On the Search for a Measure to Compare Interval-Valued Fuzzy Sets
Abstract
:1. Introduction
2. Basic Concepts
2.1. Inclusion
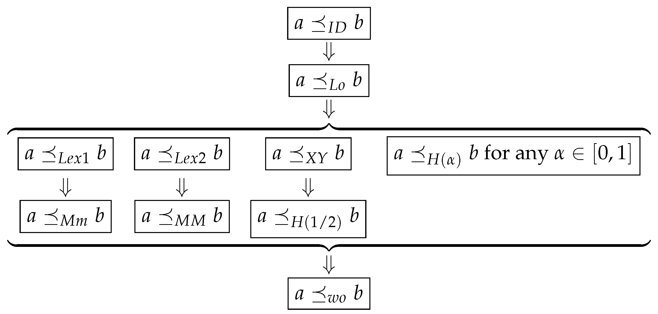
- Interval dominance [36]: if .
- Lattice order [37]: if and , which is induced by the usual partial order in .
- Lexicographical order of type 1 [38]: if or ( and ).
- Lexicographical order of type 2 [38]: if or ( and ).
- The Xu and Yager order [39]: if or ( and ).
- Maximax order [42]: if .
- Hurwicz order [43]: if with .
- Weak order [44]: if .
2.2. Embedding
2.3. Intersection
- Interval dominance: .
- Lattice order: .
- Lexicographical order of type 1:
- Lexicographical order of type 2:
- Xu and Yager order:
- Maximim order: for v any number in the interval .
- Maximax order: for u any number in the interval .
- Hurwicz order: for and u any value in the interval .
- Weak order: for u any value in the interval and v any value in the interval .
2.4. Union
- Interval dominance: .
- Lattice order: .
- Lexicographical order of type 1:
- Lexicographical order of type 2:
- Xu and Yager order:
- The -union of A and B is the IVFS and the -union of A and C is the IVFS . Figure 8 provides a graphical representation.It is clear that and .
- The -union of A and B is the IVFS and the -union of A and C is the IVFS .As we can see in Figure 9, , but and .
- The -union of A and B is the IVFS and the -union of A and C is the IVFS . Thus, in this case, .
- The -union of A and B is the IVFS . and the -union of A and C is the IVFS . Thus, in this case, and .
- The -union of A and B is the IVFS , and the -union of A and C is the IVFS . Thus, again and and the union obtained for and for are the same.However, this is not true in general, since compares the right endpoint of intervals and the sum of both endpoints. For instance, if we consider , the -union of A and D is the IVFS , but their -union is , as we can see in Figure 10.
3. How to Compare Two Interval-Valued Fuzzy Sets?
- REQ1
- Non-negativity;
- REQ2
- Symmetry;
- REQ3
- It becomes zero when the two sets are “equal”;
- REQ4
- It takes into account the uncertainty associated to the width of the intervals;
- REQ5
- It decreases when the sets are closer.
3.1. Non-Negativity
- i)
- ii)
- iii)
- iv)
- v)
- vi)
- vii)
- viii)
- ix)
- x)
- xi)
- xii)
- A1
3.2. Symmetry
- A2
- i)
- and
- ii)
- iii)
- iv)
- v)
- vi)
- vii)
- viii)
- ix)
- x)
- xi)
3.3. Zero Difference
- A3
- iff and .
- i)
- ii)
- iii)
- iv)
- v)
- vi)
- vii)
- viii)
- ix)
- x)
- xi)
3.4. The Importance of the Widths of the Intervals
- A4
- If , then
3.5. Proximity
- A1.
- .
- A2.
- .
- A3.
- iff and .
- A4.
- If , then .
3.5.1. Distances
- DIST.A5
- Triangular inequality: .
3.5.2. Divergences
- DIV.A5
- and .
- 1.
- .
- 2.
- .
- 3.
- .
- 4.
- .
- Call , and and apply the first part of Axiom DIV.A5:since , the inequality follows.
- It Follows from the first part of Axiom DIV.A5 taking .
- Call , and . Applying the first condition in Axiom DIV.A5:since , the inequality follows.
- It follows from applying the second condition in Axiom DIV.A5 to the sets and and .
- A1.
- A2.
- A3.
- iff and
- A4.
- If , then
- DIV.A5
- and .
- Symmetry of follows from symmetry of D.
- Since for every , also .
- Let us first prove that for any .By definition, andAccording to Corollary 1, and . Then , where the inequality follows from Axiom DIV.A5. For the interval dominance order this implies that and and the proof follows from the monotonicity of .The proof for the union is totally analogous.
3.5.3. Dissimilarities
- A5
- If , then and .
- A1.
- A2.
- A3.
- iff and
- A4.
- If , then
- A5.
- If , then and
- The mapis a dissimilarity w.r.t. the lattice order since for any we have that:
- A1.
- .By definition and for every .
- A2.
- .Symmetry also follows immediately from the definition.
- A3.
- iff and .As proven in Proposition 8, if and only if . (Remember that this is not always the case. For instance, if we set the -order, the equality holds for any ).
- A4.
- If , then .If takes the value , it is trivial.If takes the value , this means that either A is not a fuzzy set, or B is not a fuzzy set or both of them are fuzzy sets but they are not equal. In the first case, is also . In the second case, since , C is not a fuzzy set and therefore also coincides with . In the third case, since B is a fuzzy set different from A and , we have that either
- -
- C is the same fuzzy set as B and then A and C are two different fuzzy sets and is .
- -
- Or C is a proper IVFS containing B. Since C is not a fuzzy set, then is .
- A5.
- If , then and .If is the proof is trivial.If is , then A and C are the same fuzzy set. From we have that then B is the same fuzzy set and the proof is concluded.
As a direct consequence of Propositions 7, 8 and 9 also fulfils Axioms A1, A2, A3 and A4 for any -order (recall that Axiom A4 does not depend on the order considered). Moreover, Axiom A5 is also fulfilled for any -order, by taking into account that by the monotonicity of the aggregation functions, and then we could provide a proof similar to the previous one.Thus, is an -dissimilarity and an -dissimilarity, and it is called the trivial dissimilarity. - For X a finite set, the dissimilarity induced by a numerical distance:is a dissimilarity with respect to the lattice order.Axiom A1: Follows from the fact that for any two values a and .Axiom A2: Follows from the symmetry of the absolute value of the difference: for any two values a and .Axiom A3: if and only iffor all . For each , this happens if and only if for all ; therefore, if and only if and equal to just one value. If this happens for all , then it is equivalent to A and B being the same fuzzy set.Axiom A4: Assume . We have to prove that . It is sufficient to prove that for every it holds thatEquivalently, we will prove that
- (I)
- .
- (II)
- .
Call and . Since , it holds that . Equivalently, .- (I)
- To prove that , we distinguish three cases:
- ∗
- (then ).In this case
- ∗
- In this case
- ∗
- (then ).In this case,
In any case, (I) follows.
In order to prove (II), let us note the following: for any closed intervals and in it holds thatThe equality can only hold if . If this is not the case, implies (otherwise and . A contradiction).- (II)
- The proof of follows from the previous remark.
- ∗
- If , then and
Otherwise,- ∗
- If then so that
- ∗
- Analogously, if then so that
Axiom A5: Assume . Observe thatThen, in order to prove that , it suffices to prove that for every ,Fix an element and call and . Since , , so thatWe now prove .- -
- if , then .
- -
- If , then .
Therefore, in any case, - For a non-finite set, the previous function may not be a dissimilarity.Take andTake for and for and elsewhere. Then, for and , elsewhere. Since almost everywhere, and despite they are not the same fuzzy set. We have then proven that does not satisfy Axiom A3.
- Let and be two continuous aggregation functions. The dissimilarity induced by a numerical distance:is NOT necessarily a dissimilarity with respect to the admissible order .Take as an example the aggregation functions and . Consider the universe and the IVFSs , and . Then clearly but
- TOR.A5
- If , then and .
- TAK.A4
- If and for all , then and ,
- TAK.A1
- ;
- TAK.A2
- if and only if and ;
- TAK.A3
- if and only if for all ;
- TAK.A4
- If and for all , then .
- Axiom A5 implies Condition TAK.A4.
- Condition TAK.A4 does not imply Axiom A4, even in the case Conditions TAK.A1, TAK.A2, and TAK.A3 are fulfilled.
- Condition TAK.A4 does not imply Axiom A5, even in the case Conditions TAK.A1, TAK.A2, and TAK.A3 are fulfilled.
- Condition TAK.A4 is a particular case of Axiom A5, so the implication is immediate.
- Let us now see that Axiom TAK.A4 does not imply Axiom A4. Take . Then the functionis a dissimilarity measure in the sense of Takáč et al. In fact, conditions TAK.A1, TAK.A2 and TAK.A3 are satisfied by the definition of D. Condition TAK.A4 also holds for the lattice order: we will prove that if and , then (the case being analogous).If , then the condition holds trivially. Now assume ; then or . If , then also , and the inequality also holds trivially.If , then . If , then whatever is. Furthermore, if , then and the inequality also holds.However, this function does not satisfy A4. Consider and ; we have that and
- Take and the function defined as:It is straightforward to check that D satisfies Definition 8 for a dissimilarity. However, it does not satisfy Axiom A5: consider , and . Then .
4. Concluding Remarks
Author Contributions
Funding
Institutional Review Board Statement
Informed Consent Statement
Acknowledgments
Conflicts of Interest
References
- Bouchon-Meunier, B.; Rifqi, M.; Bothorel, S. Towards general measures of comparison of objects. Fuzzy Sets Syst. 1996, 84, 143–153. [Google Scholar] [CrossRef] [Green Version]
- Anthony, M.; Hammer, P.L. A boolean measure of similarity. Discret. Appl. Math. 2006, 154, 2242–2246. [Google Scholar] [CrossRef] [Green Version]
- Valverde, L.; Ovchinnikov, S. Representations of T-similarity relations. Fuzzy Sets Syst. 2008, 159, 211–220. [Google Scholar] [CrossRef]
- Wilbik, A.; Keller, J.M. A Fuzzy Measure Similarity Between Sets of Linguistic Summaries. IEEE Trans. Fuzzy Syst. 2013, 21, 183–189. [Google Scholar] [CrossRef]
- Zhang, C.; Fu, H. Similarity measures on three kinds of fuzzy sets. Pattern Recognit. Lett. 2006, 27, 1307–1317. [Google Scholar] [CrossRef]
- Couso, I.; Montes, S. An axiomatic definition of fuzzy divergence measures. Int. J. Uncertain. Fuzziness Knowl.-Based Syst. 2008, 16, 1–17. [Google Scholar] [CrossRef]
- Kobza, V.; Janis, V.; Montes, S. Generalizated local divergence measures. J. Intell. Fuzzy Syst. 2017, 33, 337–350. [Google Scholar] [CrossRef]
- Montes, S.; Couso, I.; Gil, P.; Bertoluzza, C. Divergence measure between fuzzy sets. Int. J. Approx. Reason. 2002, 30, 91–105. [Google Scholar] [CrossRef] [Green Version]
- Zadeh, L. The concept of a linguistic variable and its application to approximate reasoning-I. Inf. Sci. 1975, 8, 199–249. [Google Scholar] [CrossRef]
- Grattan-Guinness, I. Fuzzy Membership Mapped onto Intervals and Many-Valued Quantities. Math. Log. Q. 1976, 22, 149–160. [Google Scholar] [CrossRef]
- Jahn, K. Intervall-wertige Mengen. Math. Nach. 1975, 68, 115–132. [Google Scholar] [CrossRef]
- Sambuc, R. Fonctions and Floues: Application a l’aide au Diagnostic en Pathologie Thyroidienne. Ph.D. Thesis, Faculté de Médecine de Marseille, Marseille, France, 1975. [Google Scholar]
- Bustince, H.; Burillo, P. Mathematical analysis of interval-valued fuzzy relations: Application to approximate reasoning. Fuzzy Sets Syst. 2000, 113, 205–219. [Google Scholar] [CrossRef]
- Gorzałczany, M. A method of inference in approximate reasoning based on interval-valued fuzzy sets. Fuzzy Sets Syst. 1987, 21, 1–17. [Google Scholar] [CrossRef]
- Cornelis, C.; Deschrijver, G.; Kerre, E. Implication in intuitionistic fuzzy and interval-valued fuzzy set theory: Construction, classification, application. Int. J. Approx. Reason. 2004, 35, 55–95. [Google Scholar] [CrossRef] [Green Version]
- Turksen, I.; Zhong, Z. An approximate analogical reasoning schema based on similarity measures and interval-valued fuzzy sets. Fuzzy Sets Syst. 1990, 34, 323–346. [Google Scholar] [CrossRef]
- Arefi, M.; Taheri, S. Weighted similarity measure on interval-valued fuzzy sets and its application to pattern recognition. Iran. J. Fuzzy Syst. 2014, 11, 67–79. [Google Scholar]
- Deng, G.; Song, L.; Jiang, Y.; Fu, J. Monotonic Similarity Measures of Interval-Valued Fuzzy Sets and Their Applications. Int. J. Uncertain. Fuzziness Knowl.-Based Syst. 2017, 25, 515–544. [Google Scholar] [CrossRef]
- Pękala, B.; Dyczkowski, K.; Grzegorzewski, P.; Bentkowska, U. Inclusion and similarity measures for interval-valued fuzzy sets based on aggregation and uncertainty assessment. Inf. Sci. 2021, 547, 1182–1200. [Google Scholar] [CrossRef]
- Wu, C.; Luo, P.; Li, Y.; Ren, X. A New Similarity Measure of Interval-Valued Intuitionistic Fuzzy Sets Considering Its Hesitancy Degree and Applications in Expert Systems. Math. Probl. Eng. 2014, 2014, 359214. [Google Scholar] [CrossRef]
- Zhang, H.; Zhang, W.; Mei, C. Entropy of interval-valued fuzzy sets based on distance and its relationship with similarity measure. Knowl.-Based Syst. 2009, 22, 449–454. [Google Scholar] [CrossRef]
- Atanassov, K. Intuitionistic fuzzy sets. Fuzzy Sets Syst. 1986, 20, 87–96. [Google Scholar] [CrossRef]
- Atanassov, K.; Gargov, G. Interval valued intuitionistic fuzzy sets. Fuzzy Sets Syst. 1989, 31, 343–349. [Google Scholar] [CrossRef]
- Deschrijver, G.; Kerre, E. On the relationship between some extensions of fuzzy set theory. Fuzzy Sets Syst. 2003, 133, 227–235. [Google Scholar] [CrossRef]
- Montes, I.; Pal, N.R.; Janis, V.; Montes, S. Divergence measures for intuitionistic fuzzy sets. IEEE Trans. Fuzzy Syst. 2015, 23, 444–456. [Google Scholar] [CrossRef]
- Montes, I.; Janiš, V.; Pal, N.R.; Montes, S. Local divergences for Atanassov intuitionistic fuzzy sets. IEEE Trans. Fuzzy Syst. 2016, 24, 360–373. [Google Scholar] [CrossRef]
- Chen, T.Y. A note on distances between intuitionistic fuzzy sets and/or interval-valued fuzzy sets based on the Hausdorff metric. Fuzzy Sets Syst. 2007, 158, 2523–2525. [Google Scholar] [CrossRef]
- Szmidt, E.; Kacprzyk, J. Intuitionistic fuzzy sets—Two and three term representations in the context of a Hausdorff distance. Acta Univ. Matthiae Belii Ser. Math. 2011, 19, 53–62. [Google Scholar]
- Szmidt, E.; Kacprzyk, J. A Perspective on Differences between Atanassov’s Intuitionistic Fuzzy Sets and Interval-Valued Fuzzy Sets. In Fuzzy Sets, Rough Sets, Multisets and Clustering; Torra, V., Dahlbom, A., Narukawa, Y., Eds.; Studies in Computational Intelligence; Springer: Berlin/Heidelberg, Germany, 2017; Volume 671, pp. 221–237. [Google Scholar] [CrossRef]
- Bustince, H.; Marco-Detchart, C.; Fernandez, J.; Wagner, C.; Garibaldi, J.; Takáč, Z. Similarity between interval-valued fuzzy sets taking into account the width of the intervals and admissible orders. Fuzzy Sets Syst. 2020, 390, 23–47. [Google Scholar] [CrossRef]
- Takáč, Z.; Bustince, H.; Pintor, J.; Marco-Detchart, C.; Couso, I. Width-Based Interval-Valued Distances and Fuzzy Entropies. IEEE Access 2019, 7, 14044–14057. [Google Scholar] [CrossRef]
- Torres-Manzanera, E.; Kral, P.; Janis, V.; Montes, S. Uncertainty-Aware Dissimilarity Measures for Interval-Valued Fuzzy Sets. Int. J. Uncertain. Fuzziness Knowl.-Based Syst. 2020, 28, 757–768. [Google Scholar] [CrossRef]
- Żywica, P.; Stachowiak, A. Uncertainty-aware similarity measures-properties and construction method. In Proceedings of the 11th Conference of the European Society for Fuzzy Logic and Technology (EUSFLAT 2019), Prague, Czech Republic, 9–13 September 2019; pp. 512–519. [Google Scholar] [CrossRef] [Green Version]
- Díaz, S.; Díaz, I.; Montes, S. An Interval-Valued Divergence for Interval-Valued Fuzzy Sets. In Information Processing and Management of Uncertainty in Knowledge-Based Systems; Lesot, M.J., Vieira, S., Reformat, M.Z., Carvalho, J.P., Wilbik, A., Bouchon-Meunier, B., Yager, R.R., Eds.; Springer International Publishing: Cham, Switzerland, 2020; pp. 241–249. [Google Scholar]
- Huidobro, P.; Alonso, P.; Janiš, V.; Montes, S. Convexity and level sets for interval-valued fuzzy sets. Fuzzy Optim. Decis. Mak. 2021, in press. [Google Scholar]
- Fishburn, P. Interval Ordenings; Wiley: New York, NY, USA, 1987. [Google Scholar]
- Goguen, J.A. L-fuzzy sets. J. Math. Anal. Appl. 1967, 18, 145–174. [Google Scholar] [CrossRef] [Green Version]
- Bustince, H.; Fernandez, J.; Kolesárová, A.; Mesiar, R. Generation of linear orders for intervals by means of aggregation functions. Fuzzy Sets Syst. 2013, 220, 69–77. [Google Scholar] [CrossRef]
- Xu, Z.; Yager, R.R. Some geometric aggregation operators based on intuitionistic fuzzy sets. Int. J. Gen. Syst. 2006, 35, 417–433. [Google Scholar] [CrossRef]
- Sniedovich, M. Wald’s maximin model: A treasure in disguise! J. Risk Financ. 2008, 9, 287–291. [Google Scholar] [CrossRef]
- Wald, A. Statistical decision functions which minimize the maximum risk. Ann. Math. 1945, 46, 265–280. [Google Scholar] [CrossRef]
- Satia, J.; Lave, R. Markovian decision processes with uncertain transition probabilities. Oper. Res. 1973, 21, 728–740. [Google Scholar] [CrossRef]
- Hurwicz, L. A class of criteria for decision-making under ignorance. Cowles Com. Discuss. Pap. Stat. 1951, 370, 1–16. [Google Scholar]
- Bogart, K.P.; Bonin, J.; Mitas, J. Interval orders based on weak orders. Discret. Appl. Math. 1995, 60, 93–98. [Google Scholar] [CrossRef] [Green Version]
- Mesiar, R.; Komorníková, M. Aggregation Functions on Bounded Posets. In 35 Years of Fuzzy Set Theory. Studies in Fuzziness and Soft Computing; Cornelis, C., Deschrijver, G., Nachtegael, M., Schockaert, S., Shi, Y., Eds.; Springer: Berlin/Heidelberg, Germany, 2010; Volume 261, pp. 3–17. [Google Scholar] [CrossRef]
- Bustince, H.; Calvo, T.; De Baets, B.; Fodor, J.; Mesiar, R.; Montero, J.; Paternain, D.; Pradera, A. A class of aggregation functions encompassing two-dimensional OWA operators. Inf. Sci. 2010, 180, 1977–1989. [Google Scholar] [CrossRef]
- Huidobro, P.; Alonso, P.; Janiš, V.; Montes, S. Orders Preserving Convexity Under Intersections for Interval-Valued Fuzzy Sets. In Proceedings of the International Conference on Information Processing and Management of Uncertainty in Knowledge-Based Systems, Lisbon, Portugal, 15–19 June 2020; Springer: Cham, Switzerland, 2020; pp. 493–505. [Google Scholar]


















| Reflexive | Antisymmetric | Transitive | Total | Preorder | Order | |
|---|---|---|---|---|---|---|
| ✗ | ✓ | ✓ | ✗ | ✗ | ✗ | |
| ✓ | ✓ | ✓ | ✗ | ✓ | ✓ | |
| ✓ | ✓ | ✓ | ✓ | ✓ | ✓ | |
| ✓ | ✓ | ✓ | ✓ | ✓ | ✓ | |
| ✓ | ✓ | ✓ | ✓ | ✓ | ✓ | |
| ✓ | ✗ | ✓ | ✓ | ✓ | ✗ | |
| ✓ | ✗ | ✓ | ✓ | ✓ | ✗ | |
| ✓ | ✗ | ✓ | ✓ | ✓ | ✗ | |
| ✓ | ✗ | ✗ | ✓ | ✗ | ✗ |
| Interval Order | Is the Intersection Unique? | Is the Intersection an IVFS? |
|---|---|---|
| Interval dominance | ✓ | ✗ |
| Lattice order | ✓ | ✓ |
| Lex. order type 1 | ✓ | ✓ |
| Lex. order type 2 | ✓ | ✓ |
| Xu and Yager order | ✓ | ✓ |
| Maximim order | ✗ | |
| Maximax order | ✗ | |
| Hurwicz order | ✗ | |
| Weak order | ✗ |
Publisher’s Note: MDPI stays neutral with regard to jurisdictional claims in published maps and institutional affiliations. |
© 2021 by the authors. Licensee MDPI, Basel, Switzerland. This article is an open access article distributed under the terms and conditions of the Creative Commons Attribution (CC BY) license (https://creativecommons.org/licenses/by/4.0/).
Share and Cite
Díaz-Vázquez, S.; Torres-Manzanera, E.; Díaz, I.; Montes, S. On the Search for a Measure to Compare Interval-Valued Fuzzy Sets. Mathematics 2021, 9, 3157. https://doi.org/10.3390/math9243157
Díaz-Vázquez S, Torres-Manzanera E, Díaz I, Montes S. On the Search for a Measure to Compare Interval-Valued Fuzzy Sets. Mathematics. 2021; 9(24):3157. https://doi.org/10.3390/math9243157
Chicago/Turabian StyleDíaz-Vázquez, Susana, Emilio Torres-Manzanera, Irene Díaz, and Susana Montes. 2021. "On the Search for a Measure to Compare Interval-Valued Fuzzy Sets" Mathematics 9, no. 24: 3157. https://doi.org/10.3390/math9243157
APA StyleDíaz-Vázquez, S., Torres-Manzanera, E., Díaz, I., & Montes, S. (2021). On the Search for a Measure to Compare Interval-Valued Fuzzy Sets. Mathematics, 9(24), 3157. https://doi.org/10.3390/math9243157

