Observation of a Change in Human Attitude in a Decision Making Process Equipped with an Interference of a Third Party
Abstract
:1. Introduction
2. Preliminaries
- (1)
- (2)
- if and only if
- (3)
2.1. Fuzzy Numbers and Fuzzy Functions
- 1.
- is a bounded, monotonically increasing left-continuous function for all and right-continuous for ,
- 2.
- is a bounded, monotonically decreasing left-continuous function for all and right-continuous for ,
- 3.
- For all we have: .
2.2. First Order Fuzzy Differential Equation
2.3. Fuzzy Soft Differential Equations
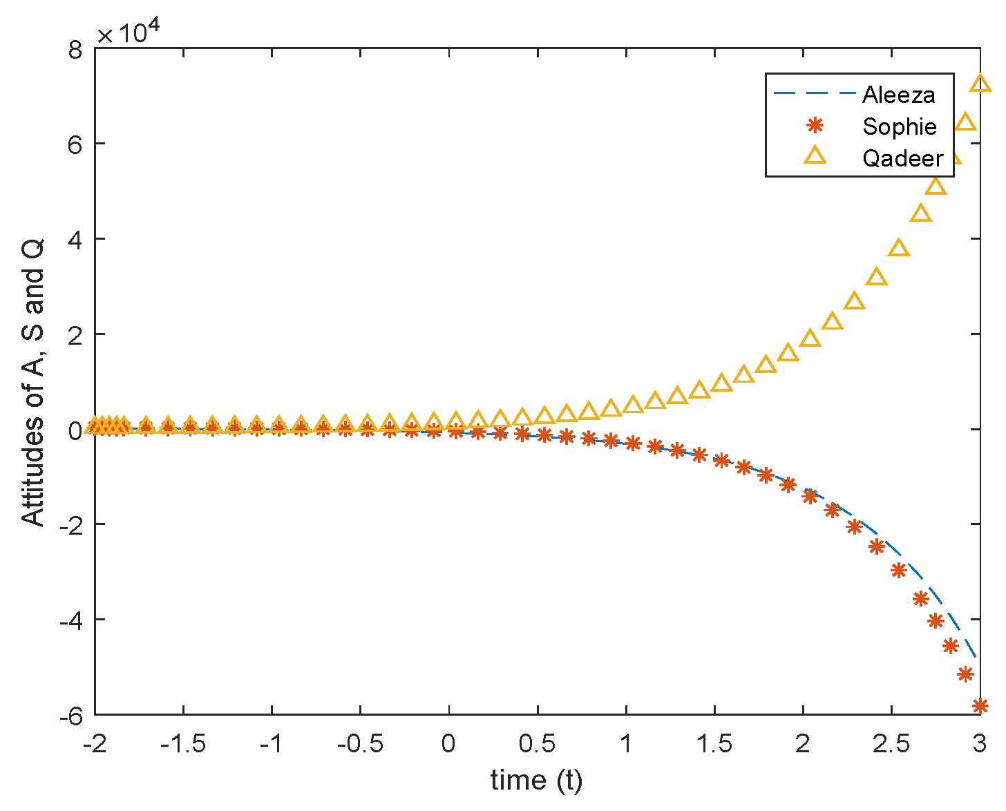
3. An Attitude Analyzer Method Based on Fuzzy Soft Differential Equations
- (1)
- if , , ( both agree for particular decision, but do not agree).
- (2)
- if , , ( disagree with , but encourage them for a particular decision).
- (3)
- ( has no feeling for ).
4. Conclusions
Author Contributions
Funding
Informed Consent Statement
Data Availability Statement
Conflicts of Interest
Ethical Approval
References
- Torra, V.; Narukawa, Y. On Hesitant Fuzzy Sets and Decision. In Proceedings of the 2009 IEEE International Conference on Fuzzy Systems, Jeju, Korea, 20–24 August 2009. [Google Scholar]
- Torra, V. Hesitant fuzzy sets. Int. J. Intell. Syst. 2010, 25, 529–539. [Google Scholar] [CrossRef]
- Wang, B.; Liang, J.; Pang, J. Deviation degree: A perspective on score functions in hesitant fuzzy sets. Int. J. Fuzzy Syst. 2019, 21, 2299–2317. [Google Scholar] [CrossRef]
- Farhadinia, B. Information measures for hesitant fuzzy sets and interval-valued hesitant fuzzy sets. Inf. Sci. 2013, 240, 129–144. [Google Scholar] [CrossRef]
- Wang, F.; Li, X.; Chen, X. Hesitant fuzzy soft set and its applications in multicriteria decision making. J. Appl. Math. 2014, 2014, 643785. [Google Scholar] [CrossRef]
- Peng, X.; Yang, Y. Interval-valued hesitant fuzzy soft sets and their application in Decision Making. Fundam. Inform. 2015, 141, 71–93. [Google Scholar] [CrossRef]
- Atanassov, K.T. Intutionistic fuzzy sets. Fuzzy Sets Syst. 1986, 20, 87–96. [Google Scholar] [CrossRef]
- Grzegorzewski, P. Distances between intuitionistic fuzzy sets and/or interval-valued fuzzy sets based on the Hausdorff metric. Fuzzy Sets syst. 2004, 148, 319–328. [Google Scholar] [CrossRef]
- Zhu, B.; Xu, Z.; Xia, M. Dual hesitant fuzzy sets. J. Appl. Math. 2012, 2012, 879629. [Google Scholar] [CrossRef]
- Singh, P. Distance and similarity measures for multiple attribute decision making with dual hesitant fuzzy sets. Comput. Appl. Math. 2017, 36, 111–126. [Google Scholar] [CrossRef]
- Zhang, H.; Shu, L. Dual hesitant fuzzy soft set and its properties. In Fuzzy Systems & Operations Research and Management; Cao, B.Y., Liu, Z.L., Zhong, Y.B., Mi, H.H., Eds.; Springer International Publishing: Cham, Switzerland, 2016; pp. 171–182. [Google Scholar]
- Garg, H.; Arora, R. Distance and similarity measures for dual hesitant fuzzy soft sets and their applications in multicriteria decision making problem. Int. J. Uncertain. Quantif. 2017, 7, 229–248. [Google Scholar] [CrossRef]
- Aruldoss, M.; Lakshmi, T.M.; Venkatesan, V.P. A survey on multicriteria decision making methods and its applications. Am. J. Inf. Syst. 2013, 1, 31–43. [Google Scholar]
- Beg, I.; Rashid, T. Hesitant 2-tuple linguistic information in multiple attributes group decision making. J. Intell. Fuzzy Syst. 2016, 30, 109–116. [Google Scholar] [CrossRef]
- Eraslan, S.; Cagman, N. A decision making method by combining TOPSIS and grey relation method under fuzzy soft sets. Sigma J. Eng. Nat. Sci. 2017, 8, 53–64. [Google Scholar]
- Eraslan, S.; Karaaslan, F. A group decision making method based on TOPSIS under fuzzy soft environment. J. New Theory 2015, 3, 30–40. [Google Scholar]
- Joshi, D.; Kumar, S. Intuitionistic fuzzy entropy and distance measure based TOPSIS method for multi-criteria decision making. Egypt. Inform. J. 2004, 15, 97–104. [Google Scholar] [CrossRef]
- Rani, P.; Mishra, A.R.; Rezaei, G.; Liao, H.; Mardani, A. Extended pythagorean fuzzy TOPSIS method based on similarity measure for sustainable recycling partner selection. Int. J. Fuzzy Syst. 2020, 22, 735–747. [Google Scholar] [CrossRef]
- Wang, L.; Wang, Q.; Xu, S.; Ni, M. Distance and similarity measures of dual hesitant fuzzy sets with their applications to multiple attribute decision making. In Proceedings of the 2014 IEEE International Conference on Progress in Informatics and Computing, Shanghai, China, 16–18 May 2014. [Google Scholar]
- Perez-Benitez, V.; Gemar, G.; Hernandez, M. Multi-criteria analysis for business location decisions. Mathematics 2021, 9, 2615. [Google Scholar] [CrossRef]
- Selvaraj, J.; Majumdar, A. A new ranking method for interval-valued intuitionistic fuzzy numbers and its application in Multi-criteria decision-making. Mathematics 2021, 9, 2647. [Google Scholar] [CrossRef]
- Zadeh, L.A. Toward a generalized theory of uncertainty (GTU) an outline. Inf. Sci. 2005, 172, 140. [Google Scholar] [CrossRef]
- Puri, M.L.; Ralescu, D.A. Differentials of fuzzy functions. J. Math. Anal. 1983, 91, 552–558. [Google Scholar] [CrossRef] [Green Version]
- Kaleva, O. Fuzzy differential equations. Fuzzy Sets Syst. 1987, 24, 301–317. [Google Scholar] [CrossRef]
- Buckley, J.J.; Feuring, T. Fuzzy differential equations. Fuzzy Sets Syst. 2000, 110, 43–54. [Google Scholar] [CrossRef]
- Mizukoshi, M.T.; Barros, L.C.; Chalco-Cano, Y.; Roman-Flores, H.; Bassanezi, R.C. Fuzzy differential equations and the extension principle. Inf. Sci. 2007, 177, 3627–3635. [Google Scholar] [CrossRef]
- Effati, S.; Pakdaman, M. Artificial neural network approach for solving fuzzy differential equations. Inf. Sci. 2010, 180, 1434–1457. [Google Scholar] [CrossRef]
- Beg, I.; Rashid, T.; Jamil, R.N. Human attitude analysis based on fuzzy soft differential equations with bonferroni mean. Comput. Appl. Math. 2018, 37, 2632–2647. [Google Scholar] [CrossRef]
- Strogatz, S.H. Linear Systems. In Nonlinear Dynamics and Chaos: With Applications to Physics, Biology, Chemistry, and Engineering; Perseus Books Publishing: New York, NY, USA, 1994; pp. 123–144. [Google Scholar]
- Sprott, J.C. Dynamical models of love. Non-Linear Dyn. Psychol. Life Sci. 2004, 8, 303–313. [Google Scholar]
- Friedkin, N.; Johnson, E. Social influence network and opinion change. Adv. Group Process. 1999, 16, 1–29. [Google Scholar]
- Khalid, A.; Beg, I. Influence model of evasive decision makers. J. Intell. Fuzzy Syst. 2019, 37, 2539–2548. [Google Scholar] [CrossRef] [Green Version]
- Heninger, W.G.; Dennis, A.R.; Hilmer, K.M.N. Individual cognition and Dual-task interference in group support systems. Inf. Syst. Res. 2006, 17, 415–424. [Google Scholar] [CrossRef]
- Xiao, F. A complex mass function to predict interference effects. IEEE Trans. Cybern. 2021, 1–13. [Google Scholar] [CrossRef]
- Xu, Z.; Xia, M. Distance and similarity measures for hesitant fuzzy sets. Inf. Sci. 2011, 181, 2128–2138. [Google Scholar] [CrossRef]
- Kargar, R.; Allahviranloo, T.; Malkhalifeh, M.R.; Jahanshaloo, G.R. A proposed method for solving fuzzy system of linear equations. Sci. World J. 2014, 2014, 782093. [Google Scholar] [CrossRef] [PubMed] [Green Version]











Publisher’s Note: MDPI stays neutral with regard to jurisdictional claims in published maps and institutional affiliations. |
© 2021 by the authors. Licensee MDPI, Basel, Switzerland. This article is an open access article distributed under the terms and conditions of the Creative Commons Attribution (CC BY) license (https://creativecommons.org/licenses/by/4.0/).
Share and Cite
Mahmood, A.; Raza, M. Observation of a Change in Human Attitude in a Decision Making Process Equipped with an Interference of a Third Party. Mathematics 2021, 9, 2788. https://doi.org/10.3390/math9212788
Mahmood A, Raza M. Observation of a Change in Human Attitude in a Decision Making Process Equipped with an Interference of a Third Party. Mathematics. 2021; 9(21):2788. https://doi.org/10.3390/math9212788
Chicago/Turabian StyleMahmood, Asma, and Mohsan Raza. 2021. "Observation of a Change in Human Attitude in a Decision Making Process Equipped with an Interference of a Third Party" Mathematics 9, no. 21: 2788. https://doi.org/10.3390/math9212788
APA StyleMahmood, A., & Raza, M. (2021). Observation of a Change in Human Attitude in a Decision Making Process Equipped with an Interference of a Third Party. Mathematics, 9(21), 2788. https://doi.org/10.3390/math9212788

