Acoustics of Fractal Porous Material and Fractional Calculus
Abstract
1. Introduction
2. Product Measure
3. Acoustic Equations for Propagation in Rigid Porous Material
4. Fractal Porous Material and Fractional Calculus
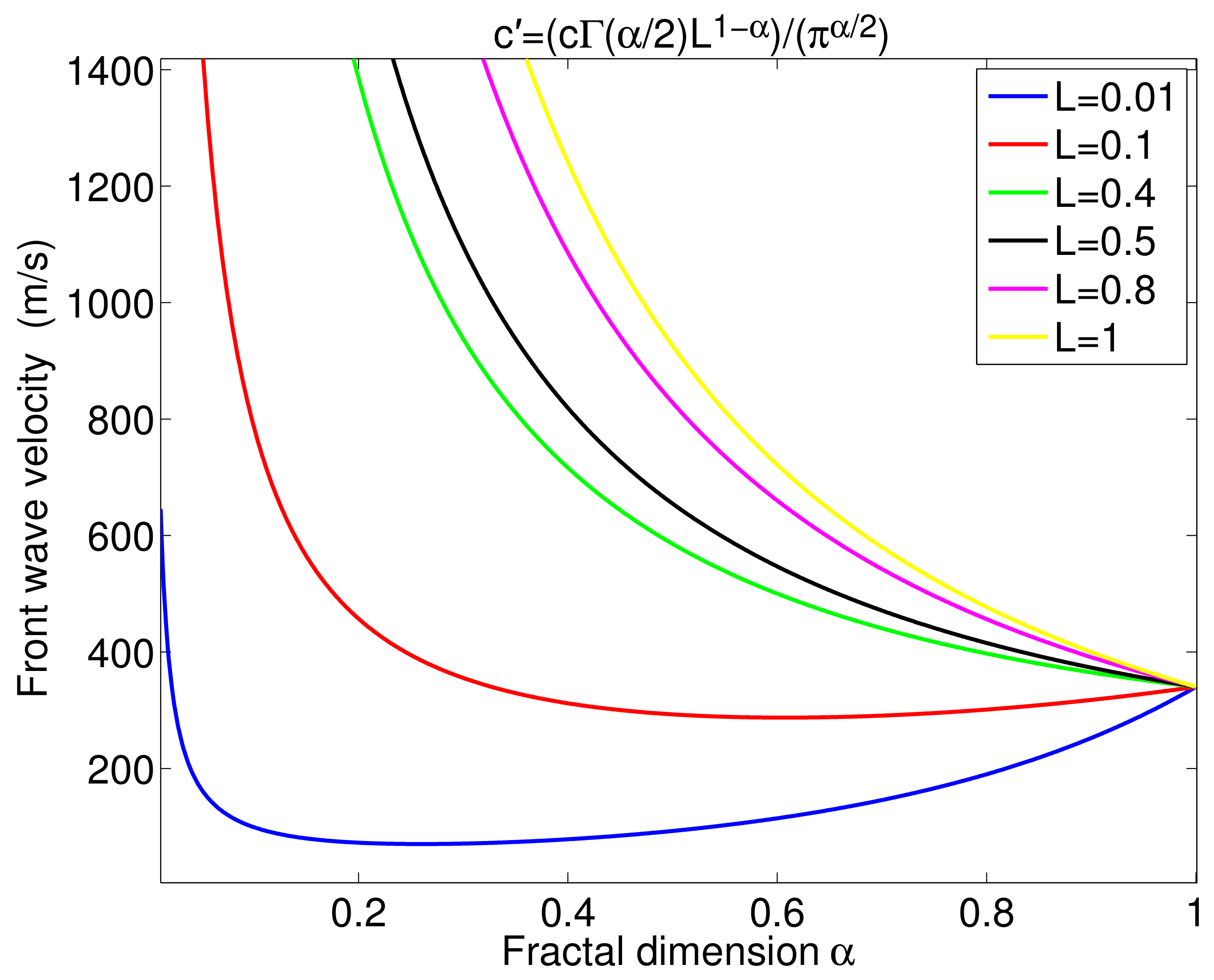
5. Solution of Fractional Propagation Equation in Fractal Porous Material
6. Slab of Fractal Porous Material
7. Reflection and Transmission Coefficients
8. Conclusions
Author Contributions
Funding
Institutional Review Board Statement
Informed Consent Statement
Data Availability Statement
Conflicts of Interest
References
- Mandelbrot, B.B. The Fractal Geometry of Nature, updated and augmented ed.; W. H. Freeman: New York, NY, USA, 1983; 468p. [Google Scholar]
- Barnsley, M.F. Fractals Everywhere; Morgan Kaufmann: San Mateo, CA, USA, 1993. [Google Scholar]
- Williams, J.K.; Dawe, R.A. Fractals: An overview of potential applications to transport in porous media. Transp. Porous Media 1986, 1, 201–209. [Google Scholar] [CrossRef]
- Falconer, K.F. The Geometry of Fractal Sets; Cammbridge University Press: Cammbridge, UK, 1985. [Google Scholar]
- Feder, J. Fractals; Plenum Press: New York, NY, USA, 1988. [Google Scholar]
- Balankin, A.S. Fractional space approach to studies of physical phenomena on fractals and in confined low-dimensional systems. Chaos Solitons Fractals 2020, 132, 109572. [Google Scholar] [CrossRef]
- Tarasov, V.E. Anisotropic Fractal Media by Vector calculus in non-integer dimensional space. J. Math. Phys. 2014, 55, 083510. [Google Scholar] [CrossRef]
- Tarasov, V.E. Vector calculus in non-integer dimensional space and itss applications to fractal media. Commun. Nonlinear Sci. Numer. Simul. 2015, 20, 360–374. [Google Scholar] [CrossRef]
- Kugami, J. Analysis on Fractals; Cammbridge University Press: Cammbridge, UK, 2001. [Google Scholar]
- Strichartz, R.S. Differential Equations on Fractals; Princeton University Press: Princeton, NJ, USA; Oxford, UK, 2006. [Google Scholar]
- Strichartz, R.S. Analysis on Fractals. Not. Am. Math. Soc. 1999, 10, 1199–1208. [Google Scholar]
- Harrison, J. Flux across nonsmooth boundaries and fractal Gauss/Geren/Stokes’ theorems. J. Phys. A 1999, 32, 5317–5328. [Google Scholar] [CrossRef]
- Kumagai, T. Recent developments of analysis on fractals. In Selected Papers on Analysis and Related Topics; Amercian Mathematical Society Series 2; American Mathematical Society: Providence, RI, USA, 2008; Volume 223, pp. 81–96. [Google Scholar]
- Derfel, G.; Grabner, P.; Vogl, F. Laplace operators on fractals and related functional equations. J. Phys. A 2012, 45, 463001. [Google Scholar] [CrossRef]
- Carpinteri, A.; Chiaia, B.; Cornetti, P. Static-kinematic duality and the principle of virtual work in the mechanics of fractal media. Comput. Methods Appl. Mech. Eng. 2001, 191, 3–19. [Google Scholar] [CrossRef]
- Carpinteri, A.; Cornetti, P. A fractional calculus approach to the description of stress and strain localization in fractal media. Chaos Solitons Fractals 2002, 13, 85–94. [Google Scholar] [CrossRef]
- Carpinteri, A.; Chiaia, B.; Cornetti, O. On the mechanics of quasi-brittle materials with a fractal microstructure. Eng. Fract. Mech. 2003, 15, 2321–2349. [Google Scholar] [CrossRef]
- Tarasov, V.E. Continuum medium model for fractal media. Phys. Lett. A 2005, 336, 167–174. [Google Scholar] [CrossRef]
- Tarasov, V.E. Wave equation for fractal solid string. Mod. Phys. Lett. B 2005, 15, 721–728. [Google Scholar] [CrossRef]
- Tarasov, V.E. Fractional hydrodynamic equations for fractal media. Ann. Phys. 2005, 318, 286–307. [Google Scholar] [CrossRef]
- Tarasov, V.E. Fractional Dynamics: Applications of Fractional Calculus to Dynamics of Particules, Fields and Media; Springer: New York, NY, USA, 2011. [Google Scholar]
- Demmie, P.N.; Ostoja-Starzewski, M. Waves in fractal media. J. Elast. 2011, 104, 187–204. [Google Scholar] [CrossRef]
- Joumaa, H.; Ostoja-Starzewski, M. Acoustic-elastoodynamic interaction in isotropic fractal media. Eur. Phys. J. Spec. Top. 2013, 222, 1951–1960. [Google Scholar] [CrossRef]
- Ostoja-Starzewski, M. Electromagnetism on anisotropic fractals. Zeitschrift für Angewandte Mathematik and Physik (J. Appl. Math. Mech.) 2013, 64, 381–390. [Google Scholar]
- Ostoja-Starzewski, M.; Li, J.; Joumaa, H.; Demmie, P.N. From fractal media to continuum mechanics. Zeitschrift für Angewandte Mathematik and Physik 2014, 94, 373–401. [Google Scholar] [CrossRef]
- Tarasov, V.E. Fractional generalisation of Liouville equations. Chaos 2004, 14, 123–127. [Google Scholar] [CrossRef][Green Version]
- Tarasov, V.E. Fractional Liouville and BBGKI equations. J. Phys. Conf. Ser. 2005, 7, 17–33. [Google Scholar] [CrossRef]
- Calcagni, G. Quandtum filed theory, gravity and cosmology in a fractal universe. J. High Energy Phys. 2010, 120, 120–158. [Google Scholar] [CrossRef]
- Calcagni, G. Geometry of fractional spaces. Adv. Theor. Math. Phys. 2012, 16, 549–644. [Google Scholar] [CrossRef]
- Calcagni, G.; Nardelli, G. Momentum transforms and Laplacians in fractional spaces. Adv. Theor. Math. Phys. 2012, 16, 1315–1348. [Google Scholar] [CrossRef]
- Calcagni, G.; Nardelli, G. Spectral dimension and diffusion in multi-scale spacetimes. Phys. Rev. D 2013, 88, 124025. [Google Scholar] [CrossRef]
- Tarasov, V.E. Fractional systems and fractional Bogoliubov hierarchy equations. Phys. Rev. E 2005, 71, 0111102. [Google Scholar] [CrossRef]
- Wilson, K.G. Quandtum field—Theory models in less than 4 dimensions. Phys. Rev. D 1973, 10, 2911–2926. [Google Scholar] [CrossRef]
- Stillinger, F.H. Axiomatic basis for spaces with non-integer dimensions. J. Math. Phys. 1977, 18, 1224–1234. [Google Scholar] [CrossRef]
- Collins, J.C. Renormalization; Cambridge University Press: Cambridge, UK, 1984. [Google Scholar]
- ’t Hooft, G.; Veltman, M. Regularization and renormalization og gauge fields. Nucl. Phys. B 1972, 44, 189–213. [Google Scholar] [CrossRef]
- Leibbrandt, G. Introduction to the technique of dimensional regularization. Rev. Mod. Phys. 1975, 47, 849–876. [Google Scholar] [CrossRef]
- Wilson, K.G.; Fisher, M.E. Critical exponents in 3.99 dimensions. Phys. Rev. Lett. 1972, 28, 240–243. [Google Scholar] [CrossRef]
- Wilson, K.G.; Kogut, J. The renormalization group and the ϵ expansion. Phys. Rep. 1974, 12, 75–199. [Google Scholar] [CrossRef]
- Palmer, C.; Stavrinou, P.N. Equations of motion in a non-integer-dimensional space. J. Phys. A 2004, 37, 6987–7003. [Google Scholar] [CrossRef]
- He, X.-F. Excitons in anisotropic solids: The model of fractional-dimensional space. Phys. Rev. B 1991, 43, 2063–2069. [Google Scholar] [CrossRef]
- De Dios-Leyva, M.; Bruno-Alfonso, A.; Matos-Abiague, A.; Oliveira, L.E. Fractional dimensional space and applications in quantum-confined semiconducting heterostructures. J. Appl. Phys. 1997, 82, 3155–3157. [Google Scholar] [CrossRef]
- Thilagham, A. Pauli bloking effects in quantum wells. Phys. Rev. B 1999, 59, 3027–3032. [Google Scholar] [CrossRef]
- Muslih, S.I.; Agrawal, O.P. A scaling method and its applications to problems in fractional dimensional space. J. Math. Phys. 2009, 50, 123501. [Google Scholar] [CrossRef]
- Muslih, S.I.; Agrawal, O.P. Shrödinger equation in fractional space. In Fractional dynamics and Control; Baleanu, D., Tenreiro Machado, J.A., Luo, A.C.J., Eds.; Springer: New York, NY, USA, 2012; Chapter 17; pp. 209–215. [Google Scholar]
- Muslih, S.I.; Baleanu, D. Fractional multipoles in fractional space. Nonlinear Anal. Real World Appl. 2007, 8, 198–203. [Google Scholar] [CrossRef]
- Zubair, M.; Mughal, M.J.; Naqvi, Q.A. Electromagnetic Fileds and Waves in Fractional Dimensional Space; Springer: Berlin, Germany, 2012. [Google Scholar]
- Zubair, M.; Mughal, M.J.; Naqvi, Q.A. An exact solution of the spherical wave equation in D-dimensional fractional space. J. Electromagn. Waves Appl. 2011, 25, 1481–1491. [Google Scholar] [CrossRef]
- Lucena, L.S.; da Silva, L.R.; Tateishi, A.A.; Lenzi, M.K.; Ribeiro, H.V.; Lenzi, E.K. Solutions for a fractional diffusion equation with noninteger dimensions. Nonlinear Anal. Real World Appl. 2012, 13, 1955–1960. [Google Scholar] [CrossRef]
- Sadallah, M.; Muslih, S.I.; Baleanu, D. Equations of motion for Einstein’s field in non-integer dimensional space. Czechoslov. J. Phys. 2006, 56, 323–328. [Google Scholar] [CrossRef]
- Sadallah, M.; Muslih, S.I. Solution of the equations of motion for Einstein’s field in fractional D dimenion space-time. Int. J. Theor. Phys. 2009, 48, 3312–3318. [Google Scholar] [CrossRef]
- Balankin, A.S.; Bory-Reyes, J.; Shapiro, M. Towards a physics on fractals: Differential vector calculus in three-dimensional continuum with fractal metric. Physica A 2016, 444, 345–359. [Google Scholar] [CrossRef]
- Svozil, K. Quantum field theory on fractal spacetime: A new regularization method. J. Phys. A 1987, 20, 3861–3875. [Google Scholar] [CrossRef]
- Fellah, Z.E.A.; Depollier, C. Transient acoustic wave propagation in rigid porous media: A time-domain approach. J. Acoust. Soc. Am. 2000, 107, 683–688. [Google Scholar] [CrossRef]
- Allard, J.F. Propagation of Sound in Porous Media: Modeling Sound Absorbing Materials; Chapman and Hall: London, UK, 1993. [Google Scholar]
- Biot, M.A. Theory of propagation of elastic waves in a fluid-saturated porous solid. I. J. Acoust. Soc. Am. 1956, 28, 168–178. [Google Scholar] [CrossRef]
- Biot, M.A. Theory of propagation of elastic waves in a fluid-saturated porous solid. II. J. Acoust. Soc. Am. 1956, 28, 179–191. [Google Scholar] [CrossRef]
- Johnson, D.L.; Koplik, J.; Dashen, R. Theory of dynamic permeability and tortuosity in fluid-saturated porous media. J. Fluid Mech. 1987, 176, 379–402. [Google Scholar] [CrossRef]
- Lafarge, D.; Lemarinier, P.; Allard, J.-F.; Tarnow, V. Dynamic compressibility of air in porous structures at audible frequencies. J. Acoust. Soc. Am. 1997, 102, 1995–2006. [Google Scholar] [CrossRef]
- Fellah, Z.E.A.; Fellah, M.; Lauriks, W. Direct and inverse scattering of transient acoustic waves by a slab of rigid porous material. J. Acoust. Soc. Am. 2003, 113, 61–72. [Google Scholar] [CrossRef] [PubMed]
- Balankin, A.S.; Valdivia, J.-C.; Marquez, J.; Susarrey, O.; Solorio-Avila, M.A. Anomalous diffusion of fluid momentum and Darcy-like law for laminar flow in media with fractal porosity. Phys. Lett. A 2016, 380, 2767–2773. [Google Scholar] [CrossRef]
- Samko, S.G.; Kilbas, A.A.; Marichev, O.I. Fractional Integrals and Derivatives: Theory and Applications; Gordon and Breach Science Publishers: Amsterdam, The Netherlands, 1993; pp. 93–112. [Google Scholar]
- Fellah, Z.E.A.; Fellah, M.; Lauriks, W.; Depollier, C.; Chapelon, J.Y.; Angel, Y.C. Solution in time domain of ultrasonic propagation equation in a porous material. Wave Motion 2003, 38, 151–163. [Google Scholar] [CrossRef]
- Tarasov, V.E. Acoustic waves in fractal media: Non-integer dimensional spaces approach. Wave Motion 2016, 63, 18–22. [Google Scholar] [CrossRef]
- Fellah, M.; Fellah, Z.E.A.; Berbiche, A.; Ogam, E.; Mitri, F.G.; Depollier, D. Transient ultrasonic wave propagation in porous material of non-integer space dimension. Wave Motion 2017, 72, 276–286. [Google Scholar] [CrossRef]



Publisher’s Note: MDPI stays neutral with regard to jurisdictional claims in published maps and institutional affiliations. |
© 2021 by the authors. Licensee MDPI, Basel, Switzerland. This article is an open access article distributed under the terms and conditions of the Creative Commons Attribution (CC BY) license (https://creativecommons.org/licenses/by/4.0/).
Share and Cite
Fellah, Z.E.A.; Fellah, M.; Ongwen, N.O.; Ogam, E.; Depollier, C. Acoustics of Fractal Porous Material and Fractional Calculus. Mathematics 2021, 9, 1774. https://doi.org/10.3390/math9151774
Fellah ZEA, Fellah M, Ongwen NO, Ogam E, Depollier C. Acoustics of Fractal Porous Material and Fractional Calculus. Mathematics. 2021; 9(15):1774. https://doi.org/10.3390/math9151774
Chicago/Turabian StyleFellah, Zine El Abiddine, Mohamed Fellah, Nicholas O. Ongwen, Erick Ogam, and Claude Depollier. 2021. "Acoustics of Fractal Porous Material and Fractional Calculus" Mathematics 9, no. 15: 1774. https://doi.org/10.3390/math9151774
APA StyleFellah, Z. E. A., Fellah, M., Ongwen, N. O., Ogam, E., & Depollier, C. (2021). Acoustics of Fractal Porous Material and Fractional Calculus. Mathematics, 9(15), 1774. https://doi.org/10.3390/math9151774

