Deep Learning-Based Survival Analysis for High-Dimensional Survival Data
Abstract
1. Introduction
2. Machine and Deep Learning Methods for Survival Analysis
2.1. Methods
2.1.1. Penalized Cox Models
2.1.2. Random Survival Forest
2.1.3. DNNSurv Model
2.2. Evaluation Measures of Survival Prediction
2.2.1. C-index
2.2.2. Time-Dependent Brier Score
2.2.3. Time-Dependent AUC
3. Analysis of High- and Ultra-High-Dimensional Survival Data
3.1. Real Survival Datasets
- The EMTAB386 dataset contains angiogenic mRNA and microRNA gene expression signatures on 129 advanced-stage, high-grade serous ovarian cancers, which consists of 129 samples and 10357 gene features (G);
- The GSE49997 dataset contains the expression values of 204 epithelial ovarian cancer patients, which consists of 194 samples and 16,048 gene features (G);
- The TCGAmirna dataset contains 554 patients with high-grade serous ovarian cancer, which consists of 554 samples and 799 gene features (G).
3.2. Performance Evaluation
- For the DNNSurv model, (i) the first step was to perform a 10-fold CV grid search method to select an optimal tuning parameter that maximizes the C-index. Here, the 10-fold CV procedure was as follows. Denote the full dataset by f, and denote the CV training and test datasets by and , respectively, for . For each and k, we found the estimator using the training dataset . Then, for each , we computed the CV estimates, i.e., , based on the C-index in (13):where is the sample size of the kth subset and . Thus, we found the (i.e., optimal tuning parameter) that maximized ;(ii) In the second step, given , we performed a 10-fold CV for each dataset, i.e., we trained the model on the training dataset, then obtained the values of three measures (i.e., C-index, time-dependent AUC, and Brier score (BS)) by the test dataset.For further understanding of our CV procedures with (i) and (ii), a flowchart is presented in Figure 3;
- For the RSF model, we trained the model using the log-rank splitting rule for survival analysis. The corresponding parameters we selected were as follows: the number of trees was 500; the number of variables randomly selected as candidates for splitting a node was ; and the size of the terminal node was three;
- For the Cox-LASSO and Cox-Ridge models, the “glmnet” R package was applied. For the penalty (in the Cox-LASSO model) and the penalty (in the Cox-Ridge model), a 10-fold CV (by the cv.glmnet() R function) was first used, respectively, in the training dataset to select the optimal tuning parameter (denoted as lambda.min in the R package) that gave the minimum mean cross-validated error (cvm). After was determined, we trained each model (Cox-LASSO or Cox-Ridge) on the training dataset and then validated each model in the test dataset.
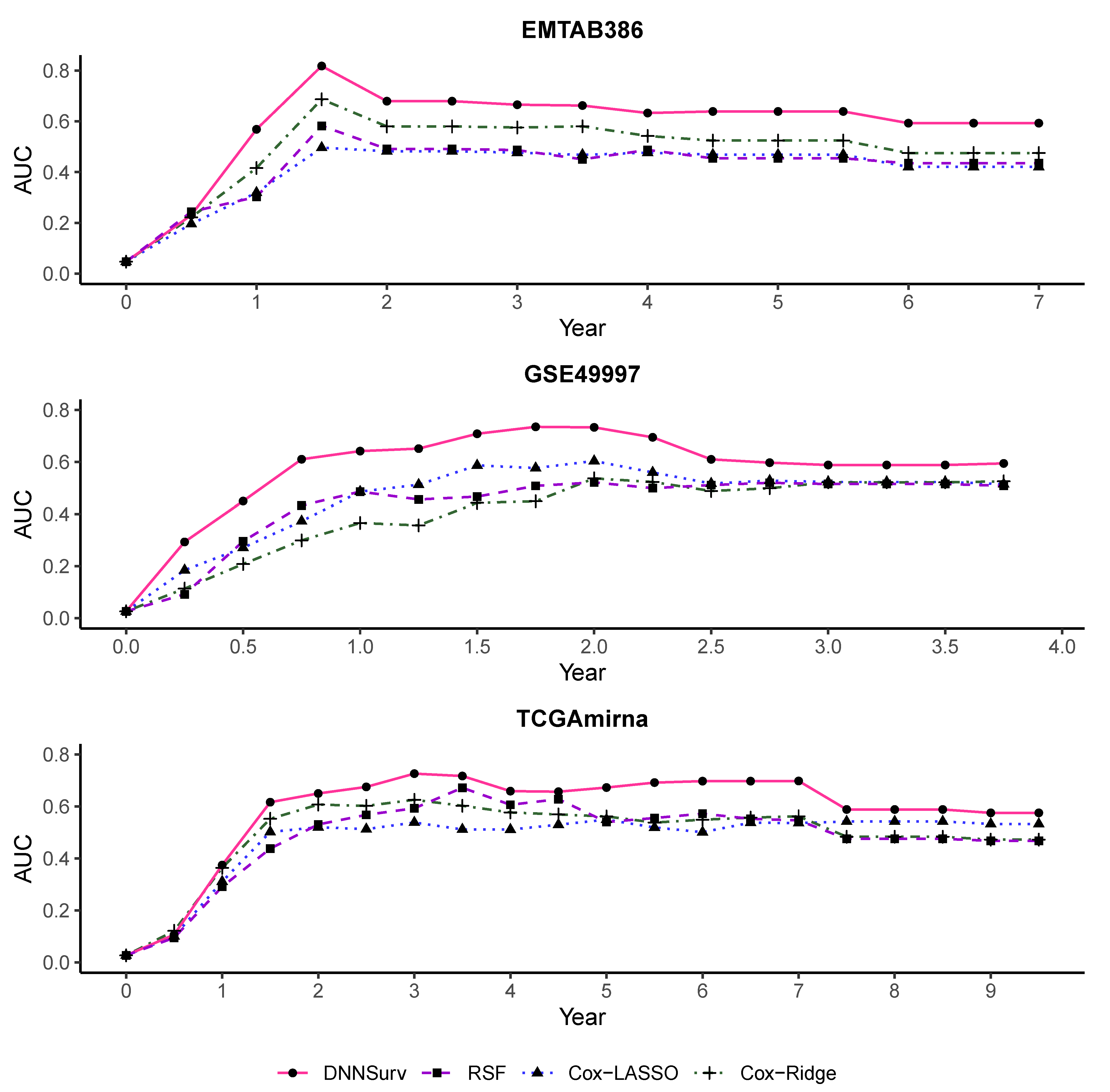
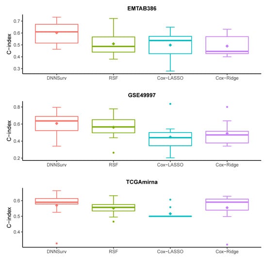
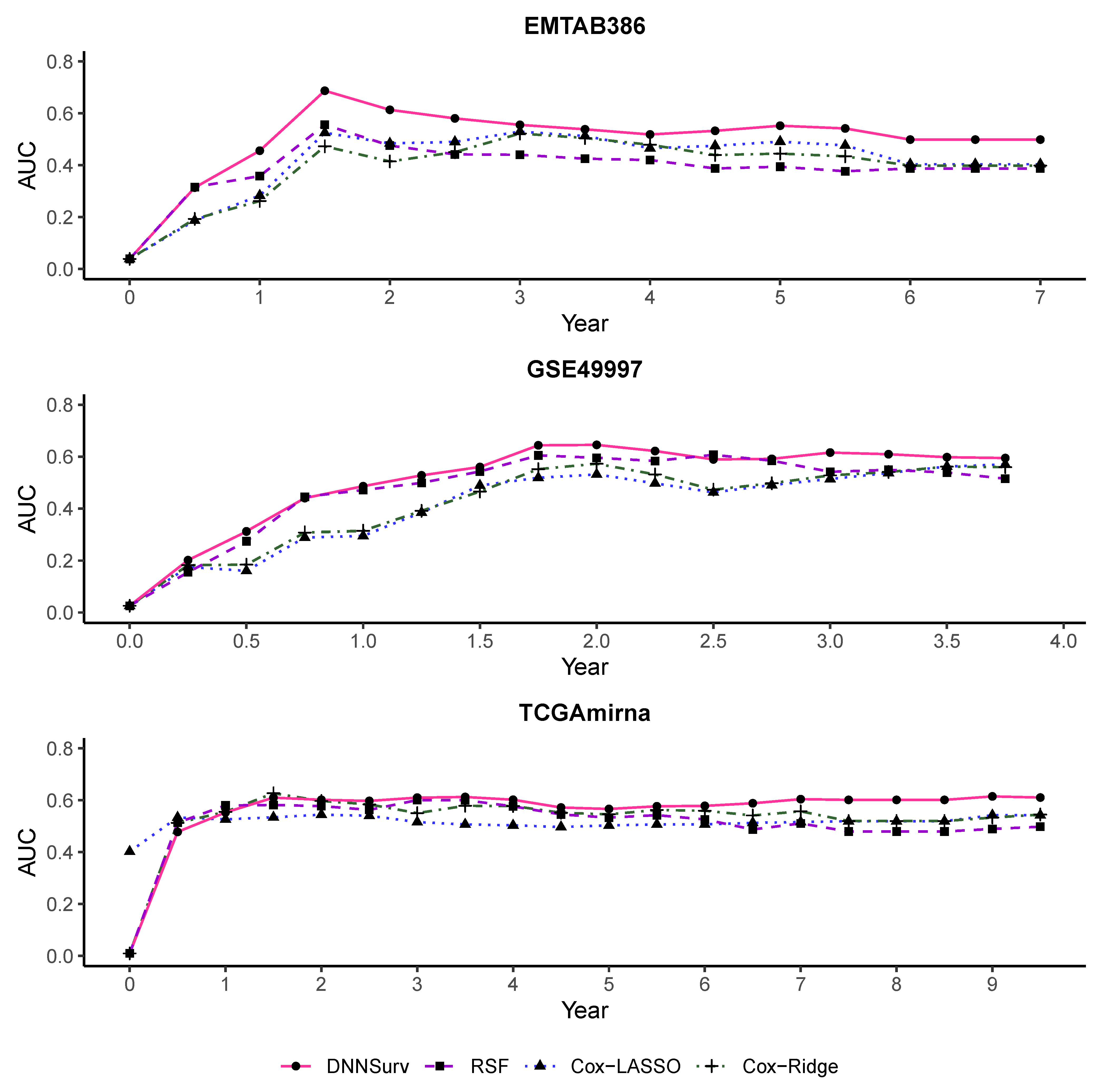
3.3. Results
4. Discussion
Author Contributions
Funding
Institutional Review Board Statement
Informed Consent Statement
Data Availability Statement
Conflicts of Interest
References
- Ha, I.D.; Jeong, J.H.; Lee, Y. Statistical Modelling of Survival Data with Random Effects: H-Likelihood Approach; Springer: Singapore, 2017; pp. 7–104. [Google Scholar]
- Wang, H.; Li, G. Extreme learning machine Cox model for high-dimensional survival analysis. Stat. Med. 2019, 38, 2139–2156. [Google Scholar] [CrossRef] [PubMed]
- Lee, S.; Lim, H. Review of statistical methods for survival analysis using genomic data. Genom. Inform. 2019, 17, e41. [Google Scholar] [CrossRef] [PubMed]
- Min, S.; Lee, B.; Yoon, S. Deep learning in bioinformatics. Briefings Bioinform. 2017, 18, 851–869. [Google Scholar] [CrossRef]
- Miotto, R.; Wang, F.; Wang, S.; Jiang, X.; Dudley, J.T. Deep learning for healthcare: Review, opportunities and challenges. Briefings Bioinform. 2018, 19, 1236–1246. [Google Scholar] [CrossRef]
- Poplin, R.; Varadarajan, A.V.; Blumer, K.; Liu, Y.; McConnell, M.V.; Corrado, G.S.; Peng, L.; Webster, D.R. Prediction of cardiovascular risk factors from retinal fundus photographs via deep learning. Nat. Biomed. Eng. 2018, 2, 158–164. [Google Scholar] [CrossRef] [PubMed]
- Sun, T.; Wei, Y.; Chen, W.; Ding, Y. Genome-wide association study-based deep learning for survival prediction. Stat. Med. 2020, 39, 4605–4620. [Google Scholar] [CrossRef]
- Faraggi, D.; Simon, R. A neural network model for survival data. Stat. Med. 1995, 14, 73–82. [Google Scholar] [CrossRef]
- Xiang, A.; Lapuerta, P.; Ryutov, A.; Buckley, J.; Azen, S. Comparison of the performance of neural network methods and Cox regression for censored survival data. Comput. Stat. Data Anal. 2000, 34, 243–257. [Google Scholar] [CrossRef]
- Sargent, D.J. Comparison of artificial neural networks with other statistical approaches. Cancer 2001, 91, 1636–1642. [Google Scholar] [CrossRef]
- Katzman, J.L.; Shaham, U.; Cloninger, A.; Bates, J.; Jiang, T.; Kluger, Y. DeepSurv: Personalized treatment recommender system using a Cox proportional hazards deep neural network. BMC Med. Res. Methodol. 2018, 18, 1–12. [Google Scholar] [CrossRef]
- Harrell, F.E.; Lee, K.L.; Mark, D.B. Multivariable prognostic models: Issues in developing models, evaluating assumptions and adequacy, and measuring and reducing errors. Stat. Med. 1996, 15, 361–387. [Google Scholar] [CrossRef]
- Ishwaran, H.; Kogalur, U.B.; Blackstone, E.H.; Lauer, M.S. Random survival forests. Ann. Appl. Stat. 2008, 2, 841–860. [Google Scholar] [CrossRef]
- Ching, T.; Zhu, X.; Garmire, L.X. Cox-nnet: An artificial neural network method for prognosis prediction of high-throughput omics data. PLoS Comput. Biol. 2018, 14, e1006076. [Google Scholar] [CrossRef]
- Ribeiro, M.T.; Singh, S.; Guestrin, C. Why should i trust you? Explaining the predictions of any classifier. In Proceedings of the 22nd ACM SIGKDD International Conference on Knowledge Discovery and Data Mining, San Francisco, CA, USA, 13–17 August 2016; pp. 1135–1144. [Google Scholar]
- Chollet, F. Keras. GitHub. 2015. Available online: https://github.com/fchollet/keras (accessed on 18 March 2021).
- Abadi, M.; Barham, P.; Chen, J.; Chen, Z.; Davis, A.; Dean, J.; Devin, M.; Ghemawat, S.; Irving, G.; Isard, M.; et al. TensorFlow: A system for large-scale machine learning. In Proceedings of the 12th USENIX Symposium on Operating Systems Design and Implementation, Savannah, GA, USA, 2–4 November 2016; pp. 265–283. [Google Scholar]
- Witten, D.W.; Tibshirani, R. Survival analysis with high-dimensional covariates. Stat. Methods Med. Res. 2010, 19, 29–51. [Google Scholar] [CrossRef] [PubMed]
- Tibshirani, R. The lasso method for variable selection in the Cox model. Stat. Med. 1997, 16, 385–395. [Google Scholar] [CrossRef]
- Hoerl, A.; Kennard, R. Ridge regression. Encycl. Stat. Sci. 2006, 8, 129–136. [Google Scholar]
- Breiman, L. Random forests. Mach. Learn. 2001, 45, 5–32. [Google Scholar] [CrossRef]
- Segal, M.R. Regression trees for censored data. Biometrics 1988, 44, 35–47. [Google Scholar] [CrossRef]
- Ishwaran, H.; Kogalur, U.B.; Chen, X.; Minn, A.J. Random survival forests for high-dimensional data. Stat. Anal. Data Min. 2011, 4, 115–132. [Google Scholar] [CrossRef]
- LeCun, Y.; Bengio, Y.; Hinton, G. Deep learning. Nature 2015, 521, 436. [Google Scholar] [CrossRef]
- Cybenko, G. Approximation by superpositions of a sigmoidal function. Math. Control. Signals Syst. 1989, 2, 303–314. [Google Scholar] [CrossRef]
- Hornik, K.; Stinchcombe, M.; White, H. Multilayer feedforward networks are universal approximators. Neural Netw. 1989, 2, 359–366. [Google Scholar] [CrossRef]
- Efron, B. The efficiency of Cox’s likelihood function for censored data. J. Am. Stat. Assoc. 1977, 72, 557–565. [Google Scholar] [CrossRef]
- Klambauer, G.; Unterthiner, T.; Mayr, A.; Hochreiter, S. Self-normalizing neural networks. In Proceedings of the 31st International Conference on Neural Information Processing Systems, Long Beach, CA, USA, 4–9 December 2017; pp. 971–980. [Google Scholar]
- Sutskever, I.; Martens, J.; Dahl, G.; Hinton, G. On the importance of initialization and momentum in deep learning. In Proceedings of the International Conference on Machine Learning, Atlanta, GA, USA, 16–21 June 2013; pp. 1139–1147. [Google Scholar]
- Hinton, G.; Srivastava, N.; Swersky, K. Neural Networks for Machine Learning Lecture 6a Overview of Mini-Batch Gradient Descent; CSE 250C Machine Learning Theory Lecture; University of California: San Diego, CA, USA, 2012; p. 14. [Google Scholar]
- Graf, E.; Schmoor, C.; Sauerbrei, W.; Schumacher, M. Assessment and comparison of prognostic classification schemes for survival data. Stat. Med. 1999, 18, 2529–2545. [Google Scholar] [CrossRef]
- Gerds, T.A.; Schumacher, M. Consistent estimation of the expected Brier score in general survival models with right-censored event times. Biom. J. 2006, 48, 1029–1040. [Google Scholar] [CrossRef] [PubMed]
- Heagerty, P.J.; Lumley, T.; Pepe, M.S. Time-dependent ROC curves for censored survival data and a diagnostic marker. Biometrics 2000, 56, 337–344. [Google Scholar] [CrossRef] [PubMed]









| Dataset | Type of Covariates | Sample Size | No. of Covariates | Censoring Rate |
|---|---|---|---|---|
| EMTAB386 | 129 | 10,357 | 43.4% | |
| GSE49997 | G | 194 | 16,048 | 70.6% |
| TCGAmirna | 554 | 799 | 47.4% | |
| EMTAB386 | 107 | 10,362 | 44.9% | |
| GSE49997 | G + C | 193 | 16,055 | 71.0% |
| TCGAmirna | 187 | 814 | 32.1% |
| Type of Covariates | Hyperparameters | EMTAB386 | GSE49997 | TCGAmirna |
|---|---|---|---|---|
| No. of hidden | 2 | 2 | 2 | |
| No. of nodes | 30 | 32 | 64 | |
| 0.05 | 0.08 | 0.02 | ||
| G | AF | SeLU | SeLU | SeLU |
| LR | 0.0001 | 0.0001 | 0.0001 | |
| epoch size | 60 | 60 | 60 | |
| batch size | 4 | 8 | 4 | |
| No. of hidden | 2 | 2 | 2 | |
| No. of nodes | 50 | 32 | 64 | |
| 0.02 | 0.1 | 0.1 | ||
| G + C | AF | SeLU | SeLU | SeLU |
| LR | 0.0001 | 0.0001 | 0.0001 | |
| epoch size | 60 | 60 | 60 | |
| batch size | 8 | 8 | 8 |
| Dataset | Type | Measure | DNNSurv | RSF | Cox-LASSO | Cox-Ridge |
|---|---|---|---|---|---|---|
| EMTAB386 | C-index (SD) | 0.603 (0.100) | 0.509 (0.102) | 0.499 (0.117) | 0.490 (0.091) | |
| G | 5Y-BS (SD) | 0.259 (0.085) | 0.375 (0.171) | 0.234 (0.060) | 0.227 (0.045) | |
| 5Y-AUC (SD) | 0.552 (0.123) | 0.394 (0.187) | 0.491 (0.162) | 0.445 (0.192) | ||
| C-index (SD) | 0.687 (0.110) | 0.569 (0.102) | 0.488 (0.156) | 0.606 (0.121) | ||
| G + C | 5Y-BS (SD) | 0.334 (0.230) | 0.503 (0.178) | 0.434 (0.228) | 0.266 (0.160) | |
| 5Y-AUC (SD) | 0.639 (0.130) | 0.454 (0.139) | 0.469 (0.200) | 0.524 (0.158) | ||
| GSE49997 | C-index (SD) | 0.608 (0.143) | 0.562 (0.149) | 0.448 (0.170) | 0.490 (0.142) | |
| G | 3.5Y-BS (SD) | 0.231 (0.078) | 0.507 (0.137) | 0.679 (0.151) | 0.364 (0.088) | |
| 3.5Y-AUC (SD) | 0.598 (0.161) | 0.539 (0.137) | 0.562 (0.144) | 0.562 (0.117) | ||
| C-index (SD) | 0.676 (0.132) | 0.500 (0.190) | 0.567 (0.133) | 0.455 (0.167) | ||
| G + C | 3.5Y-BS (SD) | 0.239 (0.039) | 0.458 (0.253) | 0.320 (0.054) | 0.607 (0.172) | |
| 3.5Y-AUC (SD) | 0.588 (0.140) | 0.515 (0.154) | 0.522 (0.133) | 0.521 (0.192) | ||
| TCGAmirna | C-index (SD) | 0.570 (0.092) | 0.552 (0.047) | 0.516 (0.037) | 0.555 (0.093) | |
| G | 8.5Y-BS (SD) | 0.100 (0.029) | 0.108 (0.041) | 0.218 (0.290) | 0.098 (0.030) | |
| 8.5Y-AUC (SD) | 0.601 (0.124) | 0.479 (0.144) | 0.519 (0.041) | 0.520 (0.165) | ||
| C-index (SD) | 0.683 (0.079) | 0.566 (0.063) | 0.513 (0.095) | 0.588 (0.084) | ||
| G + C | 8.5Y-BS (SD) | 0.141 (0.060) | 0.156 (0.167) | 0.176 (0.053) | 0.141 (0.059) | |
| 8.5Y-AUC (SD) | 0.588 (0.146) | 0.475 (0.211) | 0.542 (0.148) | 0.483 (0.199) |
Publisher’s Note: MDPI stays neutral with regard to jurisdictional claims in published maps and institutional affiliations. |
© 2021 by the authors. Licensee MDPI, Basel, Switzerland. This article is an open access article distributed under the terms and conditions of the Creative Commons Attribution (CC BY) license (https://creativecommons.org/licenses/by/4.0/).
Share and Cite
Hao, L.; Kim, J.; Kwon, S.; Ha, I.D. Deep Learning-Based Survival Analysis for High-Dimensional Survival Data. Mathematics 2021, 9, 1244. https://doi.org/10.3390/math9111244
Hao L, Kim J, Kwon S, Ha ID. Deep Learning-Based Survival Analysis for High-Dimensional Survival Data. Mathematics. 2021; 9(11):1244. https://doi.org/10.3390/math9111244
Chicago/Turabian StyleHao, Lin, Juncheol Kim, Sookhee Kwon, and Il Do Ha. 2021. "Deep Learning-Based Survival Analysis for High-Dimensional Survival Data" Mathematics 9, no. 11: 1244. https://doi.org/10.3390/math9111244
APA StyleHao, L., Kim, J., Kwon, S., & Ha, I. D. (2021). Deep Learning-Based Survival Analysis for High-Dimensional Survival Data. Mathematics, 9(11), 1244. https://doi.org/10.3390/math9111244

