Modeling, Simulation and Uncertain Optimization of the Gun Engraving System
Abstract
1. Introduction
2. Modeling of the Gun Engraving System and Experimental Investigation of Engraving Process
2.1. Introduction of Engraving Process
2.2. Investigation of Engraving Process by Real Gun Launch Experiment
2.3. Modeling of the Gun Engraving System and Results of Dynamic Response
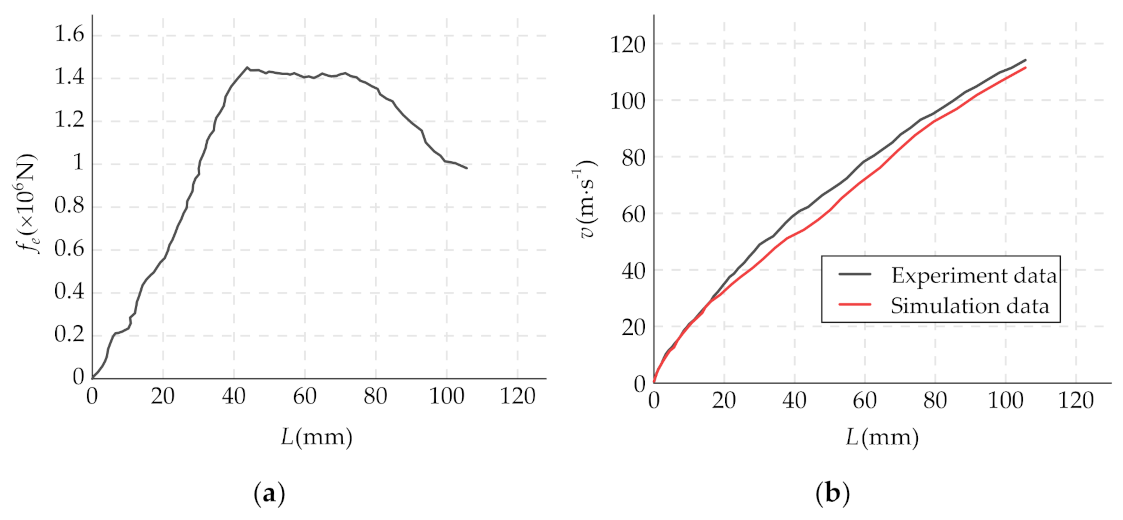
2.3.1. Launch-Load Model and its Calculation Results
2.3.2. Finite Element Model and its Simulation Results
3. Sensitivity Analysis of Size Parameters of the Gun Engraving System
3.1. The Meaning and Range of Size Parameters
3.2. The Method and Process of Sensitivity Analysis
3.3. The Results of Sensitivity Analysis
4. The Interval Uncertain Optimization Method Based on Affine Arithmetic
4.1. Nonlinear Interval Uncertain Optimization Problem
4.2. Affine Arithmetic
4.3. An Optimization Method Based on Affine Arithmetic
5. Uncertain Optimization of the Gun Engraving System
5.1. Optimization Model
5.2. Optimization Results
6. Conclusions
- 1.
- During the engraving process, the projectile rotating bands are squeezed by the bore surface and cut by riflings, which will lead to the plastic deformation and damage of the rotating bands. The functions of this process are making the projectile rotate and avoiding the spillage of the propellant gas. On the other hand, the cut and squeezing process also generates the engraving resistance force, which will impede the projectile motion. By the mechanism analysis of the engraving process, twelve related size parameters are selected for the sensitivity analysis
- 2.
- After the optimal design of size parameters of the gun engraving system, the percent decrease of maximum engraving resistance force ranges from 6.34% to 18.24%, which means an increase of the engraving-completion velocity of the projectile. The percent decrease of maximum propellant gas temperature ranges from 1.91% to 7.45%, which means the improvement in erosion degree and service life of the gun barrel. The percent increase of the minimum pressure wave of the propellant gas ranges from 0.12% to 0.36%, which means that the combustion stability of the propellant has no obvious effect.
Author Contributions
Funding
Institutional Review Board Statement
Informed Consent Statement
Data Availability Statement
Conflicts of Interest
References
- Wu, B.; Fang, L.H.; Zheng, J.; Yu, X.H.; Jiang, K.; Wang, T.; Hu, L.M.; Chen, Y.L. Strain Hardening and Strain-Rate Effect in Friction Between Projectile and Barrel During Engraving Process. Tribol. Lett. 2019, 67, 1–8. [Google Scholar] [CrossRef]
- Wu, B.; Zheng, J.; Tian, Q.-t.; Zou, Z.-q.; Chen, X.-l.; Zhang, K.-s. Friction and wear between rotating band and gun barrel during engraving process. Wear 2014, 318, 106–113. [Google Scholar] [CrossRef]
- Wu, B.; Zheng, J.; Tian, Q.-t.; Zou, Z.-q.; Yu, X.-h.; Zhang, K.-s. Tribology of rotating band and gun barrel during engraving process under quasi-static and dynamic loading. Friction 2014, 2, 330–342. [Google Scholar] [CrossRef]
- Wu, B.; Fang, L.-h.; Chen, X.-l.; Zou, Z.-q.; Yu, X.-h.; Chen, G. Fabricating Aluminum Bronze Rotating Band for Large-Caliber Projectiles by High Velocity Arc Spraying. J. Therm. Spray Technol. 2013, 23, 447–455. [Google Scholar] [CrossRef]
- Wu, B.; Zheng, J.; Qiu, J.; Zou, Z.-q.; Yan, K.-b.; Chen, X.-l.; Hu, L.-m.; Zhang, K.-s.; Chen, R.-g. Preparation of the projectile rotating band and its performance evaluation. Adhes. Sci. Technol. 2016, 30, 1143–1164. [Google Scholar] [CrossRef]
- Sudarsan, N.V.; Sarsar, R.B.; Das, S.K.; Naik, S.D. Prediction of Shot Start Pressure for Rifled Gun System. Def. Sci. J. 2018, 68, 144–149. [Google Scholar] [CrossRef]
- Sun, Q.; Yang, G.; Ge, J. Modeling and simulation on engraving process of projectile rotating band under different charge cases. J. Vibrat. Control. 2016, 23, 1044–1054. [Google Scholar] [CrossRef]
- Monreal-González, G.; Otón-Martínez, R.A.; Velasco, F.J.S.; García-Cascáles, J.R.; Ramírez-Fernández, F.J. One-Dimensional Modelling of Internal Ballistics. J. Energ. Mater. 2017, 35, 397–420. [Google Scholar] [CrossRef]
- Monreal-González, G.; Otón-Martínez, R.A.; Velasco, F.J.S.; García-Cascales, J.R.; Moratilla-Fernández, D. A one-dimensional code for the analysis of internal ballistic problems. In Proceedings of the 28th International Symposium on Ballistics, Atlanta, GA, USA, 22–26 September 2014. [Google Scholar]
- Otón-Martínez, R.A.; Monreal-González, G.; García-Cascales, J.R.; Vera-García, F.; Velasco, F.J.S.; Ramírez-Fernández, F.J. An approach formulated in terms of conserved variables for the characterisation of propellant combustion in internal ballistics. Int. J. Numer. Methods Fluids. 2015, 79, 394–415. [Google Scholar] [CrossRef]
- López, M.; García, C.; Velasco; Otón, M. An Energetic Model for Detonation of Granulated Solid Propellants. Energies 2019, 12, 4459. [Google Scholar] [CrossRef]
- Wang, S.; Yao, Y.; Long, X. Critical review of size effects on microstructure and mechanical properties of solder joints for electronic packaging. Appl. Sci. 2019, 9, 227. [Google Scholar] [CrossRef]
- Cavas, F.; Pinero, D.; Velazquez, J.S.; Mira, J.; Alio, J.L. Relationship between Corneal Morphogeometrical Properties and Biomechanical Parameters Derived from Dynamic Bidirectional Air Applanation Measurement Procedure in Keratoconus. Diagnostics 2020, 10, 640. [Google Scholar] [CrossRef]
- Luhandjula, M.K. Fuzzy optimization: Milestones and perspectives. Fuzzy Sets Syst. 2015, 274, 4–11. [Google Scholar] [CrossRef]
- Jiang, C.; Han, X.; Liu, G.P. A sequential nonlinear interval number programming method for uncertain structures. Comput. Meth. Appl. Mech. Eng. 2008, 197, 4250–4265. [Google Scholar] [CrossRef]
- Jiang, C.; Han, X.; Liu, G.R.; Liu, G.P. A nonlinear interval number programming method for uncertain optimization problems. Eur. J. Oper. Res. 2008, 188, 1–13. [Google Scholar] [CrossRef]
- Chen, S.H.; Wu, J.; Chen, Y.D. Interval optimization for uncertain structures. Finite Elem. Anal. Des. 2004, 40, 1379–1398. [Google Scholar] [CrossRef]
- Li, Y.; Xu, Y.L. Increasing accuracy in the interval analysis by the improved format of interval extension based on the first order Taylor series. Mech. Syst. Signal. Proc. 2018, 104, 744–757. [Google Scholar] [CrossRef]
- Zhou, J.; Li, M. Advanced Robust Optimization With Interval Uncertainty Using a Single-Looped Structure and Sequential Quadratic Programming. J. Mech. Des. 2014, 136, 021008. [Google Scholar] [CrossRef]
- Wu, J.; Zhang, Y.; Chen, L.; Luo, Z. A Chebyshev interval method for nonlinear dynamic systems under uncertainty. Appl. Math. Model. 2013, 37, 4578–4591. [Google Scholar] [CrossRef]
- Wang, L.; Chen, Z.; Yang, G. An interval uncertainty analysis method for structural response bounds using feedforward neural network differentiation. Appl. Math. Model. 2020, 82, 449–468. [Google Scholar] [CrossRef]
- Wang, L.; Chen, Z.; Yang, G.; Sun, Q.; Ge, J. An interval uncertain optimization method using back-propagation neural network differentiation. Comput. Meth. Appl. Mech. Eng. 2020, 366, 113065. [Google Scholar] [CrossRef]
- Luque, M.; Marcenaro-Gutierrez, O.D.; Ruiz, A.B. Evaluating the global efficiency of teachers through a multi-criteria approach. Socio-Econ. Plan. Sci. 2020, 70, 100676. [Google Scholar] [CrossRef]
- Ruiz, A.B.; Saborido, R.; Bermúdez, J.D.; Luque, M.; Vercher, E. Preference-based evolutionary multi-objective optimization for portfolio selection: A new credibilistic model under investor preferences. J. Glob. Optim. 2019, 76, 295–315. [Google Scholar] [CrossRef]
- Luque, M.; Gonzalez-Gallardo, S.; Saborido, R.; Ruiz, A.B. Adaptive Global WASF-GA to handle many-objective optimization problems. Swarm Evol. Comput. 2020, 54, 100644. [Google Scholar] [CrossRef]
- Luque, M.; Ruiz, A.B.; Saborido, R.; Marcenaro-Gutiérrez, Ó.D. On the use of the Lp distance in reference point-based approaches for multiobjective optimization. Ann. Oper. Res. 2015, 235, 559–579. [Google Scholar] [CrossRef]
- Cavas Martinez, F.; Garcia Fernandez-Pacheco, D. Virtual Simulation: A technology to boost innovation and competitiveness in industry. Dyna 2019, 94, 118–119. [Google Scholar] [CrossRef]
- Ruiz, L.; Torres, M.; Gómez, A.; Díaz, S.; González, J.M.; Cavas, F. Detection and Classification of Aircraft Fixation Elements during Manufacturing Processes Using a Convolutional Neural Network. Appl. Sci. 2020, 10, 6856. [Google Scholar] [CrossRef]
- Velázquez, J.S.; Cavas, F.; Bolarín, J.M.; Alió, J.L. 3D Printed Personalized Corneal Models as a Tool for Improving Patient’s Knowledge of an Asymmetric Disease. Symmetry 2020, 12, 151. [Google Scholar] [CrossRef]
- Luo, Q.; Zhang, X. Numerical simulation of gas-solid two-phase reaction flow with multiple moving boundaries. Int. J. Numer. Methods Heat Fluid Flow 2015, 25, 375–390. [Google Scholar] [CrossRef]
- Jaramaz, S.; Micković, D.; Elek, P. Two-phase flows in gun barrel: Theoretical and experimental studies. Int. J. Multiph. Flow. 2011, 37, 475–487. [Google Scholar] [CrossRef]
- MacCormack, R. The effect of viscosity in hypervelocity impact cratering. In Proceedings of the 4th Aerodynamic Testing Conference, Cincinnati, OH, USA, 28–30 April 1969; American Institute of Aeronautics and Astronautics: Reston, VA, USA, 1969. [Google Scholar]
- Park, J.-S. Optimal Latin-hypercube designs for computer experiments. J. Stat. Plan. Infer. 1994, 39, 95–111. [Google Scholar] [CrossRef]
- Chao, J. Theories and algorithms of uncertain optimization based on interval. Doctoral Thesis, Hunan University, Changsha, China, 2008. [Google Scholar]
- Whitley, D. A genetic algorithm tutorial. Stat. Comput. 1994, 2, 65–85. [Google Scholar] [CrossRef]
- Wang, G.G.; Shan, S. Review of Metamodeling Techniques in Support of Engineering Design Optimization. J. Mech. Des. 2007, 129, 370–380. [Google Scholar] [CrossRef]
- Deb, K.; Pratap, A.; Agarwal, S.; Meyarivan, T. A fast and elitist multiobjective genetic algorithm: NSGA-II. IEEE Trans. Evol. Comput. 2002, 6, 182–197. [Google Scholar] [CrossRef]
























| Symbol | Meaning | Symbol | Meaning |
|---|---|---|---|
| x | Displacement | t | Time |
| Porosity | Generation mass of the propellant gas | ||
| Propellant gas density | Solid propellant density | ||
| Propellant gas velocity | Solid propellant velocity | ||
| Internal energy of the propellant gas | Internal energy of the solid propellant | ||
| Interphase resistance | Interphase heat transfer | ||
| Particle stress |
| Component | Material Name | Young’s Modulus | Poisson’s Ratio | Density |
|---|---|---|---|---|
| Projectile | steel | 192 GPa | 0.31 | 5421 kg·m−3 |
| Gun barrel | steel | 210 GPa | 0.31 | 7832 kg·m−3 |
| Riflings | steel | 210 GPa | 0.31 | 7832 kg·m−3 |
| Rotating bands | copper | 125 GPa | 0.34 | 8962 kg·m−3 |
| A | B | C | m | n | d1 | d2 | d3 | d4 | d5 |
|---|---|---|---|---|---|---|---|---|---|
| 90 | 292 | 0.025 | 1.09 | 0.31 | 0.54 | 4.89 | 3.03 | 0.014 | 1.12 |
| Size Parameters | Initial Value | Lower Bound | Upper Bound |
|---|---|---|---|
| (mm) | 6.3 | 5.7 | 6.8 |
| (mm) | 3.2 | 2.9 | 3.6 |
| (mm) | 3.1 | 2.8 | 3.5 |
| (mm) | 25.2 | 23.9 | 26.7 |
| (mm) | 8.3 | 7.6 | 8.9 |
| (mm) | 3.2 | 2.9 | 3.6 |
| (mm) | 3.1 | 2.8 | 3.5 |
| (mm) | 24.9 | 23.7 | 26.3 |
| (mm) | 49.6 | 47.1 | 52.1 |
| (mm) | 2.5 | 2.2 | 2.9 |
| (mm) | 3.8 | 3.4 | 4.3 |
| (˚) | 3.3 | 3.1 | 3.6 |
| Interval of Objective Function | Interval of | Computation Time of Numerical Example | ||
|---|---|---|---|---|
| Two-layer nested method | [73.01, 88.58] | [6.19, 7.28] | [40.47, 54.80] | 544.48 s |
| Affine arithmetic-based method | [72.94, 88.52] | [6.21, 7.30] | [40.43, 54.99] | 1.944 s |
| Errors | 0.38% | 0.32% | 1.6% | - |
| Initial value | 8.3 mm | 24.9 mm | 2.5 mm | 3.8 mm |
| Optimized value | 8.7 mm | 26.2 mm | 2.3 mm | 3.5 mm |
| Initial upper bound | 1.48 × 106 N | 2611.43 K | −4.218 Mpa |
| Initial lower bound | 1.42 × 106 N | 2519.07 K | −4.211 Mpa |
| Optimized upper bound | 1.33 × 106 N | 2471.08 K | −4.206 Mpa |
| Optimized lower bound | 1.21 × 106 N | 2416.75 K | −4.203 Mpa |
| Change percent | (−18.24%, −6.34%) | (−7.45%, −1.91%) | (0.12%, 0.36%) |
Publisher’s Note: MDPI stays neutral with regard to jurisdictional claims in published maps and institutional affiliations. |
© 2021 by the authors. Licensee MDPI, Basel, Switzerland. This article is an open access article distributed under the terms and conditions of the Creative Commons Attribution (CC BY) license (http://creativecommons.org/licenses/by/4.0/).
Share and Cite
Xin, T.; Yang, G.; Xu, F.; Sun, Q.; Minak, A. Modeling, Simulation and Uncertain Optimization of the Gun Engraving System. Mathematics 2021, 9, 398. https://doi.org/10.3390/math9040398
Xin T, Yang G, Xu F, Sun Q, Minak A. Modeling, Simulation and Uncertain Optimization of the Gun Engraving System. Mathematics. 2021; 9(4):398. https://doi.org/10.3390/math9040398
Chicago/Turabian StyleXin, Tong, Guolai Yang, Fengjie Xu, Quanzhao Sun, and Alexandi Minak. 2021. "Modeling, Simulation and Uncertain Optimization of the Gun Engraving System" Mathematics 9, no. 4: 398. https://doi.org/10.3390/math9040398
APA StyleXin, T., Yang, G., Xu, F., Sun, Q., & Minak, A. (2021). Modeling, Simulation and Uncertain Optimization of the Gun Engraving System. Mathematics, 9(4), 398. https://doi.org/10.3390/math9040398
