Abstract
In this paper, we analyze the behavior of a nonlinear reconstruction operator called PPH around discontinuities. The acronym PPH stands for Piecewise Polynomial Harmonic, since it uses piecewise polynomials defined by means of an adaption based on the use of the weighted Harmonic mean. This study is carried out in the general case of nonuniform grids, although for some results we restrict to quasi-uniform grids. In particular we analyze the numerical order of approximation close to jump discontinuities and the elimination of the Gibbs effects. We show, both theoretically and with numerical examples, that the numerical order is reduced but not completely lost as it is the case in their linear counterparts. Moreover we observe that the reconstruction is free of any Gibbs effects for sufficiently small grid sizes.
1. Introduction
Due to the extended use of reconstruction operators in many fields of application, ranging from hyperbolic conservation laws to computer aided geometric design, it is of great importance to dispose of efficient methods to build them for different situations. In general, and for the sake of simplicity, the considered functions are polynomials. High degree polynomials are, however, usually avoided because they are known to generate oscillations and undesirable effects.
Linear operators behave improperly in presence of jump discontinuities, so that different nonlinear operators have emerged to deal with this problematic. Recent approaches to deal with similar problems of functions affected by discontinuities can be found for example in [1,2,3,4,5]. And these nonlinear methods also give rise to interesting applications. To mention some of them one can refer to [6,7,8,9,10,11].
In this article we pay attention to one of these operators that was defined in [12] under the name PPH (Piecewise Polynomial Harmonic). This operator can be seen as a nonlinear counterpart of the classical four points piecewise Lagrange interpolation. The theoretical analysis as much as the practical applications were developed in uniform grids in previous articles (see, for example, [12,13,14,15,16,17,18]). In turn these reconstruction operators are the heart of the definition of associated subdivision and multiresolution schemes [5,19,20,21].
In this paper, we extend the definition of the PPH reconstruction operator to data over non uniform grids and we study some properties of this operator. In particular, we analyze the behavior of the operator in presence of jump discontinuities. We prove adaption to the jump discontinuity in the sense that some order of approximation is maintained in the area close to the discontinuity, on the contrary to what happens with linear operators that lose completely the approximation order. We also prove, as much theoretically as in numerical experiments, the absence of any Gibss phenomena.
The paper is organized as follows—in Section 2 we remind the nonlinear PPH reconstruction operator [22] on nonuniform grids. Section 3 is dedicated to study the adaption of the operator to the presence of jump discontinuities, making some emphasis in the order of approximation. In Section 4 we analyze the behavior of the operator with respect to the Gibbs phenomena. In Section 5 we present some numerical tests. Finally, some conclusions are given in Section 6.
2. A Nonlinear PPH Reconstruction Operator on Non Uniform Grids
In this section we recall the definition of the nonlinear PPH reconstruction operator on nonuniform grids, see [22]. We include the necessary elements for the rest of the article. In [22] the reconstruction operator is designed to deal with strictly convex functions, albeit it is also of interest in the case of working with piecewise smooth functions affected by isolated jump discontinuities. This will be our case of interest in this section and in the rest of the article.
Let us define a nonuniform grid in Let us also denote the nonuniform spacing between abscissae. We consider underlying piecewise continuous functions with at most a finite set of isolated corner or jump discontinuities, and let us call the ordinates corresponding to the point values of the function at the given abscissae. We also introduce the following notations. In first place, the second order divided differences
in second place a weighted arithmetic mean of and defined as
with the weights
Given these ingredients in [22] we can find the following definitions, and results that we will use later.
Lemma 1.
Let us consider the set of ordinates for some at the abscissae of a nonuniform grid . Then the values and at the extremes can be expressed as
with the constants given by
Definition 1.
Given and such that and we denote as the function
Lemma 2.
If and the harmonic mean is bounded as follows
Next definition, which is commonly used in numerical analysis, is going to be essential through the rest of the article.
Definition 2.
An expression means that there exist and such that
Lemma 3.
Let a fixed positive real number, and let and If , and then the weighted harmonic mean is also close to the weighted arithmetic mean
Definition 3
(PPH reconstruction). Let be a nonuniform mesh. Let a sequence in Let and be the second order divided differences, and for each let us consider the modified values built according to the following rule
According to Definition 3, it is possible to establish a parallelism with Lagrange interpolation, in fact we can write the PPH reconstruction as
where the the coefficients are calculated by imposing conditions (12). We explain each one of the two possible local cases, Case 1 or Case 2. The coefficients will have symmetrical expressions.
Case 1. , which means that a potential singularity may lay in . It has been proposed to replace with in Equation (9) by changing the weighted arithmetic mean in Equation (4b) for its corresponding weighted harmonic mean. This replacement has been performed to carry out a witty modification of the value in such a way that its difference with respect to the original is large in presence of a discontinuity, but remains sufficiently small in smooth areas maintaining the approximation order. Lemma 2 is crucial for the adaption in case of dealing with the presence of a jump discontinuity, while Lemma 3 plays a fundamental part in proving fourth approximation order for smooth areas of an underlying function.
In this case the coefficients of the PPH polynomial read
For our purposes, in the next sections we need to examine deeper the relation with Lagrange interpolation. In particular we get that
and considering the Lagrange interpolation polynomial written in the same form as in (13), that is
we get that the difference of these coefficients with the ones of is given by
Case 2. , which means that a possible singularity lies in . In this case, in Definition 3, the value is replaced with by using expression (10). Similar comments apply in this case due to symmetry considerations. The coefficients for the polynomial (13) now read
The expressions relating the coefficients of the PPH polynomial with the Lagrange interpolation polynomial now write
In next section, we will study the approximation order of the PPH reconstruction operator in presence of isolated jump discontinuities.
3. Approximation Order around Jump Discontinuities
We are going to study the approximation order of the given reconstruction for functions of class with an isolated jump discontinuity at a given point We consider only the case of working with quasi-uniform grids, according with the following definition.
Definition 4.
A nonuniform mesh is said to be a σ quasi-uniform mesh if there exist and a finite constant σ such that
In what follows we give a proposition proving full order accuracy for convex regions of the function, that is fourth order accuracy, and observing that the approximation order is reduced to second order close to the singularities and to third order close to inflection points. We would like to focuss especial attention to the intervals around the discontinuity where the order is reduced, but not completely lost.
Theorem 1.
Let be a function of class with a jump discontinuity at the point Let be a σ quasi-uniform mesh in with and the sequence of point values of the function Let us consider such that a fixed positive real number, Ω the set of all inflexion points of and the distance function defined by
Then, the reconstruction satisfies
- 1.
- In if and then
- 2.
- In if and or then
- 3.
- In if
- 4.
- Inwhere
Proof.
We do the proof point by point.
- 1.
- Given the reconstruction operator is built asFrom hypothesis we have that the initial data are strictly convex in the considered area (for a concave function the arguments remain the same) and therefore they satisfy for some Since second order divided differences amount to second derivatives at an intermediate point divided by two, i.e.,with and Therefore, we haveand from (21) we get thatThuswhere is the Lagrange interpolatory polynomial. Taking into account again the triangular inequalityusing that Lagrange interpolation also attains fourth order accuracy.
- 2.
- We now prove Point 2. Since or and depending on the exact distance to the inflection point we encounter with Then from Equation (21) we directly get and the rest of the proof follows exactly the same track as in Point 1, giving the enunciated result.
- 3.
- For proving Point 3, we observe that in this case and again following the same track as in previous points we getand therefore in this case the accuracy is reduced to third order.
- 4.
- In order to prove Point 4, let us suppose without lost of generalization that The other case it is proven analogously. Since by hypothesis the function is smooth in , and it presents a jump discontinuity at the interval we have and Therefore .Let be the second degree Lagrange interpolatory polynomial built using the three pairs of values .whereThe difference between these coefficients and the ones of shown in Equation (14) is given byAt this stage we distinguish two cases:
- 4.1.
- .
- 4.2.
- .
And these last chains of equations finish the proof.
□
We observe that close to the jump discontinuity, that is, in the intervals and we do not lose all accuracy, but we maintain at least second order accuracy. Unfortunately, in the central interval containing the singularity this approach does not allow us to obtain any gain with respect to other reconstruction operators.
Remark 1.
Notice that linear reconstruction operators based on an stencil of four points typically lose the approximation order in three intervals around discontinuities, while the introduced nonlinear reconstruction operator only loses completely the aproximation order in the interval containing the jump discontinuity and maintains at least second order accuracy, that is, in the adjacent intervals. In the interval containing the jump discontinuity the approximation order is lost also in the nonlinear reconstruction strategy, since with point values of the function it is impossible to detect the exact position of the jump discontinuity.
Remark 2.
The order reduction due to inflection points can be tackled using a translation strategy in the definition of the Harmonic mean, to avoid arguments of different signs. This strategy complicates the definition of the operator, but it has been satisfactorily introduced on various occasions [12,23]. In practice the translation is needed not only at the interval containing the inflection point, but also in adjacent intervals.
4. Analysis of Gibbs Phenomena around Jump Discontinuities
In this section we are going to give a result analyzing the behavior of the proposed nonlinear reconstruction with respect to the generation of possible Gibbs effects due to the presence of jump discontinuities in the underlying function. In particular we prove the following proposition.
Before enunciating the theorem we introduce some definitions.
Definition 5.
Given a σ quasi-uniform grid in we define, for (the larger the k the larger the resolution), the set of nested grids given by where and
Let us also denote the size of a jump discontinuity, the straight line joining the points and the vertical distance from the reconstruction to the horizontal line passing through the middle point of and The respective expressions come given by
We will also use as the maximum distance between and measured perpendicularly to
Theorem 2.
Let be a set of nested σ quasi-uniform grids in Let be a function with four continuous derivatives in all the real line with an isolated jump discontinuity at the abscissa μ located at a certain for each where j depends on Then, the reconstruction associated to the data does not generate Gibbs phenomena. In particular, the following statements hold:
- 1.
- 2.
- 3.
- 4.
- lies inside the rectangle
- 5.
- where
Proof.
Let us consider large enough, such that
We carry out the rest of the proof addressing point after point.
1. Since only three intervals are affected by the jump discontinuity for construction, then
2. We are going to show now that the oscillations due to the presence of the discontinuity diminish at the interval with k increasing.
In the PPH reconstruction amounts to
As the coefficients are given by (14) adapted to the interval
Taking into account property (7) of the harmonic mean, we can write
Considering (31), the distance can be bounded by
where
3. In applying arguments based on symmetry and taking into account that we also get that
At this point we consider two subcases depending on and
4.1
We can write
where
The maximum value of the function in the interval is either at the extremes of the interval or among any possible critical point verifying At the extremes of the interval we have and the condition is satisfied. We are going to prove that the local reconstruction lies inside the rectangle since any critical point of the function falls outside the interval For this purpose, we shall prove that We start computing and
Last equations show that is symmetric respect to the vertical axis passing through where it reaches a local maximum since
To analyze the sign of we replace in (36) by its expression (28)
and we consider two subcases depending on the sign of
4.1.1 From (26), and we get
4.1.2 Again from (26), and we get
In both subcases which together with expression (38) allow us to write and therefore what amounts to say that there is not local maximum value of inside the interval.
4.2
In this case
Following a similar path to case 4.1 we arrive to
and therefore remains inside the rectangle
5. We start computing the points where the slope of the tangent of equals to the slope of the straight line We consider two subcases,
5.1
In this case, the above mentioned points where the tangent of is parallel to are given by:
The largest distance from these points to is the maximum distance between and measured perpendicularly to
For both points this distance coincides with
5.2.
The required points and in this case take the form:
and is given by
□
Remark 3.
The hypothesis in Theorem 2 concerning the use of a nested set of σ quasi-uniform grids amounts in practice to build the reconstruction with a small enough maximum grid size.
In the next section we carry out some numerical experiments to check that the practical observations coincide with the theoretical results.
5. Numerical Experiment
In this section we present a simple numerical test to validate the theoretical results. Our experiment computes the approximation order of the considered reconstruction in several areas corresponding with the different points in Theorem 1. In particular we measure the approximation order in the following areas, identified with the given acronyms:
- :
- In the subinterval containing the discontinuity.
- :
- In a region where the function is smooth without inflexion points.
- :
- In a region where the function is smooth but contains a inflexion point.
- :
- In a region close to the inflexion point without containing it.
- :
- In the subinterval just to the right of the one containing the singularity.
Let be a non uniform grid in and the following smooth function with a jump discontinuity at and an inflexion point at
Given the initial abscissas we consider the set of nested grids where and with For each level of resolution k we build the PPH reconstruction using the data computing the approximation errors in infinity norm with respect to the original function using a denser set of abscissas, that is, we compute a numerical approximation of
Then, we compute the numerical approximation order as
Notice that due to Theorem 1 we can assume that for fine enough grids
In Table 1 and Table 2 we present the errors committed by Lagrange and PPH reconstructions respectively when using as initial nodes the defined nested grids The errors appear separately for each kind of region , , , and The largest error comes near the jump discontinuity for Lagrange reconstruction, as it can be observed in the column corresponding with .
Table 1.
Approximation errors obtained at iteration for the considered cases , , , and using the Lagrange reconstruction.
Table 2.
Approximation errors obtained at iteration for the considered cases , , and using the Piecewise Polynomial Harmonic (PPH) reconstruction.
In Table 3 we present the obtained approximation orders for the studied PPH reconstruction and just for the sake of comparison we also add the approximation orders for the classical four points piecewise Lagrange polynomial interpolation. We have computed the approximation order in the specified different regions , , , and More in concrete, in the case of region we use the interval for the x variable, in the case of region the interval and in the case of region the intervals , where k indicates the resolution level and the index is such that the inflexion point falls into the interval for each We can observe that in the region both reconstructions are affected by the jump discontinuity and they lose the approximation order due mainly to the subinterval containing the discontinuity. In the region of type both reconstructions attain fourth order accuracy as expected. In the case the PPH reconstruction reduces the approximation order to third order due to the presence of the inflexion point. Similarly in the vicinity of the inflexion point, region the PPH reconstruction stays between and In the adjacent intervals to the singularity, case we clearly observe an improvement with respect to Lagrange interpolation, since we obtain order while Lagrange completely loses the approximation order. Notice that the order reduction produced in the regions and occurs in very limited areas and it can be corrected using a translation strategy (see [12,23]) that we have not implemented in this experiment with the aim of studying the original reconstruction operator.
Table 3.
Approximation orders obtained at iteration for the considered cases , , and using the PPH and Lagrange reconstructions.
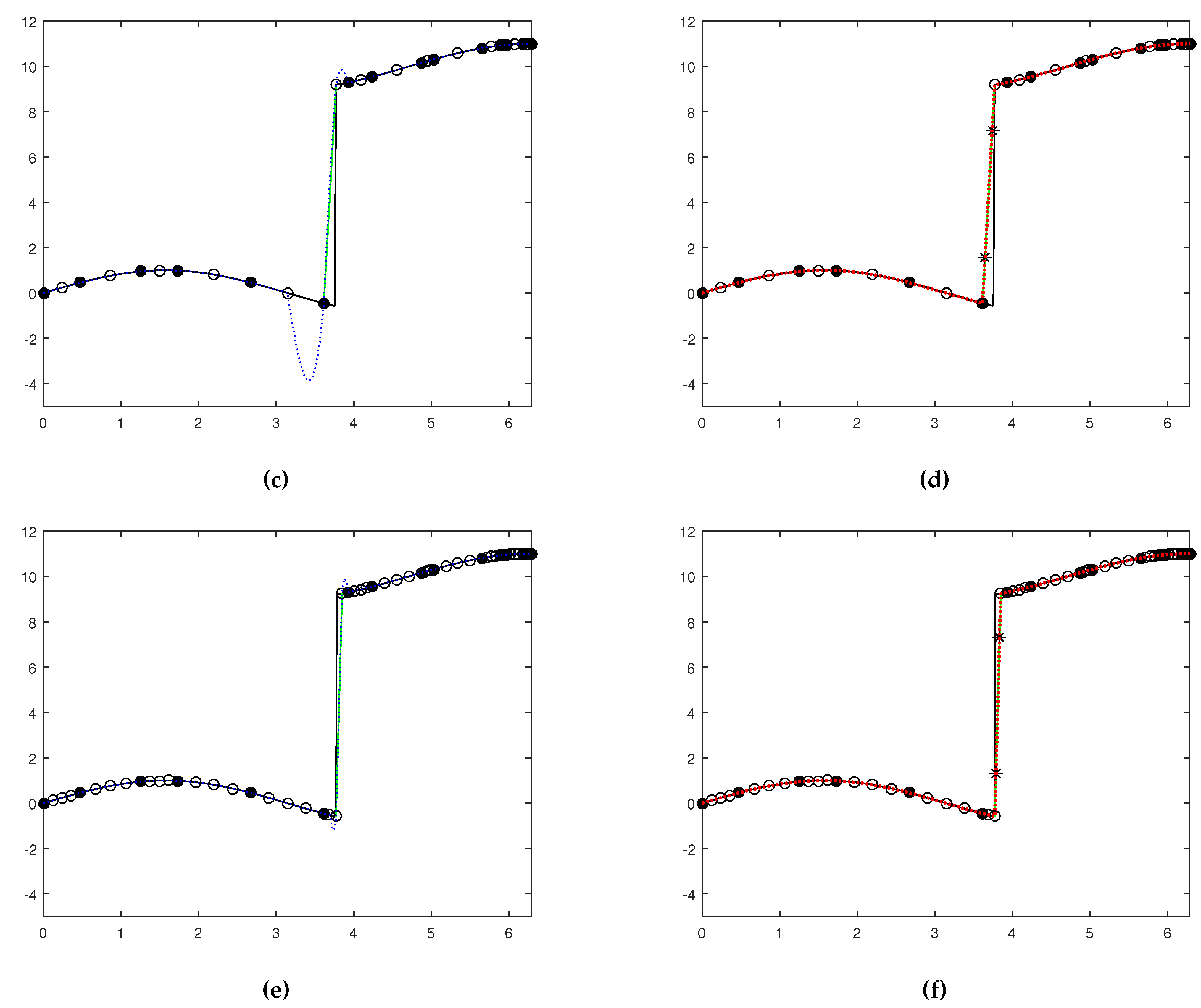
In Figure 1 we plot the function and the Lagrange and PPH reconstructions obtained from the initial grids We can see that around the singularity, Lagrange reconstruction looses the approximation order and the Gibss phenomena appears. In this zone, PPH reconstruction performs in a more proper way, avoiding any Gibbs effects. We can see that no oscillations appear in the PPH reconstruction even for the coarsest grid. These observations can be seen more clearly in Figure 2 where we have plotted a zoom of this region for for both reconstruction operators Lagrange and We also point out that the oscillations due to the jump discontinuity in Lagrange reconstruction do not diminish to zero with the subdivision level. In fact, from we have check out that the reconstruction values at the local maxima and minima of the oscillations remain almost constant.

Figure 1.
In black solid line: function , in green solid line the straight line joining the extreme points of the jump interval in blue dotted line: Lagrange reconstruction, in red dotted line: PPH reconstruction. Void circles stand for initial nodes, filled circles for nodes at the subdivision level and asterisks for points and . (a) Lagrange (b) PPH (c) Lagrange (d) PPH (e) Lagrange (f) PPH
Figure 2.
Zoom of the region around the jump discontinuity for subdivision grid level (a) Lagrange, (b)
In the jump interval the distance decreases as increases, since In Table 4 the values for are shown. We can see that at a certain subdivision level the given values are approximately decreasing with the ratio Therefore, PPH reconstruction approaches to the straight line as increases.
Table 4.
Distances obtained at subdivision level .
6. Conclusions
We have studied the behavior of the PPH reconstruction operator in presence of jump discontinuities for the case of working with quasi-uniform grids. For this purpose, the arithmetic and harmonic means used in the uniform case are changed for weighted means with concrete weights, so that the main properties that allow for maintaining order of approximation in smooth areas and adaptation near singularities continue being true.
A explicit result concerning the approximation order, Theorem 1, has been proved, showing at least second order of approximation for the adjacent intervals to the one containing the jump discontinuity, and ensuring fourth order of approximation in convex (concave) parts of the function far from inflexion points. At a interval containing a inflexion point we get third order of approximation and in the vicinity the order grows progressively till fourth order.
A main result of this article is Theorem 2 in Section 4 proving that the presented reconstruction operator does not generate any Gibbs phenomena in the concrete sense indicated in the enunciate for quasi-uniform grids where the maximum space between nodes of the grid is small enough.
Finally we have carried out some numerical experiments to reinforce the theoretical results proven as much in Proposition 1 as in Theorem 1.
Author Contributions
Conceptualization, P.O. and J.C.T.; methodology, P.O. and J.C.T.; software, P.O. and J.C.T.; validation, P.O. and J.C.T.; formal analysis, P.O. and J.C.T.; investigation, P.O. and J.C.T.; writing—original draft preparation, P.O. and J.C.T.; writing—review and editing, P.O. and J.C.T. All authors have read and agreed to the published version of the manuscript.
Funding
This research was funded by the FUNDACIÓN SÉNECA, AGENCIA DE CIENCIA Y TECNOLOGÍA DE LA REGIÓN DE MURCIA grant number and by the Spanish national research project PID2019-108336GB-I00.
Institutional Review Board Statement
Not applicable.
Informed Consent Statement
Not applicable.
Data Availability Statement
Not available.
Conflicts of Interest
The authors declare no conflict of interest.
Abbreviation
Following abbreviations are used in this manuscript:
| PPH | Piecewise Polynomial Harmonic |
References
- Amat, S.; Ruiz, J.; Shu, C.W. On a new WENO algorithm of order 2r with improved accuracy close to discontinuities. Appl. Math. Lett. 2020, 105, 106298–106309. [Google Scholar] [CrossRef]
- Amat, S.; Liandrat, J.; Ruiz, J.; Trillo, J.C. On a power WENO scheme with improved accuracy near discontinuities. SIAM J. Sci. Comput. 2017, 39, A2472–A2507. [Google Scholar] [CrossRef]
- Amir, A.; Levin, D. Quasi-interpolation and outliers removal. Numer. Algorithms 2018, 78, 805–825. [Google Scholar] [CrossRef]
- Aràndiga, F.; Donat, R.; Romani, L.; Rossini, M. On the reconstruction of discontinuous functions using multiquadric RBF-WENO local interpolation techniques. Math. Comput. Simul. 2020, 176, 4–24. [Google Scholar] [CrossRef]
- Harten, A. Eno schemes with subcell resolution. J. Comput. Phys. 1989, 83, 148–184. [Google Scholar] [CrossRef]
- Amat, S.; Magreñán, A.A.; Ruiz, J.; Trillo, J.C.; Yáñez, D.F. On the use of generalized harmonic means in image processing using multiresolution algorithms. Int. J. Comput. Math. 2020, 97, 455–466. [Google Scholar] [CrossRef]
- Donat, R.; Yáñez, D.F. A nonlinear Chaikin-based binary subdivision scheme. J. Comput. Appl. Math. 2019, 349, 379–389. [Google Scholar] [CrossRef]
- Dyn, N.; Farkhi, E.; Keinan, S. Approximation of 3D objects by piecewise linear geometric interpolants of their 1D cross-sections. J. Comput. Appl. Math. 2020, 368, 112466–112475. [Google Scholar] [CrossRef]
- Mateï, B.; Meignen, S. Nonlinear and nonseparable bidimensional multiscale representation based on cell-average representation. IEEE Trans. Image Process. 2015, 24, 4570–4580. [Google Scholar] [CrossRef]
- Dyn, N.; Gregori, J.A.; Levin, D. A 4-point interpolatory subdivision scheme for curve design. Comput. Aided Geom. Design 1987, 4, 257–268. [Google Scholar] [CrossRef]
- Dyn, N.; Kuijt, F.; Levin, D.; Van Damme, R. Convexity preservation of the four-point interpolatory subdivision scheme. Comput. Aided Geom. Design 1999, 16, 789–792. [Google Scholar] [CrossRef]
- Amat, S.; Donat, R.; Liandrat, J.; Trillo, J.C. Analysis of a new nonlinear subdivision scheme. Applications in image processing. Found. Comput. Math. 2006, 6, 193–225. [Google Scholar] [CrossRef]
- Amat, S.; Donat, R.; Trillo, J.C. Proving convexity preserving properties of interpolatory subdivision schemes through reconstruction operators. Appl. Math. Comput. 2013, 219, 7413–7421. [Google Scholar] [CrossRef]
- Trillo, J.C. Nonlinear Multiresolution and Applications in Image Processing. Ph.D. Thesis, University of Valencia, Valencia, Spain, 2007. [Google Scholar]
- Amat, S.; Dadourian, K.; Liandrat, J.; Trillo, J.C. High order nonlinear interpolatory reconstruction operators and associated multiresolution schemes. J. Comput. Appl. Math. 2013, 253, 163–180. [Google Scholar] [CrossRef]
- Amat, S.; Liandrat, J. On the stability of PPH nonlinear multiresolution. Appl. Comput. Harmon. Anal. 2005, 18, 198–206. [Google Scholar] [CrossRef]
- Floater, M.S.; Michelli, C.A. Nonlinear Stationary Subdivision. Approximation Theory. 1998, 212, 209–224. [Google Scholar]
- Kuijt, F.; Van Damme, R. Convexity preserving interpolatory subdivision schemes. Constr. Approx. 1998, 14, 609–630. [Google Scholar] [CrossRef]
- Dyn, N.; Levin, D. Stationary and non-stationary binary subdivision schemes. In Mathematical Methods in Computer Aided Geometric Design II; Academic Press: Boston, MA, USA, 1992; pp. 209–216. [Google Scholar]
- Aràndiga, F.; Donat, R. Nonlinear Multi-scale Decomposition: The Approach of A.Harten. Numer. Algorithms 2000, 23, 175–216. [Google Scholar] [CrossRef]
- Harten, A. Multiresolution representation of data II. SIAM J. Numer. Anal. 1996, 33, 1205–1256. [Google Scholar] [CrossRef]
- Ortiz, P.; Trillo, J.C. On the convexity preservation of a quasi C3 nonlinear interpolatory reconstruction operator on σ quasi-uniform grids. Mathematics 2021, 9, 310. [Google Scholar] [CrossRef]
- Amat, C.; Shu, C.W.; Ruiz, J.; Trillo, J.C. On a class of splines free of Gibbs phenomenon. Math. Modell. Numer. Anal. 2020. [Google Scholar] [CrossRef]
Publisher’s Note: MDPI stays neutral with regard to jurisdictional claims in published maps and institutional affiliations. |
© 2021 by the authors. Licensee MDPI, Basel, Switzerland. This article is an open access article distributed under the terms and conditions of the Creative Commons Attribution (CC BY) license (http://creativecommons.org/licenses/by/4.0/).