realization of the knot on a Riemann surface, we can formulate the Riemann–Hilbert problem for the representation.
- (6)
- We find the solution to the problem with regular singularities at the knot points of the realized knot on the Riemann surface which is denoted by .
- (7)
- Applying the monoidal transforms at the knot points, we obtain the trivialization , to eliminate the singularities from knots.
9. Conclusions
Author Contributions
Funding
Institutional Review Board Statement
Informed Consent Statement
Data Availability Statement
Conflicts of Interest
Appendix A. Proof of Theorem II
Appendix A.1. Construction of the Representation (Proof of (1) in Theorem II)
- (1)
- The case of basic type


- (2)
- The case of simple/multi-type

- (i)
- Choose a Riemann surface (Figure A4)

- (ii)
- Make a realization of γ by use of association of twisted type (Figure A5).

Appendix A.2. Construction of the Solutions (Proof of (2) in Theorem II)
- (1)
- The solution for the basic form of type I
- (2)
- The solution for the basic form of type II
- (3)
- The general type
Appendix B. Proof of Theorem III






References
- Ising, E. Report on the theory of ferromagnetism. Z. Phys. 1925, 31, 253–258. [Google Scholar] [CrossRef]
- Onsager, L. Crystal Statistics I: A two-dimensional model with an order-disorder transition. Phys. Rev. 1944, 65, 117–149. [Google Scholar] [CrossRef]
- Zhang, Z.D. Conjectures on the exact solution of three-dimensional (3D) simple orthorhombic Ising lattices. Phil. Mag. 2007, 87, 5309–5419. [Google Scholar] [CrossRef]
- Zhang, Z.D. Mathematical structure of three-dimensional (3D) Ising model. Chin. Phys. B 2013, 22, 030513. [Google Scholar] [CrossRef]
- Newell, G.F.; Montroll, E.W. On the theory of the Ising model with ferromagnetism. Rev. Mod. Phys. 1953, 25, 353–389. [Google Scholar] [CrossRef]
- Ławrynowicz, J.; Marchiafava, S.; Niemczynowicz, A. An approach to models of order-disorder and Ising lattices. Adv. Appl. Clifford Algebra 2010, 20, 733–743. [Google Scholar] [CrossRef]
- Ławrynowicz, J.; Suzuki, O.; Niemczynowicz, A. On the ternary approach to Clifford structures and Ising lattices. Adv. Appl. Clifford Algebra 2012, 22, 757–769. [Google Scholar] [CrossRef][Green Version]
- Zhang, Z.D.; Suzuki, O.; March, N.H. Clifford algebra approach of 3D Ising model. Adv. Appl. Clifford Algebra 2019, 29, 12. [Google Scholar] [CrossRef]
- Zhang, Z.D. Computational complexity of spin-glass three-dimensional (3D) Ising model. J. Mater. Sci. Tech. 2020, 44, 116–120. [Google Scholar] [CrossRef]
- Zhang, Z.D. Exact solution of two-dimensional (2D) Ising model with a transverse field: A low-dimensional quantum spin system. Phys. E 2021, 128, 114632. [Google Scholar] [CrossRef]
- Wu, F.Y.; McCoy, B.M.; Fisher, M.E.; Chayes, L. Comment on a recent conjectured solution of the three-dimensional Ising model. Phil. Mag. 2008, 88, 3093–3095. [Google Scholar] [CrossRef]
- Wu, F.Y.; McCoy, B.M.; Fisher, M.E.; Chayes, L. Rejoinder to the Response to “Comment on a recent conjectured solution of the three-dimensional Ising model”. Phil. Mag. 2008, 88, 3103. [Google Scholar] [CrossRef]
- Perk, J.H.H. Comment on “Conjectures on exact solution of three-dimensional (3D) simple orthorhombic Ising lattices”. Phil. Mag. 2009, 89, 761–764. [Google Scholar] [CrossRef][Green Version]
- Perk, J.H.H. Rejoinder to the Response to the Comment on “Conjectures on exact solution of three-dimensional (3D) simple orthorhombic Ising lattices”. Phil. Mag. 2009, 89, 769–770. [Google Scholar] [CrossRef][Green Version]
- Perk, J.H.H. Comment on “Mathematical structure of the three—dimensional (3D) Ising model”. Chinese Phys. B 2013, 22, 131507. [Google Scholar] [CrossRef][Green Version]
- Fisher, M.E.; Perk, J.H.H. Comments concerning the Ising model and two letters by N.H. March. Phys. Lett. A 2016, 380, 1339–1340. [Google Scholar] [CrossRef]
- El-Showk, S.; Paulos, M.F.; Poland, D.; Rychkov, S.; Simmons-Duffin, D.; Vichi, A. Solving the 3d Ising model with the conformal bootstrap II. -Minimization and precise critical exponents. J. Stat. Phys. 2014, 157, 869–914. [Google Scholar] [CrossRef]
- Zhang, Z.D. Response to “Comment on a recent conjectured solution of the three-dimensional Ising model”. Phil. Mag. 2008, 88, 3097–3101. [Google Scholar] [CrossRef][Green Version]
- Zhang, Z.D. Response to the Comment on “Conjectures on exact solution of three dimensional (3D) simple orthorhombic Ising lattices”. Phil. Mag. 2009, 89, 765–768. [Google Scholar] [CrossRef][Green Version]
- Lou, S.L.; Wu, S.H. Three-dimensional Ising model and transfer matrices. Chin. J. Phys. 2000, 38, 841–854. [Google Scholar]
- Istrail, S. Universality of intractability for the partition function of the Ising model across non-planar lattices. In Proceedings of the 32nd ACM Symposium on the Theory of Computing, Portland, OR, USA, 21–23 May 2000; pp. 87–96. [Google Scholar]
- Gallavotti, G.; Miracle-Solé, S. Correlation functions of a lattice system. Commun. Math. Phys. 1968, 7, 274–288. [Google Scholar] [CrossRef]
- Lebowitz, J.L.; Penrose, O. Analytic and clustering properties of thermodynamic functions and distribution functions for classical lattice and continuum systems. Commun. Math. Phys. 1968, 11, 99–124. [Google Scholar] [CrossRef]
- Ruelle, D. Statistical Mechanics. In Rigorous Results; Benjamin: New York, NY, USA, 1969. [Google Scholar]
- Griffiths, R.B. Phase Transitions and Critical Phenomena; Domb, C., Green, M.S., Eds.; Academic Press: London, UK, 1972; Volume 1, Chapter 2, sections III and IV D. [Google Scholar]
- Miracle-Solé, S. Theorems on phase transitions with a treatment for the Ising model. In Lecture Notes in Physics; Springer: New York, NY, USA, 1976; Volume 54, p. 189. [Google Scholar]
- Sinai, Y.G. Theory of Phase Transitions: Rigorous Results; Pergamon Press: Oxford, UK, 1982; Chapter II. [Google Scholar]
- Yang, C.N.; Lee, T.D. Statistical theory of equations of state and phase transitions.1. Theory of condensation. Phys. Rev. 1952, 87, 404–409. [Google Scholar] [CrossRef]
- Lee, T.D.; Yang, C.N. Statistical theory of equations of state and phase transitions. 2. Lattice gas and Ising model. Phys. Rev. 1952, 87, 410–419. [Google Scholar] [CrossRef]
- Kaupuzs, J.; Melnik, R.V.N.; Rimsans, J. Corrections to finite–size scaling in the 3D Ising model based on non–perturbative approaches and Monte Carlo simulations. Inter. J. Modern Phys. C 2017, 28, 1750044. [Google Scholar] [CrossRef]
- Zhang, Z.D.; March, N.H. Three-dimensional (3D) Ising universality in magnets and critical indices at fluid-fluid phase transition. Phase Transit. 2011, 84, 299–307. [Google Scholar] [CrossRef]
- Klein, D.J.; March, N.H. Critical exponents in D dimensions for the Ising model, subsuming Zhang’s proposals for D = 3. Phys. Lett. A 2008, 372, 5052–5053. [Google Scholar] [CrossRef]
- March, N.H. Crucial combinations of critical exponents for liquids-vapour and ferromagnetic second-order phase transitions. Phys. Chem. Liquids 2014, 52, 697–699. [Google Scholar] [CrossRef]
- March, N.H. Similarities and contrasts between critical point behavior of heavy fluid alkalis and d-dimensional Ising model. Phys. Lett. A 2014, 378, 254–256. [Google Scholar] [CrossRef]
- March, N.H. Toward a final theory of critical exponents in terms of dimensionality d plus universality class n. Phys. Lett. A 2015, 379, 820–822. [Google Scholar] [CrossRef]
- March, N.H. Unified theory of critical exponents generated by the Ising Hamiltonian for discrete dimensionalities 2, 3 and 4 in terms of the critical exponent η. Phys. Chem. Liquids 2016, 54, 127–129. [Google Scholar] [CrossRef]
- Ławrynowicz, J.; Nowak-Kepczyk, M.; Suzuki, O. Fractals and chaos related to Ising-Onsager-Zhang lattices versus the Jordan-von Neumann-Wigner procedures. Quaternary approach. Inter. J. Bifurcation Chaos 2012, 22, 1230003. [Google Scholar] [CrossRef]
- Ławrynowicz, J.; Suzuki, O.; Niemczynowicz, A.; Nowak-Kepczyk, M. Fractals and chaos related to Ising-Onsager-Zhang lattices. Quaternary Approach vs. Ternary Approach. Adv Appl Clifford Alg 2020, 29, 45. [Google Scholar] [CrossRef]
- Kaupuzs, J. Power law singularities in n-vectur models. Canadian J. Phys. 2012, 90, 373–382. [Google Scholar] [CrossRef]
- Kaupuzs, J.; Melnik, R.V.N.; Rimsans, J. Scaling regimes and singularity of specific heat in the 3D Ising model. Commun. Comput. Phys. 2013, 14, 355–369. [Google Scholar] [CrossRef]
- Grigalaitis, R.; Lapinskas, S.; Banys, J.; Tornau, E.E. On ergodic relaxation time in the three-dimensional Ising model. Lith. J. Phys. 2013, 53, 157–162. [Google Scholar] [CrossRef][Green Version]
- Warda, K.; Wojtczak, L. The magnetic question of state and transport properties in reduced dimensions. Acta Phys. Pol. A 2017, 131, 878–880. [Google Scholar] [CrossRef]
- Zeyad, A.Z. Some new linear representations of matrix quaternions with some applications. J. King Saud Univ. Sci. 2019, 31, 42–47. [Google Scholar]
- Zeng, D.F. Emergent time axis from statistic/gravity dualities. arXiv 2014, arXiv:1407.8504. [Google Scholar]
- Cheng, J.; Di, Z.R. Collective behavior and spin model on complex networks. Adv. Mech. 2008, 38, 733–750. [Google Scholar]
- Zhang, O.B.; Fan, Y.; Di, Z.R. Influence of balanced structure on the spread of public opinion in signed networks. Complex Syst. Complex. Sci. 2019, 16, 1672–3813. [Google Scholar]
- Lu, Z.M.; Si, N.; Wang, Y.N.; Zhang, F.; Meng, J.; Miao, H.L.; Jiang, W. Unique magnetism in different sizes of center decorated tetragonal nanoparticles with the anisotropy. Phys. A 2019, 523, 438–456. [Google Scholar] [CrossRef]
- Wang, X.S.; Zhang, F.; Si, N.; Meng, J.; Zhang, Y.L.; Jiang, W. Unique magnetic and thermodynamic properties of a zigzag graphene nanoribbon. Phys. A 2019, 527, 121356. [Google Scholar] [CrossRef]
- Yang, M.; Wang, W.; Li, B.C.; Wu, H.J.; Yang, S.Q.; Yang, J. Magnetic properties of an Ising ladder-like graphene nanoribbon by using Monte Carlo method. Phys. A 2020, 539, 122932. [Google Scholar] [CrossRef]
- Li, Q.; Li, R.D.; Wang, W.; Geng, R.Z.; Huang, H.; Zheng, S.J. Magnetic and thermodynamic characteristics of a rectangle Ising nanoribbon. Phys. A 2020, 555, 124741. [Google Scholar] [CrossRef]
- Ghorai, S.; Skini, R.; Hedlund, D.; Ström, P.; Svedlindh, P. Field induced crossover in critical behaviour and direct measurement of the magnetocaloric properties of La0.4Pr0.3Ca0.1Sr0.2MnO3. Sci. Rep. 2020, 10, 19485. [Google Scholar] [CrossRef]
- Paszkiewicz, A.; Węrzyn, J. Responsiveness of the sensor network to alarm events based on the Potts model. Sensors 2020, 20, 6979. [Google Scholar] [CrossRef]
- Ma, S.Y.; Zhang, H.Z. Opinion expression dynamics in social media chat groups: An integrated quasi-experimental and agent-based model approach. Complexity 2021, 2304754. [Google Scholar] [CrossRef]
- Zhang, Z.D. The nature of three dimensions: Non-local behavior in the three-dimensional (3D) Ising model. J. Phys. Conf. Ser. 2017, 827, 012001. [Google Scholar] [CrossRef]
- Zhang, Z.D. Topological effects and critical phenomena in the three-dimensional (3D) Ising model, Chapter 27. In Many-Body Approaches at Different Scales: A Tribute to Norman H. March on the Occasion of his 90th Birthday; Angilella, G.G.N., Amovilli, C., Eds.; Springer: New York, NY, USA, 2018. [Google Scholar]
- Kaufman, B. Crystal Statistics II: Partition function evaluated by spinor analysis. Phys. Rev. 1949, 76, 1232–1243. [Google Scholar] [CrossRef]
- Kauffman, L.H. Knots and Physics, 3rd ed.; World Scientific Publishing Co. Pte. Ltd.: Singapore, 2001. [Google Scholar]
- Kauffman, L.H. Knot Theory and Physics. In The Encyclopedia of Mathematical Physics; Francoise, J.P., Naber, G.L., Tsun, T.S., Eds.; Elsevier: Amsterdam, The Netherlands, 2007. [Google Scholar]
- Röhrl, H. Das Riemannsch—Hilbertsche Problem der Theorie der Linieren Differentialgleichungen. Math. Ann. 1957, 133, 1–25. [Google Scholar]
- Suzuki, O. The Problem of Riemann and Hilbert and the Relations of Fuchs in Several Complex Variables, Lecture Notes in Math; Springer: Berlin, Germany, 1977; Volume 712, pp. 325–364. [Google Scholar]
- Lipman, J. Desingularization of two-dimensional schemes. Ann. Math. 1978, 107, 151–207. [Google Scholar] [CrossRef]
- Hartshone, R. Algebraic Geometry, Graduate Texts in Math; Springer: New York, NY, USA, 1977; p. 52. [Google Scholar]
- Kock, A. Strong functors and monoidal monads. Arch. Math. 1972, 23, 113–120. [Google Scholar] [CrossRef]
- Baez, J.C. Higher dimensional algebra I. braided monoidal 2-categories. Adv. Math. 1996, 121, 196–244. [Google Scholar] [CrossRef]
- Bespalov, Y.N. Crossed modules and quantum groups in braided categories. Appl. Categ. Struct. 1997, 5, 155–204. [Google Scholar] [CrossRef]
- Bespalov, Y.; Drabant, B. Hopf (bi-)modules and crossed modules in braided monoidal categories. J. Pure Appl. Algebra 1998, 123, 105–129. [Google Scholar] [CrossRef]
- Majid, S. Braided groups. J. Pure Appl. Algebra 1993, 86, 187–221. [Google Scholar] [CrossRef]
- Kapranov, M.; Voevodsky, V. Braided monoidal 2-categories and Manin-Schechtman higher braid groups. J. Pure Appl. Algebra 1994, 92, 241–267. [Google Scholar] [CrossRef][Green Version]
- Balteanu, C.; Fiedorowicz, Z.; Schwänzl, R.; Vogt, R. Iterated monoidal categories. Adv. Math. 2003, 176, 277–349. [Google Scholar] [CrossRef]
- Joyal, A.; Street, R.; Verity, D. Traced monoidal categories. Math. Proc. Gamb. Phil. Soc. 1996, 119, 447–468. [Google Scholar] [CrossRef]
- Bichon, J.; Rijdt, A.D.; Vaes, S. Ergodic coactions with large multiplicity and monoidal equivalence of quantum groups. Commun. Math. Phys. 2006, 262, 703–728. [Google Scholar] [CrossRef]
- Etingof, P.; Varchenko, A. Solutions of the quantum dynamical Yang–Baxter equation and dynamical quantum groups. Commun. Math. Phys. 1998, 196, 591–640. [Google Scholar] [CrossRef]
- Yetter, D.N. Quantum groups and representations of monoidal categories. Math. Proc. Camb. Phil. Soc. 1990, 108, 261–290. [Google Scholar] [CrossRef]
- Majid, S. Transmutation theory and rank for quantum braided groups. Math. Proc. Camb. Phil. Soc. 1993, 113, 45–70. [Google Scholar] [CrossRef]
- Nikshych, D.; Turaev, V.; Vainerman, L. Invariants of knots and 3-manifolds from quantum groupoids. Topol. Appl. 2003, 127, 91–123. [Google Scholar] [CrossRef]
- Yang, C.N. Some exact results for the many-body problem in one dimension with repulsive delta-function interaction. Phys. Rev. Lett. 1967, 19, 1312–1315. [Google Scholar] [CrossRef]
- Baxter, R.J. Partition function of the eight-vertex lattice model. Ann. Phys. 1972, 70, 193–228. [Google Scholar] [CrossRef]
- Zamolodchikov, A.B. Tetrahedron equations and the relativistic S-matrix of straight-strings in 2+1 dimensions. Commun. Math. Phys. 1981, 79, 489–505. [Google Scholar] [CrossRef]
- Jaekel, M.T.; Maillard, J.M. Symmetry-relaxations in exactly soluble models. J. Phys. A 1982, 15, 1309–1325. [Google Scholar] [CrossRef]
- Stroganov, Y.G. Tetrahedron equation and spin integrable models on a cubic lattice. Theor. Math. Phys. 1997, 110, 141–167. [Google Scholar] [CrossRef]
- Zhang, Z.D.; Suzuki, O. A method of Riemann-Hilbert problem for Zhang’s conjecture 2 in a ferromagnetic 3D Ising model: Topological phase. 2021. to be published. [Google Scholar]
- Binney, J.J.; Dowrick, N.J.; Fisher, A.J.; Newman, M.E.J. The Theory of Critical Phenomena, An Introduction to the Renormalization Group; Clarendon Press: Oxford, UK, 1992. [Google Scholar]
- Francesco, P.D.; Mathieu, P.; Sénéchal, D. Conformal Field Theory; Springer: New York, NY, USA, 1996. [Google Scholar]
- Zhang, Z.D.; March, N.H. Temperature-time duality exemplified by Ising magnets and quantum-chemical many electron theory. J. Math. Chem. 2011, 49, 1283–1290. [Google Scholar] [CrossRef]
- Zhang, Z.D. On topological quantum statistical mechanics and topological quantum field theories. to be published.
- Wilson, K.G.; Fisher, M.E. Critical exponents in 3.99 dimensions. Phys. Rev. Lett. 1972, 28, 240–243. [Google Scholar] [CrossRef]
- Wilson, K.G. Feynman-graph expansion for critical exponents. Phys. Rev. Lett. 1972, 28, 548–551. [Google Scholar] [CrossRef]
- Wilson, K.G. The renormalization group and critical phenomena. Rev. Mod. Phys. 1983, 55, 583–600. [Google Scholar] [CrossRef]


















| b | 1 | C | |||
|---|---|---|---|---|---|
| a | |||||
| 1 | 1 | 1 | C | C | |
| C | C | C | 1 | 1 | |
Publisher’s Note: MDPI stays neutral with regard to jurisdictional claims in published maps and institutional affiliations. |
© 2021 by the authors. Licensee MDPI, Basel, Switzerland. This article is an open access article distributed under the terms and conditions of the Creative Commons Attribution (CC BY) license (https://creativecommons.org/licenses/by/4.0/).
Share and Cite
Suzuki, O.; Zhang, Z. A Method of Riemann–Hilbert Problem for Zhang’s Conjecture 1 in a Ferromagnetic 3D Ising Model: Trivialization of Topological Structure. Mathematics 2021, 9, 776. https://doi.org/10.3390/math9070776
Suzuki O, Zhang Z. A Method of Riemann–Hilbert Problem for Zhang’s Conjecture 1 in a Ferromagnetic 3D Ising Model: Trivialization of Topological Structure. Mathematics. 2021; 9(7):776. https://doi.org/10.3390/math9070776
Chicago/Turabian StyleSuzuki, Osamu, and Zhidong Zhang. 2021. "A Method of Riemann–Hilbert Problem for Zhang’s Conjecture 1 in a Ferromagnetic 3D Ising Model: Trivialization of Topological Structure" Mathematics 9, no. 7: 776. https://doi.org/10.3390/math9070776
APA StyleSuzuki, O., & Zhang, Z. (2021). A Method of Riemann–Hilbert Problem for Zhang’s Conjecture 1 in a Ferromagnetic 3D Ising Model: Trivialization of Topological Structure. Mathematics, 9(7), 776. https://doi.org/10.3390/math9070776

