Next Article in Journal
Ordered Vectorial Quasi and Almost Contractions on Ordered Vector Metric Spaces
Next Article in Special Issue
On PSO-Based Simulations of Fuzzy Dynamical Systems Induced by One-Dimensional Ones
Previous Article in Journal
Multiple-Criteria Decision Analysis Using TOPSIS and WSA Method for Quality of Life: The Case of Slovakia Regions
Previous Article in Special Issue
Weaker Forms of Soft Regular and Soft T2 Soft Topological Spaces
 
 
Font Type:
Arial Georgia Verdana
Font Size:
Aa Aa Aa
Line Spacing:
Column Width:
Background:
Article

Stability Analysis and Robust Stabilization of Uncertain Fuzzy Time-Delay Systems

1
Department of Electrical Engineering, Southern Taiwan University of Science and Technology, Tainan City 71005, Taiwan
2
Department of Computer Science and Information Engineering, Southern Taiwan University of Science and Technology, Tainan City 71005, Taiwan
*
Author to whom correspondence should be addressed.
Mathematics 2021, 9(19), 2441; https://doi.org/10.3390/math9192441
Submission received: 23 August 2021 / Revised: 13 September 2021 / Accepted: 24 September 2021 / Published: 1 October 2021
(This article belongs to the Special Issue Computing Mathematics with Fuzzy Sets)

Abstract

:
New sufficient conditions for delay-independent and delay-dependent robust stability of uncertain fuzzy time-delay systems based on uncertain fuzzy Takagi-Sugeno (T-S) models are presented by using the properties of matrix and norm measurements. Further sufficient conditions are formulated, in terms of the linear matrix inequalities (LMIs) of robust stabilization, and are developed via the technique of parallel distributed compensation (PDC), and then the simplification of the conditions for the controller design of uncertain fuzzy time-delay systems. The proposed methods are simple and effective. Some examples below are presented to illustrate our results.

1. Introduction

The stability analysis and control design of a nonlinear system is a difficult task. In fact, the controlled object of the control system is always nonlinear. Sometimes it is difficult to use linearization or recognition techniques to describe complex nonlinear systems. Recently, the so-called fuzzy model [1,2], which uses fuzzy implication to express the local linear input/output relationship of nonlinear systems, is used to approximate nonlinear objects. The study conducted by [1] used fuzzy logic to model two effective factors that affect melatonin regarding Major Depressive Disorder (MDD). The Fuzzy Logic Direct Model Reference Adaptive Control (DMRAC) is the choice of insulin infusion control for Type I diabetes, as shown in [2]. Takagi-Sugeno (TS)-type fuzzy is a special case of fuzzy systems, where Takagi-Sugeno (TS)-type fuzzy controllers have been fully applied to stabilize controller design. In addition, based on the parallel distributed compensation (PDC) technology, the control design of this type of fuzzy control system is derived according to [3,4,5,6,7,8,9,10,11,12,13]. A new, observer-based fuzzy controller design method with a time-delay adaptability is proposed in the study conducted by [3]. The designed controller contains both current and past state information of the system and can be derived by solving a set of linear matrix inequalities (LMI). In the study put forth by [4], the so-called fuzzy Lyapunov function (i.e., multiple Lyapunov function) is used to solve the stability analysis and stability problems of the Takagi-Sugeno fuzzy system. In order to make full use of the fuzzy Lyapunov function, we propose a new parallel distributed compensation (PDC) scheme, which feeds back the time derivative of the premise membership function. The study conducted by [5] considers the observer design for a class of nonlinear systems with unknown inputs. The Parallel Distributed Observer (PDO), composed of a local linear observer and an appropriate level of membership function, is a conventional observer of the Takagi-Sugeno fuzzy bilinear system. The study conducted by [6] used the Takagi-Sugeno (TS) fuzzy model to design a controller and assuming that uncertainty affects system behavior through state and control input, an observer that can capture part of the uncertainty trajectory related to control input is proposed. The nonlinear system and the system demonstrate the proposed fault-tolerant control scheme. The proposed fault-tolerant controller is implemented and verified on three interconnected cones. The tank system has two constraints in terms of failure, one is the construction of the actuator, the other is the system composition (leakage). The MATLAB Simulink platform with linear fuzzy model and The LMI toolbox is used to solve the LMI and determine the recommended controller gain design method [7]. Based on Mayer’s convergence theorem, [8] studied the stability analysis of the linear Takagi-Sugeno (T-S) free fuzzy systems with corresponding parameter uncertainties. Three numerical iterative schemes are proposed, namely: Jacobi, Gauss-Seidel, and continuous over-relaxation (SOR) to solve the fuzzy system of linear equations (FSLE). The convergence characteristics of these iterative schemes have been discussed [9]. The study conducted by [10] proposed to use the approximation of the CKM algorithm in the original harmony search algorithm (HS) to adjust the pitch adjustment rate (PArate) parameter in the Type 2 fuzzy system. The study conducted by [11] applied construct to the control system in the multivariable nonlinear system stability theory, applied the Lyapunov theory, performed input-output stability analysis, and verified the stability domain. The proposed considerations can be applied to various structures to adjust the speed of electric drives using various PI fuzzy controllers. The study conducted by [12] proposed a fuzzy controller design method based on the interval type 2 (IT2) T-S fuzzy model for stochastic nonlinear systems affected by actuator saturation. Using Lyapunov’s theory, the stability analysis of the IT2 T-S fuzzy model and some corresponding sufficient conditions are established [13]. The idea is to design a compensator for each rule of the fuzzy system. The final overall fuzzy controller is usually non-linear; it is a fuzzy blend of each individual linear controller.
Over the years, the stability problem and control design of time-delay systems have also been explored, because delays are common in engineering systems [14,15,16,17]. The work of [14] studies the stability of discrete time-delay systems. The type of system considered is represented by a delay difference equation, and a nonlinear discrete-time system with time-varying delay is modeled. It converts from a matrix representation to an arrow, allowing the use of aggregation techniques and M matrix properties to determine new sufficient stability conditions. The robust stability of a class of linearly switched time-varying delay systems with all unstable subsystems and interval uncertainties are studied [15]. By establishing a suitable time scheduling multiple co-positive Lyapunov-Krasovskii functional (MCLKF) and adopting a mode-dependent dwell time (MDDT) switching strategy, a new delay-related sufficient condition is formulated to ensure the global uniform asymptotic stability of the system under consideration. The study conducted by [16] aimed at a class of high-order, nonlinear systems with a time delay, where a design method of an output feedback tracking controller is proposed. In order to deal with the time lag, a suitable Lyapunov-Krasovskii tracking analysis is cleverly constructed, and the output feedback tracking controller is designed using the homogeneous dominance method. In the works of [17], the delay-related stability of the haptic system is studied by developing a new stability criterion. First, the haptic system inevitably introduces time delays by using a communication network to transmit information between the controller and the haptic device. When discussing the stability of the haptic system near its operating point, the original nonlinear system is modeled as a linear system with the above-mentioned time delay. In summary, the stability problem and control design of the T-S fuzzy time-delay system have aroused people’s great interest, and it is naturally worth studying ([18,19,20,21]). In the study conducted by [18], the event-triggered communication (ETC) scheme is used to study the design of fuzzy H filters for nonlinear network control systems. First, a new adaptive ETC scheme is given to determine whether the sampled measurement output should be released to the communication network. In addition, the augmented fuzzy line integral Lyapunov function is introduced into the H performance analysis of the filter error system, and the time derivative information of the membership function is fully considered to reduce the conservativeness of the network fuzzy filter design. The author of [19] proposes an adaptive fuzzy hierarchical sliding mode control method for a class of multi-input, multi-output unknown nonlinear time-delay systems with input saturation. Based on the Takagi-Sugeno fuzzy model method, an output feedback control strategy is developed for a class of continuous-time nonlinear time-delay systems through an improved repetitive control scheme [20]. The author of [21] studies the sampling data stabilization problem of Takagi-Sugeno (T-S) fuzzy system with time delay. By considering the state information in the interval from t k to t and t to t k + 1 , a new two-sided delay-related cyclic functional is introduced, which can not only relax the monotonic constraint (LKF) of the Lyapunov-Krasovskii functional, but also make better use of the actual sampling mode.
In this paper, based on the properties of matrix and norm measurements, we first give sufficient conditions for the robust stability test of uncertain fuzzy time-delay systems, the conditions of test results include delay-independent and delay-dependent. It needs only to solve r (the number of rules of the fuzzy model) inequality, not to find a common positive definite matrix P. It is a difficult task to find such a P, especially when the number of rules of the fuzzy model is large. Three numerical examples and one particular example are provided to illustrate the effectiveness of the proposed method. The following notations will be used throughout the paper: the identity matrix with dimension n is denoted by I n , λ(A) stands for the eigenvalues of matrix A , ‖A‖ denotes the norm of matrix A, i.e., A = M a x [ λ A T A ] 1 2 ,   μ A means the matrix measure of matrix A, i.e., μ A = M a x λ A + A T / 2 .

2. System Description and Problem Statement

Consider a time-delay system described by the following T-S fuzzy model. This T-S fuzzy time-delay system is composed of r rules that can be represented as follows: R i : If θ 1 is M i 1 and θ g is M i g Then
x ˙ t = A i x t + A d i x t τ + B i u t + f i x t
And f i x t is a bounded nonlinear perturbation vector satisfying
f i x t b i x t
where b i > 0 .
By using a center-average defuzzifer, product inference and singleton fuzzifier, the fuzzy time-delay system (1) can be inferred as
x ˙ t = i = 1 r h i θ t [ A i x t + A d i x t τ + B i u t + f i x t ]
where h i θ t = ( v i θ t / i = 1 r v i θ t ) and v i θ t = Π j = 1 g M i j θ j t . M i j θ j t is the grade of membership of θ j t in the fuzzy set M i j . It is seen that M i j θ j t 0 and i = 1 r h i = 1 .
For simplicity, we use the symbol h i to denote h i θ t . First we will derive the delay-independent stability condition of an unforced system (1). For this objective, some helpful lemmas are given below.
Consider the time-delay system
x ˙ t = A x t + A d x t τ
where   x R n , A and A d are matrices in proper dimensions, τ is the delay duration.
Lemma 1 [22].
The stability of system (4) implies the stability for the following systems and vice versa.
w ˙ t = A + z A d w t , z = 1
where z = exp(jw), w 0 , 2 π , j = 1 and z C.
In light of Lemma 1, it is obvious that the stability of the fuzzy time-delay system (3) is equivalent to that of the system
w ˙ t = i = 1 r h i A i + z A d i w t + f i w t , z = 1
Lemma 2 [23].
For matrix A R n × n , B R n × n , the following relation holds:
exp [ A + z B t ] exp [ μ A + z B t ] exp [ μ A + B t ] , z = 1
Furthermore, we assume η i = μ A i + A d i , η = m a x 1 i r η i and b = m a x 1 i r b i , the following relation holds:
Lemma 3. 
It is true that i = 1 r h i η i η .
Proof 1. 
i = 1 r h i η i η i = 1 r h i η η   = 0
This completes the proof.  □

3. Main Results

3.1. A. Delay-Independent Robust Stability

Now, we present a delay-independent condition of robust stability for the fuzzy time-delay system (1).
Theorem 1. 
The fuzzy time-delay system (1) will have robust stability with a delay-independence if η < 0 holds. Furthermore, the max perturbation bound b satisfies
b < η
Proof 2. 
The trajectory response of system (6) can be written as follows:
w t = e i = 1 r h i A i + z A d i t w 0 + 0 t i = 1 r h i e i = 1 r h i A i + z A d i t s f i w s d s
Applying the norm on both sides of Equation (9) and in view of Lemma 1, we can obtain the following equation.
w t e i = 1 r h i A i + z A d i t w 0 + 0 t i = 1 r h i e i = 1 r h i A i + z A d i t s f i w s d s e i = 1 r h i μ A i + z A d i t w 0 + 0 t i = 1 r h i b i e i = 1 r h i μ A i + z A d i t s w s d s e i = 1 r h i μ A i + A d i t w 0 + 0 t i = 1 r h i b i e i = 1 r h i μ A i + A d i t s w s d s e η t w 0 + 0 t b e η t s w s d s v t = e η t v 0 + 0 t b e η t s v s d s
Then, Equation (10) is a solution of the following system (11):
v ˙ t = η + b v t
Since w t v t (from the comparison theorem), the exponential stability of v t implies that of w t . Hence, the system (6) is globally exponentially stable, if η + b is negative. Furthermore, the system (1) is also stable due to the system (6) and (1) having the same stability properties. This completes the proof.  □
Corollary 1. 
Consider the fuzzy system (1) without delay and perturbation is asymptotically stable, if the following condition is satisfied
μ A i < 0 for   i = 1 ,   2 ,   r .
Remark 1. 
In view of Theorem 1, the stability criterion of fuzzy system (1)doesn not need to find a common positive definite matrix to satisfy any inequality.

3.2. B. Delay-Dependent Robust Stability

Next, we will derive a sufficient stability condition for fuzzy time-delay system (1) with delay-dependence. One can obtain the following equation:
x t τ = x t t τ t x ˙ s d s = x t t τ t i = 1 r h i A i x s + A d i x s τ + f i x s d s
Hence, the system (3) can be written as
x ˙ t = i = 1 r h i A i x t + i = 1 r h i A d i { x t t τ t j = 1 r h j A j x s + A d j x s τ + f j x s d s } + i = 1 r h i f i x t = i = 1 r h i A i + A d i x t i = 1 r h i A d i t τ t j = 1 r h j [ A j x s + A d j x s τ + f j x s ) ] d s + i = 1 r h i f i x t
Furthermore, assume δ i = μ A i + A d i , δ = m a x 1 i r δ i , σ 1 = m a x 1 i , j r A i A d j and σ 2 = m a x 1 i , j r A d i A d j .
Prior to the examination of robust stability problem for system (1), one useful concept is given below.
Lemma 4. 
Let r ˙ t α r t + β sup r ω for t 0 and if α > β > 0 . Then there exist a ξ > 0 and a η > 0 such that r t η e ξ t t 0 for t 0 .
In the following, a sufficient condition for ensuring the asymptotic stability of a fuzzy time-delay system is proposed.
Theorem 2. 
Suppose δ + b < 0 , then the fuzzy time-delay system (1) will have robust stability with delay-dependence, if
τ < δ b σ 1 + σ 2
is satisfied.
Proof 3. 
The trajectory response of system (14) can be written as follows
x t = e i = 1 r h i A i + A d i t x 0 0 t e i = 1 r h i A i + A d i t s { s τ s i = 1 r h i A d i [ j = 1 r h j ( A j x θ + A d j θ τ ) d θ ] } d s + 0 t e i = 1 r h i A i + A d i t s ( i = 1 r h i f i x s ) d s
Applying the norm on both sides of Equation (16), we obtain
x t e i = 1 r h i δ i t x 0 + 0 t e i = 1 r h i δ i t s { s τ s i = 1 r j = 1 r h i h j [ A i A d j x θ + A d i A d j x θ τ ] d θ } d s + 0 t e i = 1 r h i A i + A d i t s i = 1 r h i f i x s d s e δ t x 0 + 0 t e δ t s [ s τ s ( σ 1 x θ + σ 2 x θ τ ) d θ ] d s + 0 t e δ t s i = 1 r h i b i x s d s e δ t x 0 + 0 t e δ t s τ σ 1 + σ 2 s u p s 2 τ θ s x θ d s + 0 t e δ t s b x s ] d s
Let
v t = e δ t v 0 + 0 t e δ t s τ σ 1 + σ 2 s u p s 2 τ θ s v θ d s + 0 t e δ t s b v s ] d s
Then, the Equation (18) is a solution of the following system (19).
v ˙ t = δ + b v t + τ σ 1 + σ 2 s u p s 2 τ θ s v θ
Since x t v t (from the comparison theorem), the exponentially stable of v t implies that of x t . From Lemma 4, system (1) is asymptotically stable, if the following equation is satisfied:
δ b > τ σ 1 + σ 2 > 0 ,   i . e . ,   τ < δ b σ 1 + σ 2
This completes the proof.  □

3.3. C. Controller Design

In the subsection, this paper investigates the problem of designing a fuzzy state feedback controller to stabilize the system (1). Based on the concept of PDC, we consider the following fuzzy control rules:
C i :   If   θ 1   is   M i 1   and   θ g   is   M i g   Then u t = F i x t
Hence, the overall output of this fuzzy controller is
u t = i = 1 r h i F i x t
By substituting (21) into (3), the global closed-loop fuzzy system becomes
x ˙ t = i = 1 r j = 1 r h i h j A i B i F j x t + A d i x t τ + f i x t
In light of Lemma 1, it is obvious that the stability of the fuzzy time-delay system (22) is equivalent to that of the system
w ˙ t = i = 1 r j = 1 r h i h j A i B i F j + z A d i w t + f i w t z = 1
Furthermore, we assume η i j = μ A i B i F j + A d i and η ¯ = m a x 1 i , j r η i j . Next, we shall discuss the robust stabilization problem of the system (1).
Theorem 3. 
Suppose the state feedback gains F i satisfy the following conditions:
η i j < 0
For i, j = 1, 2,…, r, then the perturbed fuzzy time-delay system (1) can be stabilized asymptotically by the fuzzy controller (21). Furthermore, the tolerable perturbation bound b satisfies
b < η ¯
Proof 4. 
The trajectory response of system (22) can be written as follows:
w t = e i = 1 r i = 1 r h i h j A i B i F j + z A d i t w 0 + 0 t i = 1 r h i e i = 1 r j = 1 r h i h j A i B i F j + z A d i t s f i w s d s
Applying the norm on both sides of Equation (26) and in view of lemma 1, we can obtain the following equation.
w t e i = 1 r j = 1 r h i h j A i B i F j + z A d i t w 0 + 0 t i = 1 r h i e i = 1 r i = 1 r h i h j A i B i F j + z A d i t s f i w s d s e i = 1 r j = 1 r h i h j μ A i B i F j + z A d i t w 0 + 0 t i = 1 r h i b i e i = 1 r j = 1 r h i h j μ A i B i F j + z A d i t s w s d s e i = 1 r j = 1 r h i h j η i j t w 0 + 0 t i = 1 r h i b i e i = 1 r j = 1 r h i h j η i j t s w s d s e η ¯ t w 0 + 0 t b e η ¯ t s w s d s
Let
v t = e η ¯ t v 0 + 0 t b e η ¯ t s v s d s
Then, Equation (28) is a solution of the following system (29).
v ˙ t = η ¯ + b v t
Since w t v t (from the comparison theorem), the exponential stability of v t implies that of w t . Hence, the system (26) is globally exponential stability, if η ¯ + b is negative, Furthermore, the system (1) is also stable due to the system (26) and (1) having the same as stability properties. This completes the proof.  □
Remark 2. 
In fact, we can simplify state feedback gains F i to F , for i = 1, 2,…,r, from the condition (24). Hence, we only need to consider the r fuzzy rules for the system (1) then we can find the controller gain F, (i.e., the controller (20) and condition (24) can be turned into the following controller and condition, respectively).
u t = F x t
μ A i B i F + A d i < 0   for   i = 1 , 2 , , r  
Corollary 2. 
In view of Remark 2, the condition (31) can be easily transformed into the following problem of LMIs:
A i + A i T B i F F T B i T + 2 A d i I < 0   for   i = 1 ,   2 , , r
Corollary 3. 
If the tolerable perturbation bound b can be known, and the state feedback gains F , satisfy the following problem of LMIs.
A i + A i T B i F F T B i T + 2 A d i + b I < 0
For i = 1,2,…,r, then the perturbed fuzzy time-delay system (1) can be stabilized asymptotically by the fuzzy controller (30).
Corollary 4. 
The system (1) without time-delay and perturbation is asymptotically stable, if there exists state feedback gains F such that
μ A i + B i F < 0   for   i , j = 1 , 2 , , r

4. Example

Example 1. 
Consider the following simple T-S fuzzy time-delay model with Perturbation where the fuzzy rules are given by
Rule 1 :   IF x 2 t is M 1 e . g . Small THEN x ˙ t = A 1 x t + A d 1 x t τ + f 1 x t Rule 2 :   IF x 2 t is M 2 e . g . Big THEN x ˙ t = A 2 x t + A d 2 x t τ + f 2 x t
where x t = x 1 t x 2 t T , A 1 = 2.9870 0.7508 1.8256 1.8563 , A 2 = 1.1822 0.3462 1.1459 1.8463 , A d 1 = 0.2 0 0.1 0.3 and A d 2 = 0.13 0.21 0 0.2 .
The membership function for x 2 are the Gaussian function forms
s m a l l x 2 = 1 x 2 , 1 e x p [ x 2 + 1 ) 2 x 2 1 ,
and
b i g x 2 = e x p [ x 2 1 ) 2 x 2 , 1 1 x 2 1 ,
Now we want to analyze the system’s stability. Using Theorem 1, we obtain η 1 = μ A 1 + A d 1 = 1.3159 and η 2 = μ A 2 + A d 2 = 0.3914 . Hence, η = m a x 1 i 2 η i = 0.3914 , the uncertain fuzzy time-delay System (35) is robust stable with delay-independence under the tolerable perturbation bound b < η = 0.3914 .
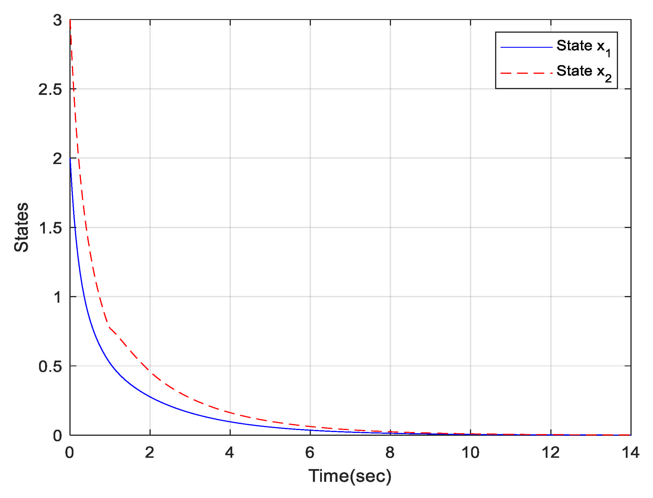
The trajectories for states of the T-S fuzzy time-delay System (35) is shown in Figure 1 with initial value x 1 0 x 2 0 T = 2 3 T and τ = 1 ,   f 1 = f 2 = 0.3 sin x 1 2 + x 2 2 . The solid line is the state of x 1 and the dotted line is the state of x 2 .
Example 2. 
Consider the following simple T-S fuzzy time-delay model with Perturbation where the fuzzy rules are given by
Rule 1 : IF x 2 t is M 1 e . g . Small THEN x ˙ t = A 1 x t + A d 1 x t τ + f 1 x t Rule 2 : IF x 2 t is M 2 e . g . Big THEN x ˙ t = A 2 x t + A d 2 x t τ + f 2 x t
where x t = x 1 t x 2 t T , A 1 = 2.9870 0.7508 1.8256 1.8563 , A 2 = 1.1822 0.3462 1.1459 1.8463 , A d 1 = 0.2 0 0.1 0.3 and A d 2 = 0.13 0.21 0 0.2 .
The membership function for x 2 is as the same as for Example 1. Firstly, we can easily calculate δ 1 = μ A 1 + A d 1 = 0.8419 , δ 2 = μ A 2 + A d 2 = 1.5246 , δ = max δ 1 ,   δ 2 = 0.8419 ,   σ 1 = m a x 1 i , j 2 A i A d j = 4.5351 and σ 2 = m a x 1 i , j 2 A d i A d j = 1.5326 . In view of Theorem 2, the System (36) is robust stable, if the relationship between the delay and the tolerable perturbation bound b satisfy the following inequality
τ < δ b σ 1 + σ 2 = 0.8419 b / 6.0677   and   b < 0.8419 .
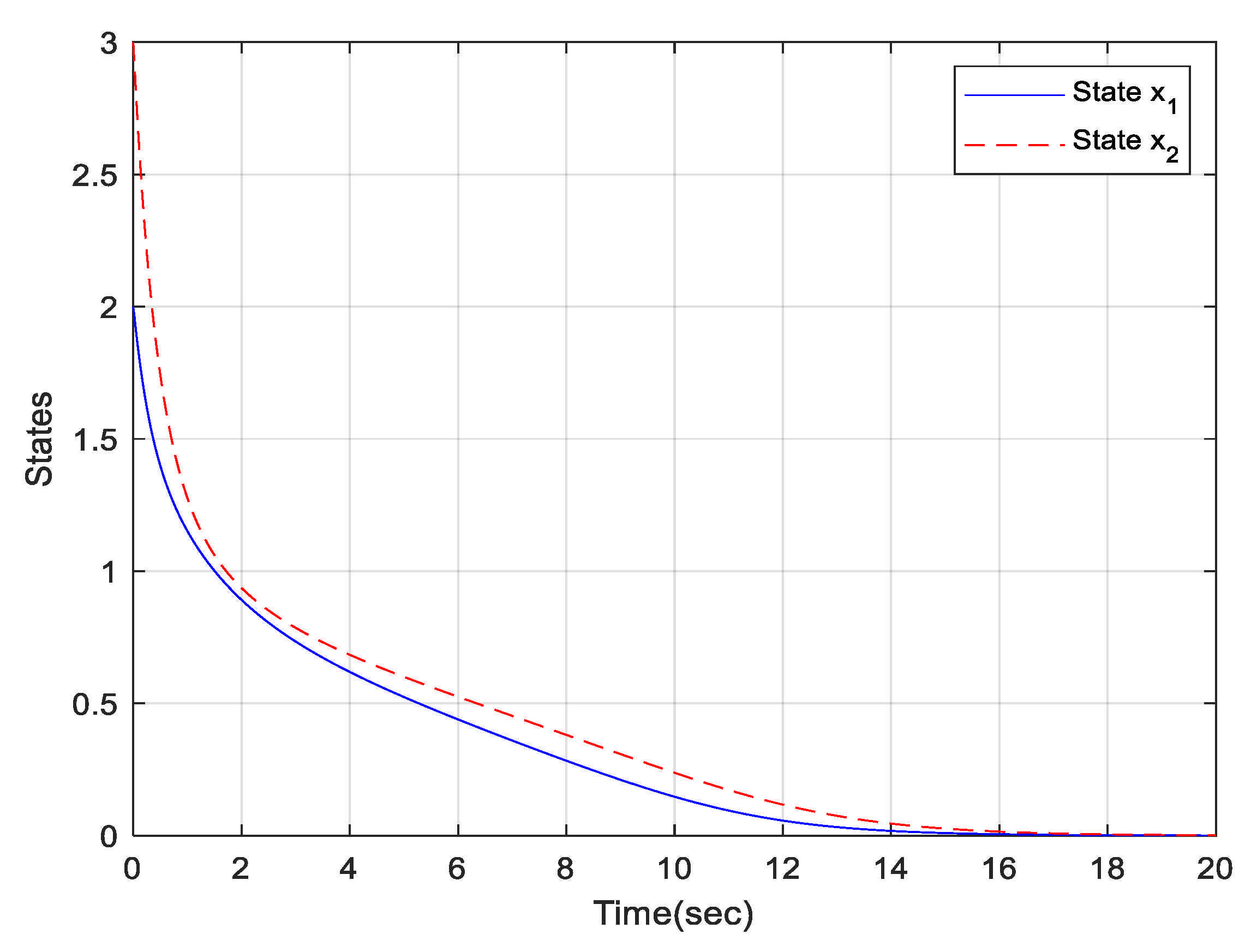
The trajectories for states of the T-S fuzzy time-delay System (36) is shown in Figure 2 with initial value x 1 0 x 2 0 T = 2 3 T and τ = 0.023 ,   f 1 = f 2 = 0.7 sin x 1 2 + x 2 2 . The solid line is the state of x 1 and the dotted line is the state of x 2 .
Example 3. 
Consider the following simple T-S fuzzy time-delay model with Perturbation where the fuzzy rules are given by
Rule 1 :   IF x 2 t is M 1 e . g . Small THEN x ˙ t = A 1 x t + A d 1 x t τ + B 1 u t + f 1 x t Rule 2 :   IF x 2 t is M 2 e . g . Big THEN x ˙ t = A 2 x t + A d 2 x t τ + B 2 u t + f 2 x t
where x t = x 1 t x 2 t T and A 1 = 0 0.9 0.3 1.5 ,   A 2 = 0 0.8 0.4 1.7 ,   A d 1 = 0 0.01 0.018 0.2 ,   A d 2 = 0 0.01 0.012 0.19 , B 1 = 1 0 and B 2 = 1 0 .
The membership function for x 2 is as the same for Example 1. We get controller gain matrices satisfying (32) by using the LMI technique as follows:
F 1 = F 2 = 1.8996 1.2 , then η 11 = μ A 1 B 1 F 1 + A d 1 = 1.2989 , η 12 = μ A 1 B 1 F 2 + A d 1 = 1.2989 , η 21 = μ A 2 B 2 F 1 + A d 2 = 1.5094 and η 22 = μ A 2 B 2 F 2 + A d 2 = 1.5094 . Hemce, η ¯ = m a x 1 i , j 2 η i j = 1.2989   and check the inequality (25), the tolerable bound is b < η ¯ = 1.2989 .
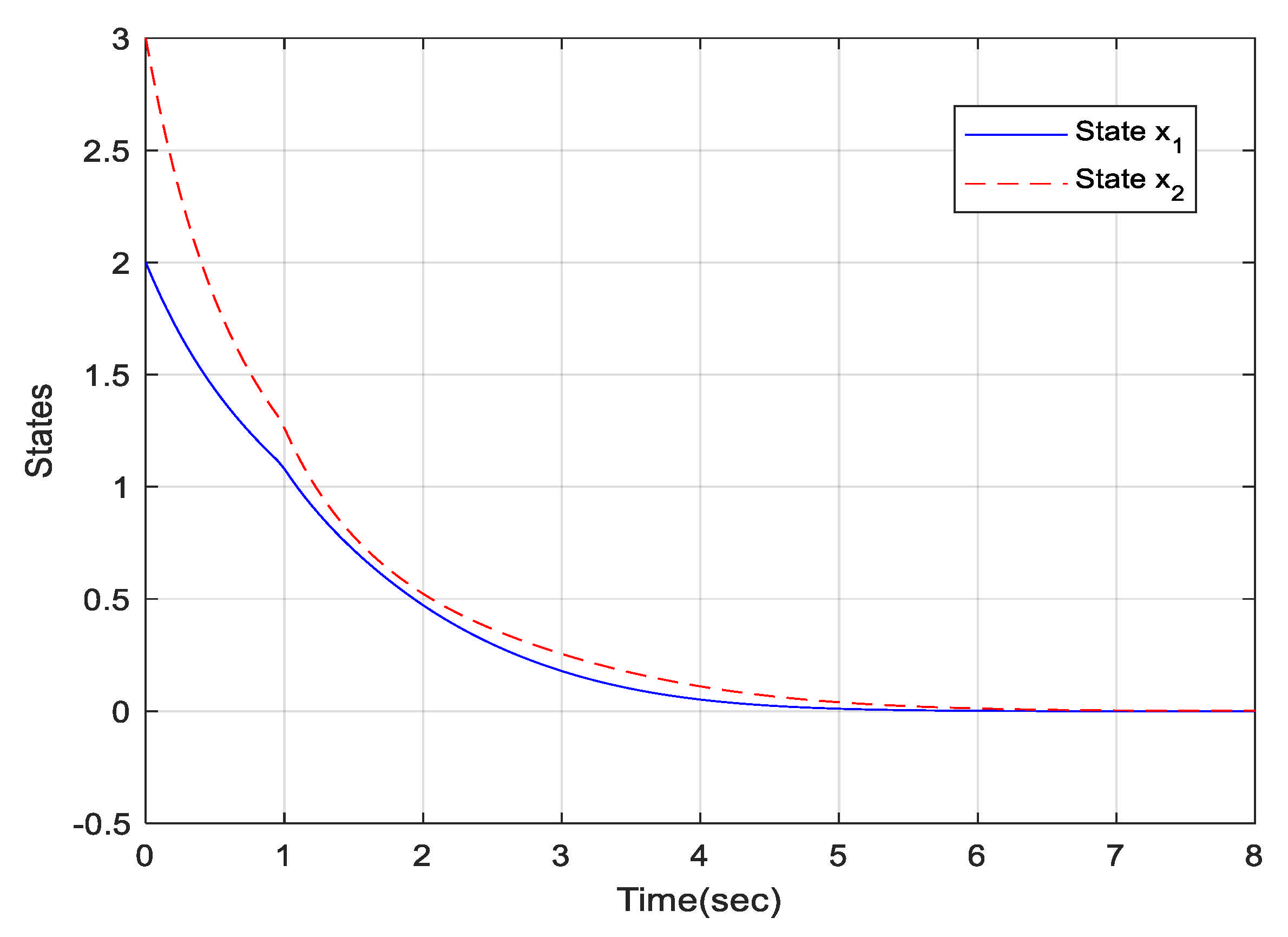
The trajectories for states of the T-S fuzzy time-delay System (37) is shown in Figure 3 with initial value x 1 0 x 2 0 T = 2 3 T and τ = 1 ,   f 1 = f 2 = 0.9 sin x 1 2 + x 2 2 . The solid line is the state of x 1 and the dotted line is the state of x 2 .
Furthermore, if we choose the gain matrices F 1 = F 2 = 1.8598 0.5742 , then η 11 = μ A 1 B 1 F 1 + A d 1 = 1.1179 , η 12 = μ A 1 B 1 F 2 + A d 1 = 1.1179 , η 21 = μ A 2 B 2 F 1 + A d 2 = 1.2663 and η 22 = μ A 2 B 2 F 2 + A d 2 = 1.2663 . Hence, η ¯ = m a x 1 i , j 2 η i j = 1.1179   and the perturbation bound b < η ¯ = 1.1179 can be obtained via Corollary 2.
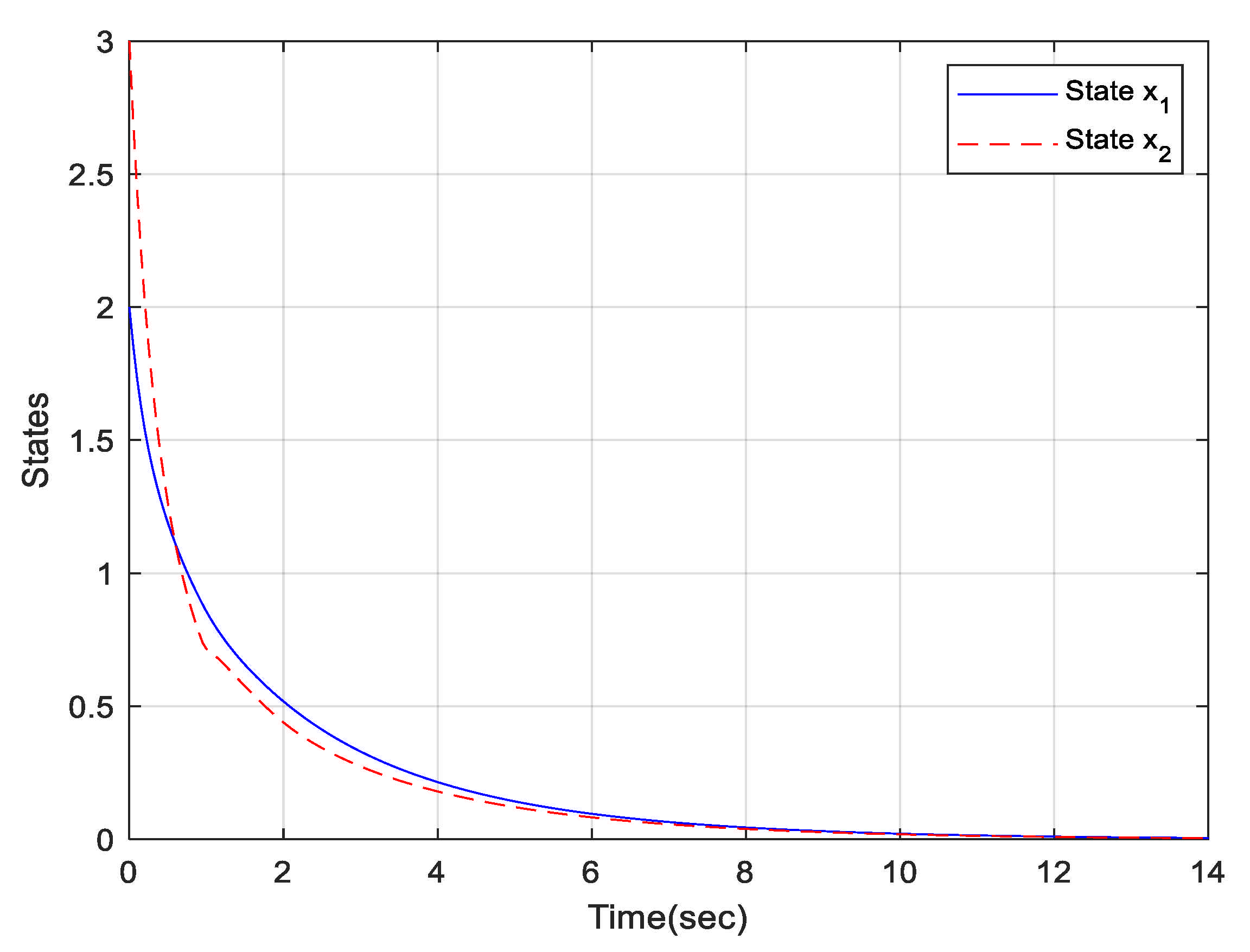
The trajectories for states of the T-S fuzzy time-delay system (37) is shown in Figure 4 with initial value x 1 0 x 2 0 T = 2 3 T and τ = 1 ,   f 1 = f 2 = 0.9 sin x 1 2 + x 2 2 . The solid line is the state of x 1 and the dotted line is the state of x 2 .
Example 4. 
Consider the first order, irreversible, exothermic reaction A B , carried out in a well-mixed continuously stirred tank reactor (CSTR) [21].
Rule   1 :   If   the   temperature   is   low   i . e . ,   x 2 t   is   about   0.8862   then x ˙ t = 1.4274 0.0757 1.4189 0.9442 x t + 0.25 0 0 0.25 x t τ + 0 0.3 u t + f 1 x t Rule   2 :   If   the   temperature   is   moderate   i . e . , x 2 t   is   about   2.7520   then x ˙ t = 2.0508 0.3958 6.4066 1.6168 x t + 0.25 0 0 0.25 x t τ + 0 0.3 u t + f 2 x t Rule   3 :   If   the   temperature   is   hight   i . e . , x 2 t   is   about   4.7052   then x ˙ t = 4.5279 0.3167 26.2228 0.9837 x t + 0.25 0 0 0.25 x t τ + 0 0.3 u t + f 3 x t
The membership function for x 2 are
x 2 t   is   about   0.8862 :   1 ,   x 2 0.8862 1 x 2 0.8862 2.7520 0.8862 ,   0.8862 < x 2 < 2.7520 0 ,   x 2 2.7520
x 2 t   is   about   2.7520 :   0 ,   x 2 0.8862 x 2 0.8862 2.7520 0.8862 ,   0.8862 < x 2 2.7520 1 x 2 2.7520 4.7052 2.7520 ,   2.7520 < x 2 < 4.7052 0 ,   4.7052 x 2
x 2 t   is   about   4.7052 :   0 ,   x 2 2.7520 x 2 2.7520 4.7052 2.7520 ,   2.7520 < x 2 < 4.7052 1 ,   x 2 4.7052
By using corollary 3 under the perturbation bound b < 0.5, we get controller gain matrices (33) as follows:
F = 0.4580 3.3208 .
The trajectories for states of the T-S fuzzy time-delay system (38) is shown in Figure 5 with initial value x 1 0 x 2 0 T = 2 3 T and τ = 1 ,   f 1 = f 2 = 0.4 sin x 1 2 + x 2 2 . The solid line is the state of x 1 and the dotted line is the state of x 2 .

5. Conclusions

Based on the uncertain fuzzy Takagi-Sugeno (T-S) model, using the properties and norm measurements of the matrix, new sufficient conditions for the delay-independent and delay-dependent robust stability of uncertain fuzzy time-delay systems are proposed. Further sufficient conditions for robust stabilization of linear matrix inequality (LMI) are developed through parallel distributed compensation (PDC) technology, and then the conditions for the design of controllers for uncertain fuzzy time-delay systems are simplified. It is only required to solve the inequality of r (the number of rules of the fuzzy model) instead of finding the public positive definite matrix P. Finding such P is a difficult task, especially when the number of rules in the fuzzy model is large.

Author Contributions

Methodology, J.-S.C.; validation, C.-T.C., and D.-H.C.; formal analysis, J.-S.C.; investigation, J.-S.C.; writing—original draft preparation, C.-T.C.; writing—review and editing, D.-H.C.; visualization, D.-H.C.; supervision, J.-S.C.; project administration, J.-S.C.; funding acquisition, J.-S.C. All authors have read and agreed to the published version of the manuscript.

Funding

This research is supported by the Ministry of Science and Technology, Taiwan, Grant MOST 109-2221-E-218-020-MY2.

Institutional Review Board Statement

Not applicable.

Informed Consent Statement

Not applicable.

Data Availability Statement

Not applicable.

Conflicts of Interest

The authors declare no conflict of interest.

References

  1. Azizi, A.; Osgouie, K.G.; Rashidnejhad, S.; Cheragh, M. Modeling of melatonin behavior in major depression: A fuzzy logic modeling. Appl. Mech. Mater. 2013, 367, 317–321. [Google Scholar] [CrossRef]
  2. Osgouie, K.; Azizi, A. Optimizing fuzzy logic controller for diabetes type I by genetic algorithm. In Proceedings of the 2nd International Conference on Computer and Automation Engineering, Singapore, 26–28 February 2010. [Google Scholar]
  3. Takagi, T.; Sugeno, M. Fuzzy identification of systems and its applications to modeling and control. IEEE Trans. Syst. Man Cybern. 1985, 15, 116–132. [Google Scholar] [CrossRef]
  4. Jianga, X.; Xua, W.; Han, Q.-L. Observer-based fuzzy control design with adaptation to delay parameter for time-delay systems. Fuzzy Sets Syst. 2005, 152, 637–649. [Google Scholar] [CrossRef]
  5. Tanaka, K.; Hori, T.; Wang, H.O. A Multiple Lyapunov function approach to stabilization of fuzzy control systems. IEEE Trans. Fuzzy Syst. 2003, 11, 582–589. [Google Scholar] [CrossRef]
  6. Yoneyama, J. A new observer design for fuzzy bilinear systems with unknown inputs. Designs 2017, 1, 10. [Google Scholar] [CrossRef] [Green Version]
  7. Han, H.; Hamasaki, D. A controller design based on takagi-sugeno fuzzy model employing trajectory of partial uncertainty. Designs 2018, 2, 7. [Google Scholar] [CrossRef] [Green Version]
  8. Patel, H.R.; Shah, V.A. Stable fault tolerant controller design for takagi–sugeno fuzzy model-based control systems via linear matrix inequalities: Three conical tank case study. Energies 2019, 12, 2221. [Google Scholar] [CrossRef] [Green Version]
  9. Pang, C.-T.; Guu, S.-M. Sufficient conditions for the stability of linear takagi–sugeno free fuzzy systems. IEEE Trans. Fuzzy Syst. 2003, 11, 695–700. [Google Scholar] [CrossRef]
  10. Inearat, L.; Qatanani, N. Numerical methods for solving fuzzy linear systems. Mathematics 2018, 6, 19. [Google Scholar] [CrossRef] [Green Version]
  11. Castillo, O.; Valdez, F.; Peraza, C.; Yoon, J.H.; Geem, Z.W. High-speed interval type-2 fuzzy systems for dynamic parameter adaptation in harmony search for optimal design of fuzzy controllers. Mathematics 2021, 9, 758. [Google Scholar] [CrossRef]
  12. Volosencu, C. Stability analysis of systems with fuzzy PI controllers applied to electric drives. Mathematics 2021, 9, 1246. [Google Scholar] [CrossRef]
  13. Chang, W.-J.; Lin, Y.-W.; Lin, Y.-H.; Pen, C.-L.; Tsai, M.-H. Actuator saturated fuzzy controller design for interval type-2 Takagi-Sugeno fuzzy models with multiplicative noises. Processes 2021, 9, 823. [Google Scholar] [CrossRef]
  14. Elmadssia, S.; Saadaoui, K. New stability conditions for a class of nonlinear discrete-time systems with time-varying delay. Mathematics 2020, 8, 1531. [Google Scholar] [CrossRef]
  15. Rojsiraphisal, T.; Niamsup, P.; Yimnet, S. Global uniform asymptotic stability criteria for linear uncertain switched positive time-varying delay systems with all unstable subsystems. Mathematics 2020, 8, 2118. [Google Scholar] [CrossRef]
  16. Alimhan, K.; Mamyrbayev, O.; Abdenova, G.A.; Akmetkalyeva, A. Output tracking control for high-order nonlinear systems with time delay via output feedback design. Symmetry 2021, 13, 675. [Google Scholar] [CrossRef]
  17. Xiong, D.; Liu, Y.; Zhu, C.; Jin, L.; Wang, L. Delay-dependent stability analysis of haptic systems via an auxiliary function-based integral inequality. Actuators 2021, 10, 171. [Google Scholar] [CrossRef]
  18. Zhao, X.; Lin, C.; Chen, B.; Wang, Q.-G.; Ma, Z. Adaptive event-triggered fuzzy H filter design for nonlinear networked systems. IEEE Trans. Fuzzy Syst. 2020, 28, 3302–3314. [Google Scholar] [CrossRef]
  19. Zhao, X.; Yang, H.; Xia, W.; Wang, X. Adaptive fuzzy hierarchical sliding-mode control for a class of MIMO nonlinear time-delay systems with input saturation. IEEE Trans. Fuzzy Syst. 2017, 25, 1062–1077. [Google Scholar] [CrossRef]
  20. Sakthivel, R.; Selvaraj, P.; Kaviarasan, B. Modified repetitive control design for nonlinear systems with time delay based on T–S fuzzy model. IEEE Trans. Syst. Man Cybern. Syst. 2020, 50, 646–655. [Google Scholar] [CrossRef]
  21. Hua, C.; Wu, S.; Guan, X. Stabilization of T-S fuzzy system with time delay under sampled-data control using a new looped-functional. IEEE Trans. Fuzzy Syst. 2020, 28, 400–407. [Google Scholar] [CrossRef]
  22. Hmamed, A. Further results on the robust stability of uncertain time-delay systems. Int. J. Syst. Sci. 1991, 22, 605–614. [Google Scholar] [CrossRef]
  23. Lancaster, P. Theory of Matrices; Academic Press: New York, NY, USA, 1969. [Google Scholar]
Figure 1. Trajectories for x 1 and x 2 .
Figure 1. Trajectories for x 1 and x 2 .
Mathematics 09 02441 g001
Figure 2. Trajectories for x 1 and x 2 .
Figure 2. Trajectories for x 1 and x 2 .
Mathematics 09 02441 g002
Figure 3. Trajectories for x 1 and x 2 .
Figure 3. Trajectories for x 1 and x 2 .
Mathematics 09 02441 g003
Figure 4. Trajectories for x 1 and x 2 .
Figure 4. Trajectories for x 1 and x 2 .
Mathematics 09 02441 g004
Figure 5. Trajectories for x 1 and x 2 .
Figure 5. Trajectories for x 1 and x 2 .
Mathematics 09 02441 g005
Publisher’s Note: MDPI stays neutral with regard to jurisdictional claims in published maps and institutional affiliations.

Share and Cite

MDPI and ACS Style

Chao, C.-T.; Chen, D.-H.; Chiou, J.-S. Stability Analysis and Robust Stabilization of Uncertain Fuzzy Time-Delay Systems. Mathematics 2021, 9, 2441. https://doi.org/10.3390/math9192441

AMA Style

Chao C-T, Chen D-H, Chiou J-S. Stability Analysis and Robust Stabilization of Uncertain Fuzzy Time-Delay Systems. Mathematics. 2021; 9(19):2441. https://doi.org/10.3390/math9192441

Chicago/Turabian Style

Chao, Chun-Tang, Ding-Horng Chen, and Juing-Shian Chiou. 2021. "Stability Analysis and Robust Stabilization of Uncertain Fuzzy Time-Delay Systems" Mathematics 9, no. 19: 2441. https://doi.org/10.3390/math9192441

APA Style

Chao, C.-T., Chen, D.-H., & Chiou, J.-S. (2021). Stability Analysis and Robust Stabilization of Uncertain Fuzzy Time-Delay Systems. Mathematics, 9(19), 2441. https://doi.org/10.3390/math9192441

Note that from the first issue of 2016, this journal uses article numbers instead of page numbers. See further details here.

Article Metrics

Back to TopTop