A Theoretical Analysis of Profile Conformance Improvement Due to Suspension Injection
Abstract
1. Introduction
2. Materials and Methods
3. Results and Discussion
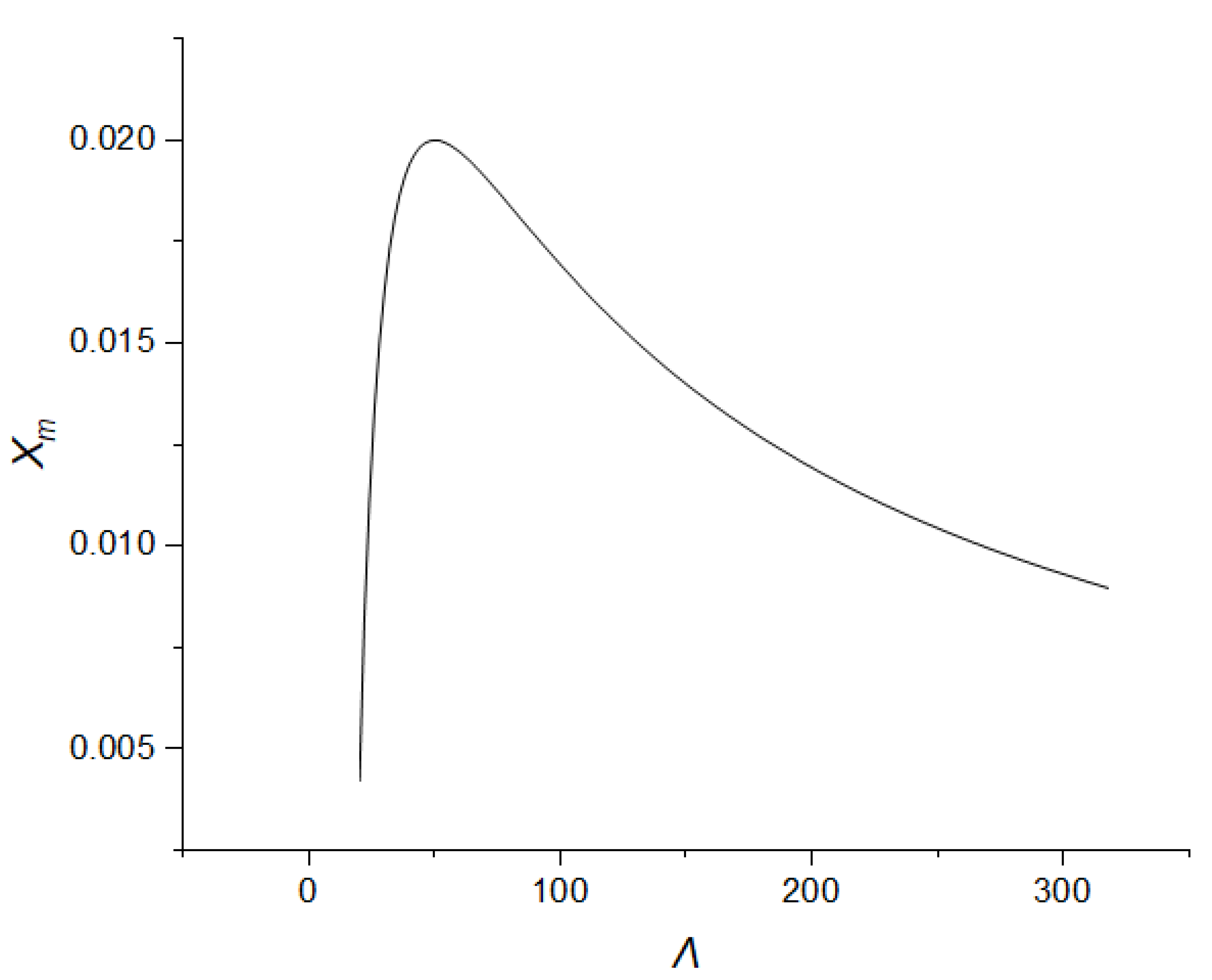
3.1. Suspension Penetration into a Homogeneous Layer
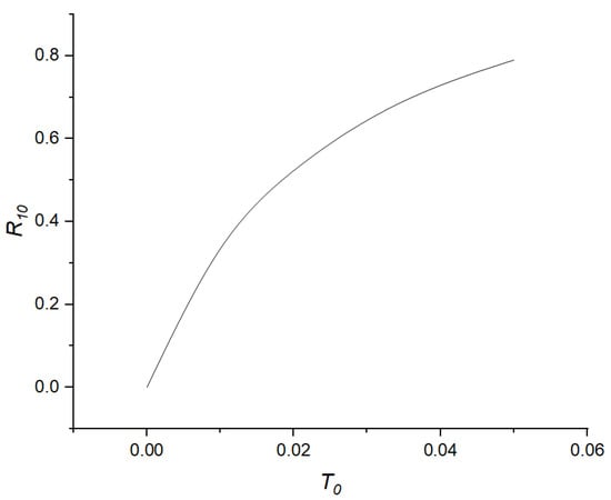
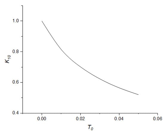
3.2. Inflow Redistribution after Layered Strata Treatment
4. Conclusions
- A deep-bed suspension migration model was used to solve the problem of well treatment for profile conformance improvement and water control.
- An analytical solution to the stated problem was obtained. The distributions of suspended and trapped particles were analyzed.
- It was established that the particle penetration depth versus the suspension filtration coefficient function had a pronounced maximum. This means that, for a layer with certain permeability, there is a suspension with an optimal filtration coefficient or average particle size and the treatment of this layer by such a suspension gives the maximum efficiency.
- The dimensionless characteristic of the injection rate redistribution or profile conformance improvement factor, which characterizes the performance of suspension injector treatment, was introduced. This factor has increased from zero to a certain value determined by the initial distribution of permeability with an increase in suspension injection volume.
- The negative factor of well suspension treatment was analyzed. Synthetic reservoir runs showed that an increase in the injection volume causes a decrease in the introduced injectivity ratio parameter value from one to zero.
- Sensitivity analysis of the reservoir heterogeneity influence on the conditions of effective conformance improvement treatment gave unexpected results. It was shown that such a treatment is preferential in low permeable reservoirs.
Author Contributions
Funding
Institutional Review Board Statement
Informed Consent Statement
Data Availability Statement
Conflicts of Interest
Nomenclature
| k | Absolute permeability coefficient (Unit: m2) |
| ki | Absolute permeability coefficient of the i-th interlayer (Unit: m2) |
| rp | Average particle radius (Unit: m) |
| ka | Average permeability before treatment (Unit: m2) |
| R10a | Average profile conformance improvement factor for the boundary values of varied factors (Unit: dimensionless) |
| β | Damage factor (Unit: dimensionless) |
| X | Dimensionless coordinate (Unit: dimensionless) |
| Λ | Dimensionless filtration coefficient (Unit: dimensionless) |
| Vi | Dimensionless injection index of i-th layer (Unit: dimensionless) |
| Xm | Dimensionless penetration depth (Unit: dimensionless) |
| S1d | Dimensionless standard deviation of inflow after the treatment (Unit: dimensionless) |
| S0d | Dimensionless standard deviation of inflow before the treatment (Unit: dimensionless) |
| T | Dimensionless time (Unit: dimensionless) |
| T0 | Dimensionless volume of suspension slug (Unit: dimensionless) |
| μ | Effective suspension viscosity (Unit: Pa∙s) |
| n | Empirical dimensionless parameter (Unit: dimensionless) |
| λ0 | Empirical parameter with the dimension of the filtration coefficient (Unit: m–1) |
| λ | Filtration coefficient (Unit: m–1) |
| T1 | First dimensionless time moment (Unit: dimensionless) |
| U | Fluid rate (Unit: m/s) |
| Ui | Fluid rate in the i-th layer (Unit: m/s) |
| Ui1 | Inflow velocity in the i-th interlayer after the treatment (Unit: m/s) |
| Ui0 | Inflow velocity in the i-th interlayer before the treatment (Unit: m/s) |
| α0 | Initial particle content in the injection flow (Unit: dimensionless) |
| W1 | Injection index after the treatment (Unit: m3/(Pa∙s)) |
| W0 | Injection index before the treatment (Unit: m3/(Pa∙s)) |
| Q0 | Injection rate during suspension inflow (Unit: m3/s) |
| P | In-situ pressure (Unit: Pa) |
| gi | Integral that determines the additional hydraulic resistance in the zone of trapped particles for i-th interlayer (Unit: dimensionless) |
| i | Interlayer number (Unit: dimensionless) |
| j | Interlayer number (Unit: dimensionless) |
| l | Length of a fracture (Unit: m) |
| L | Length of a near wellbore zone (Unit: m) |
| x | Linear coordinate perpendicular to the fracture inner surface (Unit: m) |
| D | Mean pore radius (Unit: m) |
| U0a | Mean value of injection velocities for interlayers before treatment (Unit: m/s) |
| U1a | Mean value of the inflow velocities in the interlayers after treatment (Unit: m/s) |
| hi | Net thickness of the i-th interlayer (Unit: m) |
| H | Net thickness of the reservoir (Unit: m) |
| N | Number of layers (Unit: dimensionless) |
| J | Particle entrapment rate (Unit: s–1) |
| ∅ | Porosity (Unit: dimensionless) |
| ∅i | Porosity of the i-th interlayer (Unit: dimensionless) |
| ΔP | Pressure drop (Unit: Pa) |
| ΔP1 | Pressure drop after the treatment (Unit: Pa) |
| ΔP0 | Pressure drop before the treatment (Unit: Pa) |
| R10 | Profile conformance improvement factor (Unit: dimensionless) |
| K10 | Ratio of the total injectivity after treatment to the initial injectivity (Unit: dimensionless) |
| ΔR10 | Relative change in the profile conformance improvement factor (Unit: dimensionless) |
| T2 | Second dimensionless time moment (Unit: dimensionless) |
| S0 | Standard deviation of inflow before the treatment (Unit: m/s) |
| t | Time (Unit: s) |
| t0 | Time of the injection of suspension slug (Unit: s) |
| Q | Total suspension injection rate (Unit: m3/s) |
| α | Volumetric particle content moving with the flow (Unit: dimensionless) |
| αi | Volumetric particle content moving with the flow in the i-th layer (Unit: dimensionless) |
| σ | Volumetric particle content trapped in the unit volume of porous media (Unit: dimensionless) |
| σi | Volumetric particle content trapped in the unit volume of porous media in the i-th layer (Unit: dimensionless) |
| Q1 | Water injection rate after well treatment (Unit: m3/s) |
References
- El-Karsani, K.S.M.; Al-Muntasheri, G.A.; Hussein, I.A. Polymer Systems for Water Shutoff and Profile Modification: A Review Over the Last Decade. SPE J. 2014, 19, 135–149. [Google Scholar] [CrossRef]
- Parasyuk, A.V.; Galantsev, I.N.; Sukhanov, V.N.; Ismagilov, T.A.; Telin, A.G.; Barinova, L.N.; Igdavletova, M.Z.; Skorokhod, A.G. Gel compositions for injection profile improvement with selective action. Neftyanoye Khozyaystvo = Oil Ind. 1994, 72, 64–68. (in Russian). [Google Scholar]
- Khisamov, R.S.; Gazizov, A.A.; Gazizov, A.S. Scientific and technological basis of suspension application for enhanced oil recovery. Neftyanoye Khozyaystvo = Oil Ind. 2002, 80, 52–56. (in Russian). [Google Scholar]
- Zhao, H.; Zhao, P.; Bai, B.; Xiao, L.; Liu, L. Using Associated Polymer Gels to Control Conformance for High Temperature and High Salinity Reservoirs. J. Can. Pet. Technol. 2006, 45, 49–54. [Google Scholar] [CrossRef]
- Caili, D.; Qing, Y.; Fulin, Z. In-depth Profile Control Technologies in China—A Review of the State of the Art. Pet. Sci. Technol. 2010, 28, 1307–1315. [Google Scholar] [CrossRef]
- Seright, R.S.; Prodanovic, M.; Lindquist, W.B. X-Ray Computed Microtomography Studies of Fluid Partitioning in Drainage and Imbibition Before and After Gel Placement: Disproportionate Permeability Reduction. SPE J. 2006, 11, 159–170. [Google Scholar] [CrossRef][Green Version]
- Kabir, A. Chemical Water & Gas Shutoff Technology-An Overview. In Proceedings of the SPE Asia Pacific Improved Oil Recovery Conference, Kuala Lumpur, Malaysia, 8–9 October 2001; p. 72119. [Google Scholar]
- Seright, R.; Lane, R.; Sydansk, R. A Strategy for Attacking Excess Water Production. SPE Prod. Facil. 2003, 18, 158–169. [Google Scholar] [CrossRef]
- Khasanov, M.M.; Ismagilov, T.A.; Mangazeev, V.P.; Rastrogin, A.Y.; Kolchugin, I.S.; Tyan, N.S. Application of gelled polymer solutions for enhanced oil recovery. Neftyanoye Khozyaystvo = Oil Ind. 2002, 80, 110–112. (In Russian) [Google Scholar]
- Fedorov, K.M.; Shevelev, A.P.; Kobyashev, A.V.; Zakharenko, V.A.; Kochetov, A.V.; Neklesa, R.S.; Usoltsev, A.V. Determination of Suspension Filtration Parameters from Experimental Data. In Proceedings of the Day 4 Thu, Virtual. 29 October 2020; p. 202018. [Google Scholar]
- Herzig, J.P.; Leclerc, D.M.; Goff, P.L. Flow of Suspensions through Porous Media—Application to Deep Filtration. Ind. Eng. Chem. 1970, 62, 8–35. [Google Scholar] [CrossRef]
- Logan, J.D. Transport Modeling in Hydrogeochemical Systems; Springer Science and Business Media LLC: Berlin/Heidelberg, Germany, 2001; pp. 1–190. [Google Scholar]
- Alvarez, A.C.; Bedrikovetsky, P.; Hime, G.; O Marchesin, A.; Marchesin, D.; Rodrigues, J.R. A fast inverse solver for the filtration function for flow of water with particles in porous media. Inverse Probl. 2005, 22, 69–88. [Google Scholar] [CrossRef]
- Bedrikovetsky, P.; de Siqueira, F.D.; Furtado, C.A.; Souza, A.L.S. Modified Particle Detachment Model for Colloidal Transport in Porous Media. Transp. Porous Media 2010, 86, 353–383. [Google Scholar] [CrossRef]
- Sacramento, R.N.; Yang, Y.; You, Z.; Waldmann, A.; Martins, A.L.; Vaz, A.S.; Zitha, P.L.; Bedrikovetsky, P. Deep bed and cake filtration of two-size particle suspension in porous media. J. Pet. Sci. Eng. 2015, 126, 201–210. [Google Scholar] [CrossRef]
- Wang, J.; Liu, H.-Q.; Wang, Z.-L.; Hou, P.-C. Experimental Investigation on the Filtering Flow Law of Pre-gelled Particle in Porous Media. Transp. Porous Media 2012, 94, 69–86. [Google Scholar] [CrossRef]
- Barenblatt, G.I.; Entov, V.M.; Ryzhik, V.M. Theory of Fluid Flows through Natural Rocks; Springer Science and Business Media LLC: Berlin/Heidelberg, Germany, 1990; pp. 1–396. [Google Scholar]
- Nigmatulin, R.I. Dynamics of Multiphase Media; Hemisphere: New York, NY, USA, 1991; Volume 1, pp. 1–532. [Google Scholar]
- Rodriguez, E.; Bryant, S.L. Straining of Fine Particles in Gaps in Porous Media. In Proceedings of the SPE Annual Technical Conference and Exhibition, Anaheim, CA, USA, 11–14 November 2007; p. 110425. [Google Scholar]
- Bai, B.; Liu, Y.; Coste, J.-P.; Li, L. Preformed Particle Gel for Conformance Control: Transport Mechanism Through Porous Media. SPE Reserv. Eval. Eng. 2007, 10, 176–184. [Google Scholar] [CrossRef]
- Kaspar, P.; Sobola, D.; Částková, K.; Dallaev, R.; Šťastná, E.; Sedlák, P.; Knápek, A.; Trčka, T.; Holcman, V. Case Study of Polyvinylidene Fluoride Doping by Carbon Nanotubes. Materials 2021, 14, 1428. [Google Scholar] [CrossRef] [PubMed]
- Wang, J.; Liu, H.-Q.; Zhang, H.-L.; Sepehrnoori, K. Simulation of deformable preformed particle gel propagation in porous media. AIChE J. 2017, 63, 4628–4641. [Google Scholar] [CrossRef]
- Nikiforov, A.I.; Nikanshin, D.P. On Numerical Simulation of Oil Reservoir Colmatation by Various Size Particles. In Proceedings of the International Conference on Multiphase Systems, Ufa, Russia, 15–17 June 2000; pp. 437–439. [Google Scholar]
- Bedrikovetsky, P.; Zeinijahromi, A.; de Siqueira, F.D.; Furtado, C.A.; De Souza, A.L.S. Particle Detachment Under Velocity Alternation During Suspension Transport in Porous Media. Transp. Porous Media 2011, 91, 173–197. [Google Scholar] [CrossRef]
- Fedorov, K.; Zubkov, P. Placement of gels in stratified reservoirs using a sequential injection technique. J. Pet. Sci. Eng. 1996, 15, 69–80. [Google Scholar] [CrossRef]
- Vaz, A.; Bedrikovetsky, P.; Fernandes, P.; Badalyan, A.; Carageorgos, T. Determining model parameters for non-linear deep-bed filtration using laboratory pressure measurements. J. Pet. Sci. Eng. 2017, 151, 421–433. [Google Scholar] [CrossRef]
- Willhite, G.P. Waterflooding; Society of Petroleum Engineers: Richardson, TX, USA, 1986; pp. 1–326. [Google Scholar]







| Layer Number | ki | hi | ∅i |
|---|---|---|---|
| 1 | 1213 × 10–15 m2 | 1.30 m | 0.236 |
| 2 | 371 × 10–15 m2 | 1.40 m | 0.209 |
| 3 | 52 × 10–15 m2 | 4.70 m | 0.189 |
| 4 | 106 × 10–15 m2 | 1.60 m | 0.201 |
| 5 | 135 × 10–15 m2 | 1.30 m | 0.196 |
Publisher’s Note: MDPI stays neutral with regard to jurisdictional claims in published maps and institutional affiliations. |
© 2021 by the authors. Licensee MDPI, Basel, Switzerland. This article is an open access article distributed under the terms and conditions of the Creative Commons Attribution (CC BY) license (https://creativecommons.org/licenses/by/4.0/).
Share and Cite
Fedorov, K.M.; Gilmanov, A.Y.; Shevelev, A.P.; Kobyashev, A.V.; Anuriev, D.A. A Theoretical Analysis of Profile Conformance Improvement Due to Suspension Injection. Mathematics 2021, 9, 1727. https://doi.org/10.3390/math9151727
Fedorov KM, Gilmanov AY, Shevelev AP, Kobyashev AV, Anuriev DA. A Theoretical Analysis of Profile Conformance Improvement Due to Suspension Injection. Mathematics. 2021; 9(15):1727. https://doi.org/10.3390/math9151727
Chicago/Turabian StyleFedorov, Konstantin Mikhailovich, Alexander Yanovich Gilmanov, Alexander Pavlovich Shevelev, Alexander Vyacheslavovich Kobyashev, and Denis Alekseevich Anuriev. 2021. "A Theoretical Analysis of Profile Conformance Improvement Due to Suspension Injection" Mathematics 9, no. 15: 1727. https://doi.org/10.3390/math9151727
APA StyleFedorov, K. M., Gilmanov, A. Y., Shevelev, A. P., Kobyashev, A. V., & Anuriev, D. A. (2021). A Theoretical Analysis of Profile Conformance Improvement Due to Suspension Injection. Mathematics, 9(15), 1727. https://doi.org/10.3390/math9151727

