Next Article in Journal
An Analytical Method of Electromagnetic Wave Scattering by a Highly Conductive Sphere in a Lossless Medium with Low-Frequency Dipolar Excitation
Previous Article in Journal
On Spectral Decomposition of States and Gramians of Bilinear Dynamical Systems
 
 
Font Type:
Arial Georgia Verdana
Font Size:
Aa Aa Aa
Line Spacing:
Column Width:
Background:
Article

Hierarchical Approach to Identifying Fluid Flow Models in a Heterogeneous Porous Medium

by
Emil N. Musakaev
1,
Sergey P. Rodionov
1 and
Nail G. Musakaev
1,2,*
1
Tyumen Branch of the Khristianovich Institute of Theoretical and Applied Mechanics SB RAS, 74 Taymyrskaya Str., 625026 Tyumen, Russia
2
Department of Applied and Technical Physics, University of Tyumen, 6 Volodarskogo Str., 625003 Tyumen, Russia
*
Author to whom correspondence should be addressed.
Mathematics 2021, 9(24), 3289; https://doi.org/10.3390/math9243289
Submission received: 15 November 2021 / Revised: 9 December 2021 / Accepted: 16 December 2021 / Published: 17 December 2021
(This article belongs to the Section E2: Control Theory and Mechanics)

Abstract

:
A three-dimensional numerical hydrodynamic model fairly accurately describes the processes of developing oil and gas fields, and has good predictive properties only if there are high-quality input data and comprehensive information about the reservoir. However, under conditions of high uncertainty of the input data, measurement errors, significant time and resource costs for processing and analyzing large amounts of data, the use of such models may be unreasonable and can lead to ill-posed problems: either the uniqueness of the solution or its stability is violated. A well-known method for dealing with these problems is regularization or the method of adding some additional a priori information. In contrast to full-scale modeling, currently there is active development of reduced-physics models, which are used, first of all, in conditions when it is required to make an operational decision, and computational resources are limited. One of the most popular simplified models is the material balance model, which makes it possible to directly capture the relationship between reservoir pressure, flow rates and the integral reservoir characteristics. In this paper, it is proposed to consider a hierarchical approach when solving the problem of oil field waterflooding control using material balance models in successive approximations: first for the field as a whole, then for hydrodynamically connected blocks of the field, then for wells. When moving from one level of model detailing to the next, the modeling results from the previous levels of the hierarchy are used in the form of additional regularizing information, which ultimately makes it possible to correctly solve the history matching problem (identification of the filtration model) in conditions of incomplete input information.

Graphical Abstract

1. Introduction

Over the past decade, there has been a fairly steady upward trend in global oil consumption for the energy and chemical industries [1,2]. Petroleum companies conduct research to improve the methods and measures aimed at economically viable extraction of hydrocarbons from oil fields [3,4]. At the same time, an important phase in the development of oil reservoirs is the mathematical modeling of these fields.
The main goal of reservoir modeling is to build a model such that it allows one to obtain a reliable forecast of the reservoir’s behavior, as well as to identify a general strategy for an optimal oil field development. With the development of reservoir simulation techniques—especially taking into account the evolutionary increase in computing speed and improvement in numerical methods [5,6,7]—the so-called traditional approach to modeling has improved or been made better [8,9]. The essence of which is to create a fine scale full field model (FFM) to provide better information about current and future reservoir performance, using a full physics simulator. Historically, this approach has a number of significant disadvantages [10]: high uncertainty of the input data, including lack of knowledge about the reservoir structure and properties; inconsistency of the models with the quality of input data and prior knowledge, focus on the complexity of models and unjustified rejection of simple engineering models and techniques; internal inconsistency of the models and their inconsistency at the level of interdisciplinary synthesis; time and resource costs for processing and analyzing a large amount of data in conditions when rapid decisions are required.
All these problems are growing when solving the main development problems associated with multivariate calculations, such as: the procedure for matching the filtration model to historical data, the problem of uncertainty quantification technique, the problem of waterflooding optimization. For example, in [11], when estimating uncertainties within the Bayesian methodology for a synthetic field, an ensemble of 81 realizations of “candidate models” is reproduced, where only four key uncertainties were identified. Obviously, a real field requires a more detailed analysis and more scenarios. Due to the extreme resource intensity of this task, in practice, such a detailed uncertainty quantification technique is rarely carried out, although, of course, this would increase the stability of the model and improve forecast accuracy.
Therefore, in contrast to FFM, reduced-physics models are being rapidly developed [12,13]. The reduced-physics models emerged as an attempt to overcome the problems previously mentioned—due to their flexibility in accommodating the required input data, irrespective of type and size—hence accelerating the decision-making workflow [14]. Thus, if only well data are known with high accuracy and reservoir parameters in the inter-well space are determined with a large error, it seems more appropriate to use, for example, models based on modern material balance equation solution or capacity resistance model (CRM) [10,12,15,16], instead of a traditional approach with a full physics simulation. It all depends on the balance of the model complexity and the means that would be required to build it, as shown in [17] (Figure 1). These material balance models make it possible to directly establish a relationship between reservoir pressure, flow rates of injection and production wells, as well as the integral characteristics of the reservoir and the fluids saturating it (aquifer parameters, compressibility of fluids and rocks). The main advantage of CRM models and similar ones over FFM is the calculation speed, which allows to obtain a solution and estimate uncertainties within an hour, i.e., almost in real time by the standards of reservoir modeling [10].
Thus, an important task is to choose a model of optimal complexity that would describe the key features of the modeling object with an accuracy sufficient for practice. This is consistent with the principle of parsimony, which in the realities of mathematical modeling of complex objects can be formulated as follows: “the model should be as simple as possible and as complex as necessary” [14,18].
If we consider the problem of mathematical simulation of oil field development from the standpoint of a system approach, some principles of complex systems simulation should be followed, namely, the principle of model multiplicity and the principle of hierarchical modeling. As practice shows, following these principles is a time-consuming yet relevant task, especially for such resource-intensive development design steps as, for example, the reservoir system filtration model identification procedure. Therefore, to solve these problems, oil companies select highly qualified specialists with extensive modeling experience who are capable of systematizing heterogeneous, multi-scaled and inaccurate data into a single consistent FFM, actually derived from a variety of simple models and engineering techniques. At the same time, the development of new methods and algorithms within the framework of the hierarchical approach significantly reduces the load on a person, since many processes of transition from one level of the hierarchy to another are automated and do not require “manual” adjustments.
In this paper, it is proposed to consider a hierarchical approach in solving the problem of oil field waterflooding optimization using reduced-physics material balance models in successive approximations: first for the field as a whole (the field case), then for hydrodynamically connected blocks of the field (blocks case), then for the hydrodynamically connected wells (wells case). When moving from one level of model detail to the next, the modeling results from the previous levels of the hierarchy are used in the form of additional a priori information, which ultimately makes it possible to correctly solve the reservoir model identification problem in conditions of incomplete input data.

2. Material Balance Model Hierarchy

In the context of using reduced-physics models, there are widely spread models that describe waterflooding by number of hydrodynamically connected injection and production wells (Figure 2). These models include, for example, the capacity resistance model (CRM), the model based on the streamlines method (INSIM) (interwell numerical simulation model) [19,20], flow-network model [21], multiwell productivity index (MPI) -based method [22].
In the general case of CRM models, a system of linear differential equations of material balance for liquid (water + oil) is solved, where the main input data are the volumes of injected (Qinj) and produced fluids (Qpr), bottomhole pressures (Pwf). The main matching parameters are the allocation factor (fi,j) between injection (i) and production (j) wells; the physical meaning of the relationship fi,j can be characterized as the ratio of the average transmissibility (Ti,j) between injector and producer to the sum of the transmissibilities between the injection well and the associated production wells [10]:
f i , j = T i , j j = 1 N p r T i , j
where Npr is number of production wells.
In the INSIM model, in contrast to CRM, reservoir pressures are supplied across the wells, and the main matching parameters are transmissibilities between wells. In this case, not only are connections between production and injection wells evaluated, but also injection-injection, production-production connections.
In all the models under consideration, the number of matching parameters when solving the inverse problem is determined by the number of interwell connections (Nc). In this case, the connectivity matrix, which initially establishes the presence and absence of connections between wells, must be determined in advance, based on some a priori information. If there are no restrictions on the connectivity matrix, then the number of adjustable parameters is equal to the maximum possible number of connections Nc,max, which is quadratic to the number of wells (Nw):
N c , m a x = N w 2 ( N w 1 )
When solving an identification problem, this can lead to an ill-posed problem. Therefore, in practice, there are set restrictions on the interwell connections, based on the reservoir geometry and geology, restrictions on the length of the connection, etc. For example, in [22], a windowing method was proposed, where a windowing radius is set for each well. If adjacent wells in a circular area are determined by the windowing radius, then these wells are connected. For terrigenous reservoirs, without strong anisotropy of reservoir properties in space, this approach to determining the structure of the connectivity matrix is acceptable. However, for fractured-porous media, other methods of determining the matrix of connections are required, especially if there is no reliable data on the presence and location of highly permeable fractures and impermeable faults in the reservoir.
Material balance models in successive approximations. Let us consider the material balance equations [9,23] for an oil field with a sequential complication of the model: the field as a whole or its isolated block, a system of hydrodynamically connected blocks or wells.
There is an oilfield divided into N blocks; there are Ninj injectors and Npr producers; Ninj + Npr = Nw (Figure 3). From the history of the field development, the injected volumes Q i n j k ( t ) ( k = 1 ,   2 ,   ,   N i n j ) and production liquid rates Q p r k ( t )   ( k = 1 ,   2 ,   ,   N p r ) are known. Average reservoir pressures around wells are also known P w e l l k ( t )   ( k = 1 ,   2 ,   ,   N w ) . Then the reservoir pressure averaged over the i-th block (i = 1, 2, …, N), can be determined, for example, as the arithmetic mean reservoir pressure for all wells of the i-th block [24]:
P i = 1 N w , i k = 1 N w , i P w e l l i
where Nw,i is the number of wells at i-th block.
The field case. The object of modeling is the whole field, which is considered as one computational cell. The material balance equation for a homogeneous liquid can be represented as follows [24]:
β V d P d t = α Q i n j Q p r + λ a q ( P P a q )
where P is field average reservoir pressure; Paq is average bottom water pressure; β is effective compressibility; V is pore volume; α is effective injection ratio equal to the fraction of injected water that flows directly into the productive reservoir; λag is the coefficient, determining the intensity of bottom water inflow.
The vector of calculating parameters is written as follows:
u = ( β ,   α ,   λ a q )
Blocks case. The object of study is an oil field block, which is hydrodynamically connected with other blocks. Injected and produced fluid data are summed for each block, reservoir pressures are averaged over the block Pi (2).
Let us write down the material balance equations for a system of Nb hydrodynamically connected blocks [25]:
β i V i d P i d t = α i   Q i n j , i Q p r , i λ a q , i ( P i P a q , i ) + j = 1 n i λ i , j ( P i P j )
Here, the subscript i (i = 1, 2, …, Nb) marks the values related to the i-th block; λi,j are coefficients characterizing the intensity of flows between blocks i and j (transmissibility between blocks); ni is the number of blocks connected with the i-th block.
Thus, in comparison with Equation (3), fluid flows between the blocks are added to the calculating parameters in the model with hydrodynamically connected blocks:
u = ( β i ,   α i ,   λ a q , i ,   λ i , j )
If the coefficient λi,j = 0, then it means that the blocks become isolated, and the system of Equation (5) is split into independent equations of the form (3). The dimension of the vector u depends on the number of connections between blocks Nc. At the maximum value, when each block is connected with others, the number of evaluating parameters is equal to:
dim ( u ) = 3 N b + 1 2 N b ( N b 1 )
In general, the calculation of the material balance for a system of hydrodynamically connected blocks refers to the problem of sector modeling, when fluid flow between blocks is calculated and then serves as boundary conditions for a more detailed modeling of a separate area of an oil field [26].
Wells case. Let us represent the hydrodynamic model as a model with pairwise connections between wells [16,27]. The wells have “drainage volume” Vi. Flow in the interwell area between wells numbered i and j is modeled as flow within a region characterized by two parameters: reservoir transmissibility Ti,j and a control pore volume Vp,i,j, where the transmissibility controls flow between wells in the interwell volume Vp,i,j. An algorithm for constructing a control volume between a pair of wells Vp,i,j is shown in our work [18].
Let us determine the transmissibility between wells as follows [27]:
T i , j = B i j K i j H i j L i j μ i j
Here K is the absolute permeability at the boundary between the wells; B is the conditional width of the wall through which the liquid is filtered; H is the arithmetic mean of the effective reservoir thickness; L determines distance between wells; μ is the arithmetic average viscosity of the liquid. The liquid viscosity is determined through the initial water saturation Smw:
μ = S m w μ w + ( 1 S m w ) μ o
where μw and μo are water and oil viscosities.
The system of material balance equations for hydrodynamically connected wells is similar to the system of Equation (5) for the blocks:
β i V i d P i d t = α i   Q i n j , i Q p r , i λ a q , i ( P i P a q , i ) + j = 1 n i T i , j ( P i P j )
Here, the subscript i marks the values related to the i-th well (i = 1, 2, …, Nw).
The vector of calculating parameters is expressed as follows:
u = ( β i ,   α i ,   λ a q , i ,   T i , j )
where the maximum dimension of the vector u , by analogy with (7), is equal to:
dim ( u ) = 3 N w + 1 2 N w ( N w 1 )
If we take into account only the “production-injection” relationship, then the maximum dimension u is determined as follows:
dim ( u ) = 3 N w + N i n j N p r
Representing systems of material balance equations in unified form. Material balance models for isolated blocks (3), for hydrodynamically connected blocks (5) or wells (9) are conveniently written in the following matrix form:
V d P d t = T P + b
where P is a column vector with dimension N, which determines the reservoir pressure; V is an N × N diagonal matrix with elements (V)ii = βi Vi; b—column vector of dimension N with elements b i = α i   Q i n j , i Q p r , i λ a q , i   P a q , i ; T—square N × N matrix of transmissibility coefficients with diagonal ( T ) i , i = λ a q , i + j = 1 n i T i , j ( P i P j ) and off-diagonal elements ( T ) i , j = T i , j   ( i j ) . For isolated sections, the matrix T is transformed into a diagonal matrix with elements ( T ) i , i = λ a q , i . The dimensionality of the matrices and vectors presented in (12) depends on the model under consideration: for blocks N = Nb, for wells N = Nw.
For the convenience of further presentation, we separate the connectivity matrix A (Figure 4) in the matrix of transmissibilities T through the element-wise product of matrices:
T = A T
where A is a symmetric binary matrix, which determines the absence of the hydrodynamic connection “i-j” (A)i,j = 0 or its presence (A)i,j = 1. Thus, the connectivity matrix A determines the structure of the transmissibility matrix T.
Material balance model identification. The solution to the inverse problem of identifying the model parameters will be the vector of calculating parameters u = u o p t , at which the objective function J ( u ) has a global minimum J ( u o p t ) min . As an objective function, for example, a normalized measure of the deviation of the actual and calculated pressure values during the history period can be chosen:
J ( u ) = k = 1 l | P f a c t k P m o d e l k ( u ) | k = 1 l P f a c t k
where l is number of time steps; u is vector of calculating parameters; P f a c t k   ( k = 1 ,   2 ,   ,   l ) are reservoir pressure values calculated using production history data at time t = tk; P m o d e l k ( u )   ( k = 1 ,   2 ,   ,   l ) are similar values of reservoir pressure, determined from the solution of Equation (9) using an evaluated vector of parameters u .
As the model becomes more complex and the number of identifiable parameters increases, the inverse problem may turn out to be incorrectly posed. For instance, when identifying interwell transmissibility u = [ T i , j ] in (9), the number of connections between wells Nc (depending on the number of wells Nw) grows rapidly with a quadratic dependence (11), which, as practice shows, leads to non-uniqueness and instability of the solution. A forecast using such a numerical and/or mathematical model after parametric identification will be unstable or completely incorrect [14].
Therefore, it is necessary to involve additional regularizing information about the reservoir, the properties of the obtained solution, etc. In this work, it was proposed to consider the following properties of the obtained solutions:
1. Estimation of the predictive power of the model. For this, it is proposed to introduce a training data set u in which to identify parameters and test data in which to assess the quality of the model built. Thus, we divide the reservoir development period Tall into the “training” period Ttraining and the “test” period Ttest: Tall = Ttraining + Ttest. Parametric identification is performed on the intervals related to the “training” period, and the value of the functional will be obtained using Formula (14) J t r a i n i n g ( u o p t ) . Knowing u = u o p t and solving the direct problem during the “test” period, we obtain the value of the functional Jtest. The general functional will then be equal to [18]:
J a l l = J t r a i n i n g + γ   J t e s t
where γ is a weighting coefficient for the “test” period.
2. Taking into account the complexity of the selected model using the Bayesian information criterion (BIC) in the following empirical form, analogous to the work [14]:
B I C = κ ln ( n ) + n ln ( J / n )
where J is the objective function (14) for the entire development period Tall; n is the number of observed values; κ is parameter of the model complexity or the number of identifiable parameters. The model with the lowest BIC is preferred.
3. Taking into account a priori information Iapriori, obtained when simulating a complex real-world object with simplified reservoir models, which corresponds to a hierarchical approach to modeling.
Additionally, the work proposes a statistical approach to select the optimal model (Mopt) from a class of candidate models MoptMclass. The idea of this approach is to statistically process the evaluation results after a series of calculations in candidate models, and use this information as criteria for selecting the optimal model.
Figure 5 shows a block diagram for selecting the optimal material balance model for the well case from the initially specified class of candidate models Mclass using a priori information about reservoir data (Iapriori). Each model differs from the other in the structure of the connectivity matrix (A). Having known the structure of the connectivity matrix, the transmissibility between the wells (T) can be determined.
Statistical processing of the best Nm models (best from the point of view Jstr) can be carried out for each connection based on the frequency of the node occurrence in the Nm best models:
( p s t a t ) i , j = 1 N m n = 1 N m ( A ) i , j n
where n = 1, 2, …, Nm denotes the serial number of the model.
The following inequalities are used as criteria for selecting models:
1 .   0 ( p s t a t ) i , j p m i n i j   connection   is   absent ; 2 .   p m i n ( p s t a t ) i , j p m a x « i j   connection   is   possible ; 3 .   p m a x ( p s t a t ) i , j i j   connection   is   defined .
The values pmin, pmax are selected expertly. Thus, the set of criteria (17) allows for obtaining additional information (Istat) about the structure of the connectivity matrix and narrowing the class of candidate models M = M(Iapriori, Istat), from which the optimal model (Mopt) is selected.
One of the examples of the practical application of the hierarchical approach in identifying models of fluid flow in an inhomogeneous porous medium is presented in our work [28]. Another example is presented in Section 3.

3. Application of the Hierarchical Approach in Calculating the Material Balance in the Field

Let the oil field be expertly divided into N = 6 blocks, for which the values of well flow rates and average reservoir pressures were defined throughout the development history. The schematic arrangement of the blocks is shown in Figure 6.
It is necessary to calculate the material balance for the system of hydrodynamically connected sections to determine the parameters u = ( α i ,   λ a q , i ,   λ i , j ) for each i-th block (I = 1, 2, …, N). According to (7), the number of identified parameters for the system under consideration is 27 for six equations. The set problem is incorrect; regularization is required.
Let us apply a hierarchical approach to calculating the material balance to regularize the problem. The hierarchical approach includes two stages that differ from each other in the form of the objective function and a set of control parameters [19]. In the first stage, we assume that there are no fluid flows λi,j between the blocks, i.e., blocks of the field are isolated. In this case, the system of Equation (5) splits into independent Equation (3); the identifiable parameters are u = ( α i ,   λ a q , i ) . In the second stage, the vector of control parameters is formed by coefficients characterizing the intensity of fluid flows between the blocks u = [ λ i , j ] . The parameters αi and λag,i for each block when solving the system of Equation (5) in the second stage are “frozen” and remain equal to the values obtained in the first stage.
Dividing the algorithm for solving the identification problem into two stages makes it possible to reduce the number of parameters identified simultaneously. As a result, the stability of the results obtained is increased, and the calculation time is also reduced.
When calculating the material balance for the isolated blocks, poor results were obtained for the identification of the parameters while minimizing the target function J ( u ) min . The problem lies in the non-uniqueness of the obtained optimal solution. Therefore, an additional regularization was carried out at the first stage of calculating the material balance using the tools of the theory of fuzzy sets. To construct the objective function, two fuzzy criteria were selected. In the first of them, the following expert statement is used for the parameter α (the subscript i is omitted for simplicity): “the losses of the injected water should not be large”. To do this, the following identity function was defined on the set of values of the coefficient α, i.e., on the interval 0 α 1 :
φ α = φ α ( α ,   0 ,   1 ,   0.5 )
where
φ ( z ,   a ,   b ,   m ) = {    1 ,      z < m ( 1 z a b a ) m , a z < b    0 .      z b
In this expression, a and b are numbers that are assigned by the expert as unconditionally small and unconditionally large, respectively; the parameter m characterizes the degree of the decrease in confidence in the smallness of the number z when it deviates from a. The membership function graph is shown in Figure 7a.
The second fuzzy criterion was chosen in accordance with the following regularizing statement: “the deviation of the calculated and actual data should not be large”. To formalize this criterion, the following membership function was chosen (Figure 7b):
φ J = φ J ( J ,   0 ,   0.3 ,   2 )
where J = J ( u ) = J ( α ,   λ a q ) , a certain measure of deviation of calculated and actual data (8).
To combine these two criteria, the operation of intersection of fuzzy sets was used:
J 1 ( α ,   λ a q ) = φ α φ J
As a result, the problem of identifying control parameters at the first stage is reduced to minimize the objective function J 1 ( α ,   λ a q ) . As an example, Figure 8 shows the objective function for one of the blocks before and after regularization. The function J ( α ,   λ a q ) , characterizing the deviation of the calculated pressure from the actual one does not have a pronounced minimum, which leads to the instability of the inverse problem solution. The function J 1 ( α ,   λ a q ) , on the other hand, has a single pronounced minimum. Thus, as a result of regularization based on the formalization of the expert assessment, the minimum of the function after the regularization becomes more pronounced, which makes it possible to obtain a more stable solution to the problem of identifying the control parameters included in the system of material balance equations.
In the second stage of the algorithm, the inclusion of regularizing constraints in the objective function can be carried out by analogy to the first stage. For the formation of constraints, there is a priori information about the connections between the blocks, which can be investigated, for instance, from the results of hydrotesting of wells or tracer studies. In this case, those connections between blocks that geometrically intersect the perimeter of another block were not evaluated. For example, there is no connection between blocks “2–4” as it crosses the perimeter of block “3” (Figure 6).
The initial values of the control parameters for the first stage of the algorithm are presented in Table 1. It also presents the results obtained after the parameters identification (Table 1 shows the values of the objective function J, but the function J1 was used for the calculation).
As a result of minimizing function (14), taking into account Equation (3) in the first stage application of the algorithm described above—for each of the blocks—the identified values of the bottom water activity coefficient λaq and the effective injection coefficient α were obtained. In the second stage of identification, the coefficient λi,j, was determined, characterizing the intensity of flows between the blocks (Figure 6). The values of the objective function at various stages of identification are presented in Figure 9 and Figure 10, which show how the values of the average reservoir pressures changed after the stage-by-stage material balance calculation.
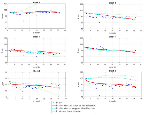
Comparing the values of the objective function separately for each block, obtained in the first stage of the algorithm, it is evident that the greatest deviation of the calculated pressure from the actual one is for the sixth block (Figure 9). However, after the second stage of identification, the value of the objective function for the sixth block decreased significantly. In the remaining areas, the changes in the objective function are not so noticeable, the difference in its values after the first and second stages of the algorithm is minimal.
Thus, the following parameters that characterize the efficiency of reservoir development have been determined: the coefficient of efficiency of water injection into the reservoir, the aquifer activity, reservoir pressure and transmissibility between the blocks. Using these parameters, fluid flow between individual blocks, between blocks and the aquifer can be calculated. Information on fluid flow between blocks can be used for sector hydrodynamic modeling when boundary conditions are corrected.

4. Discussion and Conclusions

This paper presents a description of simplified material balance models for a homogeneous fluid, and also proposes an approach to solving the problem of identifying these models. Material balance models are considered at various levels of spatial detail: for the field as a whole, for hydrodynamically connected blocks, for hydrodynamically connected wells. Each of these models has its own area of application, and, accordingly, its own range of tasks, which can be solved using these models. Thus, the material balance model for the field is used to assess the reservoir energy state; if there are blocks on the object and they are hydrodynamically connected to each other, then at the initial stage it is possible to calculate the fluid flows between blocks, and, using the calculated flows as boundary conditions, isolate this block for more detailed study/modeling. Further, the material balance model for wells makes it possible to estimate the average interwell transmissibility, and, for instance, after the history matching procedure, will be able to predict the production rates if there are known injection flow rates and reservoir pressure dynamics. Using the material balance model for a system of hydrodynamically connected wells, one of the most difficult and urgent problems facing hydrodynamic modeling is being solved, namely: the problem of the waterflooding optimization. This problem, as a rule, is solved within the framework of full physics modeling, however, compared to FFM, material balance models require significantly less input data, calculations are performed much faster and require significantly less computing resources.
When solving the inverse ill-posed problem, even for simplified models, the solutions obtained are non-uniqueness. In the work, using an isolated block as an example, it was demonstrated that the problem of multicollinearity of the coefficients that determines the intensity of bottom water inflow and the effective injection arises, i.e., it is impossible to determine a unique solution from the set obtained. When using more complex models, the number of matched parameters increases quadratically relative to the number of equations in the system. To solve this ill-conditioned identification problem, it is necessary to involve additional regularizing information about the reservoir or properties of the evaluated solution. One of the methods implemented in the article is statistical processing of the obtained solutions for the stability of the appearance of connections between wells and obtaining criteria for determining the connectivity matrix, and, accordingly, the selection of models. The hierarchical approach assumes that solutions obtained in models from the previous level of the hierarchy can be used as regularizing information for a more complex model. This approach was implemented using the example of a step-by-step calculation of the material balance for blocks, where, firstly, the parameters that determine the effective injection and the intensity of bottom water inflow in isolated blocks are determined. Secondly, these parameters are “frozen” and are not identified when calculating the connections between blocks. This approach made it possible to regularize the ill-conditioned inverse problem, significantly reduce the number of simultaneously identifiable parameters, and, ultimately, evaluate a unique solution.

Author Contributions

Conceptualization, E.N.M. and S.P.R.; methodology, E.N.M. and S.P.R.; software, E.N.M.; validation, S.P.R. and N.G.M.; formal analysis, E.N.M., S.P.R. and N.G.M.; investigation, E.N.M. and S.P.R.; writing—original draft preparation, E.N.M. and N.G.M. All authors have read and agreed to the published version of the manuscript.

Funding

Computational experiments and analysis of the results were carried out within the framework of a grant from RFBR and Tyumen Region, project number 20-41-720004. Formulation of the problem was carried out within the state assignment of Ministry of Science and Higher Education of the Russian Federation (project No. 121030500156-6).

Institutional Review Board Statement

Not applicable.

Informed Consent Statement

Not applicable.

Data Availability Statement

The data presented in this study are available on request from the corresponding author.

Conflicts of Interest

The authors declare no conflict of interest.

Nomenclature

Bconditional width of the wall through which the liquid is filtered (m)
Harithmetic mean of the effective reservoir thickness (m)
Kabsolute permeability at the boundary between the wells (m2)
Ldetermines distance between wells (m)
mporosity
Nnumber of interwell connections (wells, blocks)
Ppressure (Pa)
Qvolumetric flow (m3 s−1)
Ssaturation
Ttransmissibility (m3 Pa−1 s−1)
Vpore volume (m3)
Greek Symbols
αeffective injection
βeffective compressibility (Pa−1)
κparameter of the model complexity or the number of identifiable parameters
λcoefficient, determining the intensity of inflow (m3 Pa−1 s−1)
μviscosity (Pa s)

References

  1. Zhang, H.L.; Liu, C.X.; Zhao, M.Z.; Sun, Y. Economics, fundamentals, technology, finance, speculation and geopolitics of crude oil prices: An econometric analysis and forecast based on data from 1990 to 2017. Pet. Sci. 2018, 15, 432–450. [Google Scholar] [CrossRef] [Green Version]
  2. Musakaev, N.G.; Borodin, S.L. Mathematical model of the two-phase flow in a vertical well with an electric centrifugal pump located in the permafrost region. Heat Mass Transf. 2016, 52, 981–991. [Google Scholar] [CrossRef]
  3. Wang, Y.; Ren, S.; Zhang, L. Mechanistic simulation study of air injection assisted cyclic steam stimulation through horizontal wells for ultra heavy oil reservoirs. J. Pet. Sci. Eng. 2019, 172, 209–216. [Google Scholar] [CrossRef]
  4. Shagapov, V.S.; Musakaev, N.G.; Khabeev, N.S.; Bailey, S.S. Mathematical modelling of two-phase flow in a vertical well considering paraffin deposits and external heat exchange. Int. J. Heat Mass Transf. 2004, 47, 843–851. [Google Scholar] [CrossRef]
  5. Turkyilmazoglu, M. Effective computation of exact and analytic approximate solutions to singular nonlinear equations of Lane–Emden–Fowler type. Appl. Math. Model. 2013, 37, 7539–7548. [Google Scholar] [CrossRef]
  6. Aziz, K.; Settari, A. Petroleum Reservoir Simulation; Springer: Amsterdam, The Netherlands, 1979. [Google Scholar]
  7. Turkyilmazoglu, M. Parametrized Adomian Decomposition Method with Optimum Convergence. ACM Trans. Modeling Comput. Simul. 2017, 27, 21. [Google Scholar] [CrossRef]
  8. Williams, G.J.J.; Mansfield, M.; MacDonald, D.G. Top-Down Reservoir Modelling. In Proceedings of the SPE Annual Technical Conference and Exhibition, Houston, TX, USA, 26–29 September 2004. [Google Scholar]
  9. Gavris, A.S.; Kosyakov, V.P.; Botalov, A.Y.; Pichugin, O.N.; Rodionov, S.P.; Sokolyuk, L.N.; Shirshov, Y.V. The concept of effective design of hydrocarbon fields development. Software solutions. Oilfield Eng. 2015, 11, 75–85. (In Russian) [Google Scholar]
  10. Holanda, R.W.; Gildin, E.; Jensen, J.L.; Lake, L.W.; Kabir, S. A State-of-the-Art Literature Review on Capacitance Resistance Models for Reservoir Characterization and Performance Forecasting. Energies 2018, 11, 3368. [Google Scholar] [CrossRef] [Green Version]
  11. Moreno, G.A.; Lake, L.W. On the uncertainty of interwell connectivity estimations from the capacitance-resistance model. Pet. Sci. 2014, 11, 265–271. [Google Scholar] [CrossRef] [Green Version]
  12. Artun, E. Characterizing interwell connectivity in waterflooded reservoirs using data-driven and reduced-physics models: A comparative study. Neural Comput. Appl. 2017, 28, 1729–1743. [Google Scholar] [CrossRef]
  13. Klie, H. Physics-Based and Data-Driven Surrogates for Production Forecasting. In Proceedings of the SPE Reservoir Simulation Symposium, Houston, TX, USA, 23–25 February 2015. [Google Scholar]
  14. Rafiee, M.M. Model Selection and Uniqueness Analysis for Reservoir History Matching. Ph.D. Thesis, Technische Universität Bergakademie Freiberg, Freiberg, Germany, 2010. [Google Scholar]
  15. Mohaghegh, S.D.; Gaskari, R.; Maysami, M.; Khazaeni, Y. Data-Driven Reservoir Management of a Giant Mature Oilfield in the Middle East. In Proceedings of the SPE Annual Technical Conference and Exhibition, Amsterdam, The Netherlands, 27–29 October 2014. [Google Scholar] [CrossRef] [Green Version]
  16. Naudomsup, N.; Lake, L.W. Extension of Capacitance-Resistance Model to Tracer Flow for Determining Reservoir Properties. In Proceedings of the SPE Annual Technical Conference and Exhibition, San Antonio, TX, USA, 9–11 October 2017. [Google Scholar] [CrossRef]
  17. Gildin, E.; King, M. Robust Reduced Complexity Modeling (R2CM) in Reservoir Engineering. In Proceedings of the Foundation CMG Summit, Calgary, AB, Canada, 24–25 June 2013. [Google Scholar]
  18. Musakaev, E.N.; Rodionov, S.P.; Kosyakov, V.P. Structure and parameter identification technique for modeling problems of two-phase filtration in porous media. AIP Conf. Proc. 2018, 1939, 020053. [Google Scholar] [CrossRef]
  19. Zhao, H.; Kang, Z.; Zhang, X.; Sun, H.; Cao, L.; Reynolds, A. INSIM: A Data-Driven Model for History Matching and Prediction for Waterflooding Monitoring and Management with a Field Application. In Proceedings of the SPE Reservoir Simulation Symposium, Houston, TX, USA, 23–25 February 2015. [Google Scholar]
  20. Guo, Z.; Reynolds, A.C.; Zhao, H. A Physics-Based Data-Driven Model for History-Matching, Prediction and Characterization of Waterflooding Performance. In Proceedings of the SPE Reservoir Simulation Conference, Montgomery, TX, USA, 20–22 February 2017. [Google Scholar]
  21. Lerlertpakdee, P.; Jafarpour, B.; Gildin, E. Efficient Production Optimization with Flow-Network Models. SPE J. 2014, 19, 1083–1095. [Google Scholar] [CrossRef]
  22. Kaviani, D.; Valkó, P.P.; Jensen, J.L. Application of the Multiwell Productivity Index-Based Method to Evaluate Interwell Connectivity. In Proceedings of the SPE Improved Oil Recovery Symposium, Tulsa, OK, USA, 24–28 April 2010. [Google Scholar]
  23. Ahmed, T. Reservoir Engineering Handbook; Gulf Professional Publishing: Cambridge, MA, USA, 2018. [Google Scholar]
  24. Mirzajanzade, A.K.; Khasanov, M.M.; Bakhtizin, R.N. Modeling of Oil and Gas Production Processes. Nonlinearity, Disequilibrium, Uncertainty; Institute of Computer Research: Moscow-Izhevsk, Russia, 2004. (In Russian) [Google Scholar]
  25. Kosyakov, V.P.; Musakaev, E.N.; Shirshov, Y.V. Computational technology for calculating the material balance in an oil field. Oilfield Eng. 2015, 11, 30–35. (In Russian) [Google Scholar]
  26. Musakaev, E.N.; Rodionov, S.P.; Legostaev, D.Y.; Kosyakov, V.P. Parameter identification for sector filtration model of an oil reservoir with complex structure. AIP Conf. Proc. 2019, 2125, 030113. [Google Scholar] [CrossRef]
  27. Rodionov, S.P.; Musakaev, E.N.; Kosyakov, V.P. New Technology of Interwell Connectivity Identification in Oil Reservoir Modelling; EAGE: Gelendzhik, Russia, 2018. [Google Scholar]
  28. Musakaev, E.N.; Rodionov, S.P.; Kosyakov, V.P. Problem of structure and parameter identification at simulation of two-phase filtration in porous media. Proc. Cybern. 2018, 1, 39–49. (In Russian) [Google Scholar]
Figure 1. Classification of reservoir model reduction via complexity reduction [17].
Figure 1. Classification of reservoir model reduction via complexity reduction [17].
Mathematics 09 03289 g001
Figure 2. Model with a system of hydrodynamically connected injection and production wells.
Figure 2. Model with a system of hydrodynamically connected injection and production wells.
Mathematics 09 03289 g002
Figure 3. Schematic diagram of an oil field divided into blocks.
Figure 3. Schematic diagram of an oil field divided into blocks.
Mathematics 09 03289 g003
Figure 4. An example of setting the connectivity matrix A for injectors Mathematics 09 03289 i001 and producers Mathematics 09 03289 i002.
Figure 4. An example of setting the connectivity matrix A for injectors Mathematics 09 03289 i001 and producers Mathematics 09 03289 i002.
Mathematics 09 03289 g004
Figure 5. Block diagram of the methodology for structural-parametric identification of the material balance model.
Figure 5. Block diagram of the methodology for structural-parametric identification of the material balance model.
Mathematics 09 03289 g005
Figure 6. Schematic arrangement of blocks and representation of transmissibilities between them.
Figure 6. Schematic arrangement of blocks and representation of transmissibilities between them.
Mathematics 09 03289 g006
Figure 7. Membership functions (a) “injected water losses should not be large”, (b) “the deviation of the calculated reservoir pressure from the actual one should not be large”.
Figure 7. Membership functions (a) “injected water losses should not be large”, (b) “the deviation of the calculated reservoir pressure from the actual one should not be large”.
Mathematics 09 03289 g007
Figure 8. Comparison of the two types of objective functions J ( α ,   λ a q ) (a) and J 1 ( α ,   λ a q ) (b).
Figure 8. Comparison of the two types of objective functions J ( α ,   λ a q ) (a) and J 1 ( α ,   λ a q ) (b).
Mathematics 09 03289 g008
Figure 9. Results of step-by-step identification. The values of the minimized function for each block are shown: 1—without identification (J at the initial values of the control parameters); 2—after the first stage of identification; 3—after the second stage of identification.
Figure 9. Results of step-by-step identification. The values of the minimized function for each block are shown: 1—without identification (J at the initial values of the control parameters); 2—after the first stage of identification; 3—after the second stage of identification.
Mathematics 09 03289 g009
Figure 10. Comparison of actual and calculated reservoir pressures at each stage of identification for all oil field blocks.
Figure 10. Comparison of actual and calculated reservoir pressures at each stage of identification for all oil field blocks.
Mathematics 09 03289 g010
Table 1. Calculated parameters.
Table 1. Calculated parameters.
No BlockBefore IdentificationAfter Identification
αλaq, m3/atm/MonthJαλaq, m3/atm/MonthJ
10.801000.180.6000.04
20.801000.070.811000.07
30.801000.130.992980.04
40.801000.070.653900.04
50.801000.161.002350.14
60.801000.380.6000.30
Publisher’s Note: MDPI stays neutral with regard to jurisdictional claims in published maps and institutional affiliations.

Share and Cite

MDPI and ACS Style

Musakaev, E.N.; Rodionov, S.P.; Musakaev, N.G. Hierarchical Approach to Identifying Fluid Flow Models in a Heterogeneous Porous Medium. Mathematics 2021, 9, 3289. https://doi.org/10.3390/math9243289

AMA Style

Musakaev EN, Rodionov SP, Musakaev NG. Hierarchical Approach to Identifying Fluid Flow Models in a Heterogeneous Porous Medium. Mathematics. 2021; 9(24):3289. https://doi.org/10.3390/math9243289

Chicago/Turabian Style

Musakaev, Emil N., Sergey P. Rodionov, and Nail G. Musakaev. 2021. "Hierarchical Approach to Identifying Fluid Flow Models in a Heterogeneous Porous Medium" Mathematics 9, no. 24: 3289. https://doi.org/10.3390/math9243289

APA Style

Musakaev, E. N., Rodionov, S. P., & Musakaev, N. G. (2021). Hierarchical Approach to Identifying Fluid Flow Models in a Heterogeneous Porous Medium. Mathematics, 9(24), 3289. https://doi.org/10.3390/math9243289

Note that from the first issue of 2016, this journal uses article numbers instead of page numbers. See further details here.

Article Metrics

Back to TopTop