Numerical Simulation of Flow over Non-Linearly Stretching Sheet Considering Chemical Reaction and Magnetic Field
Abstract
1. Introduction
2. Mathematical Formulation
3. Rational Gegenbauer Collocation Method
- They provide orthogonal polynomials for the interval due to the weight function .
- These polynomials are obtained based on the following recursive formula:
- The relationship between the derivative and Gegenbauer polynomials is as follows:
- The Gegenbauer polynomials are the special case of the Jacobi polynomials. Legendre and Chebyshev polynomials can also be reached by considering specific values for parameter in Gegenbauer polynomials ( for , where and are Legendre polynomials, first and second kind of Chebyshev polynomials, respectively).
- They provide orthogonal functions for the interval due to the weight function .
- These functions are obtained based on the following recursive formula:
- The relationship between the derivative and the rational Gegenbauer functions is as follows:
- So, also are mutually orthogonal in by considering as the weight function.
4. Solving the Problem by RGC Method
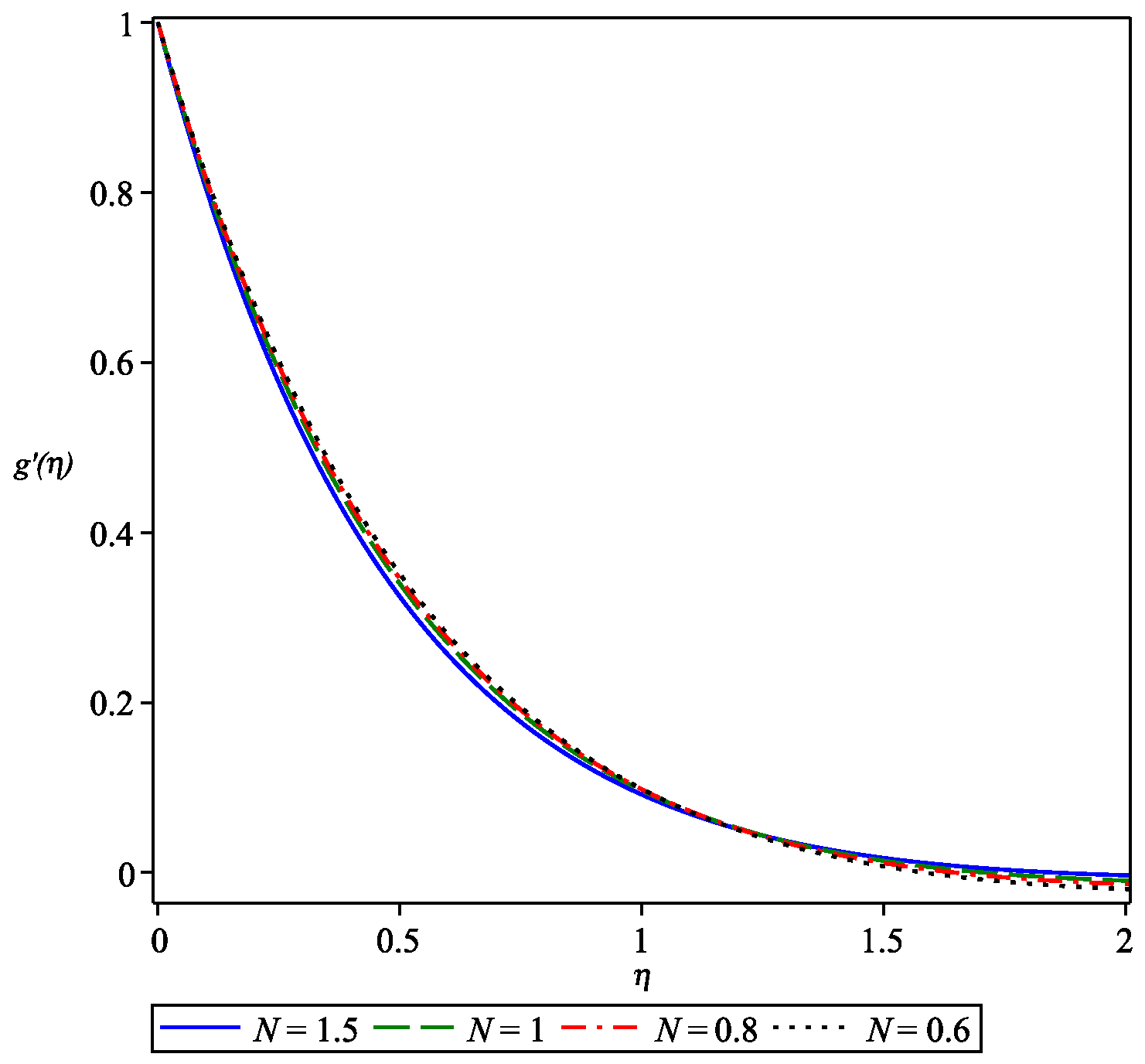
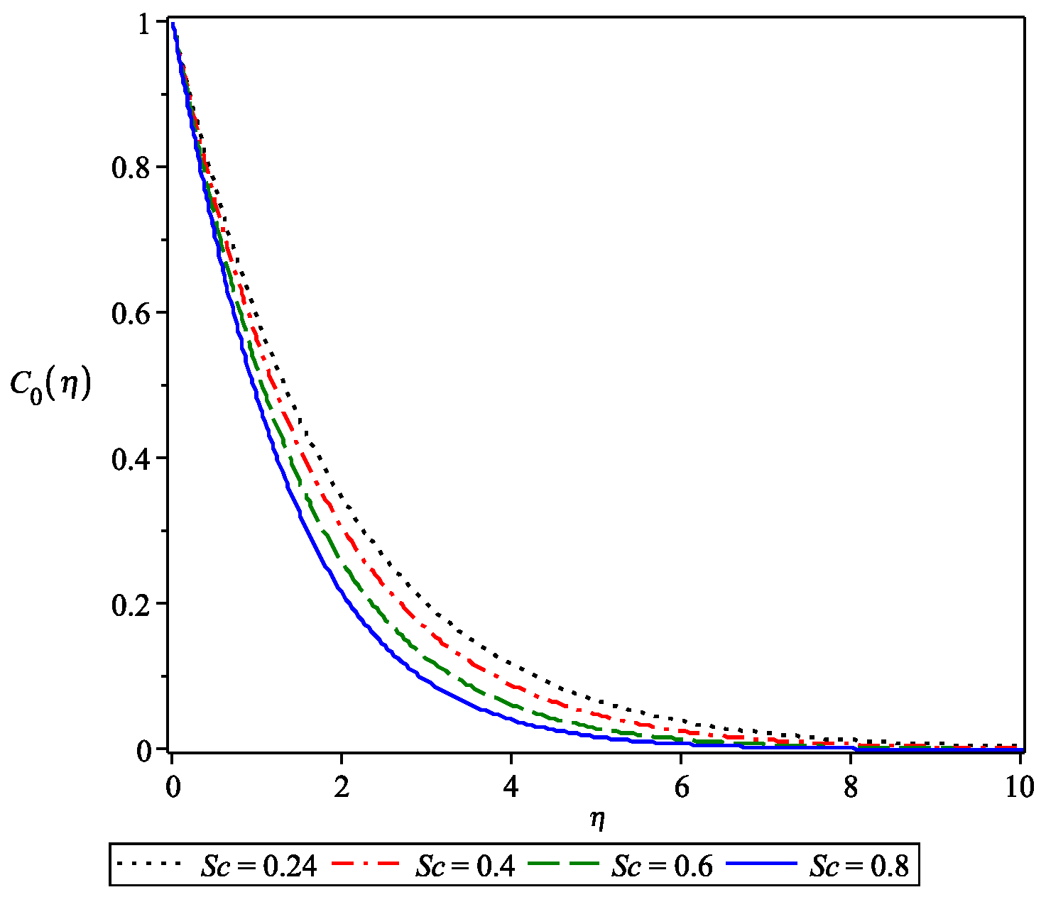
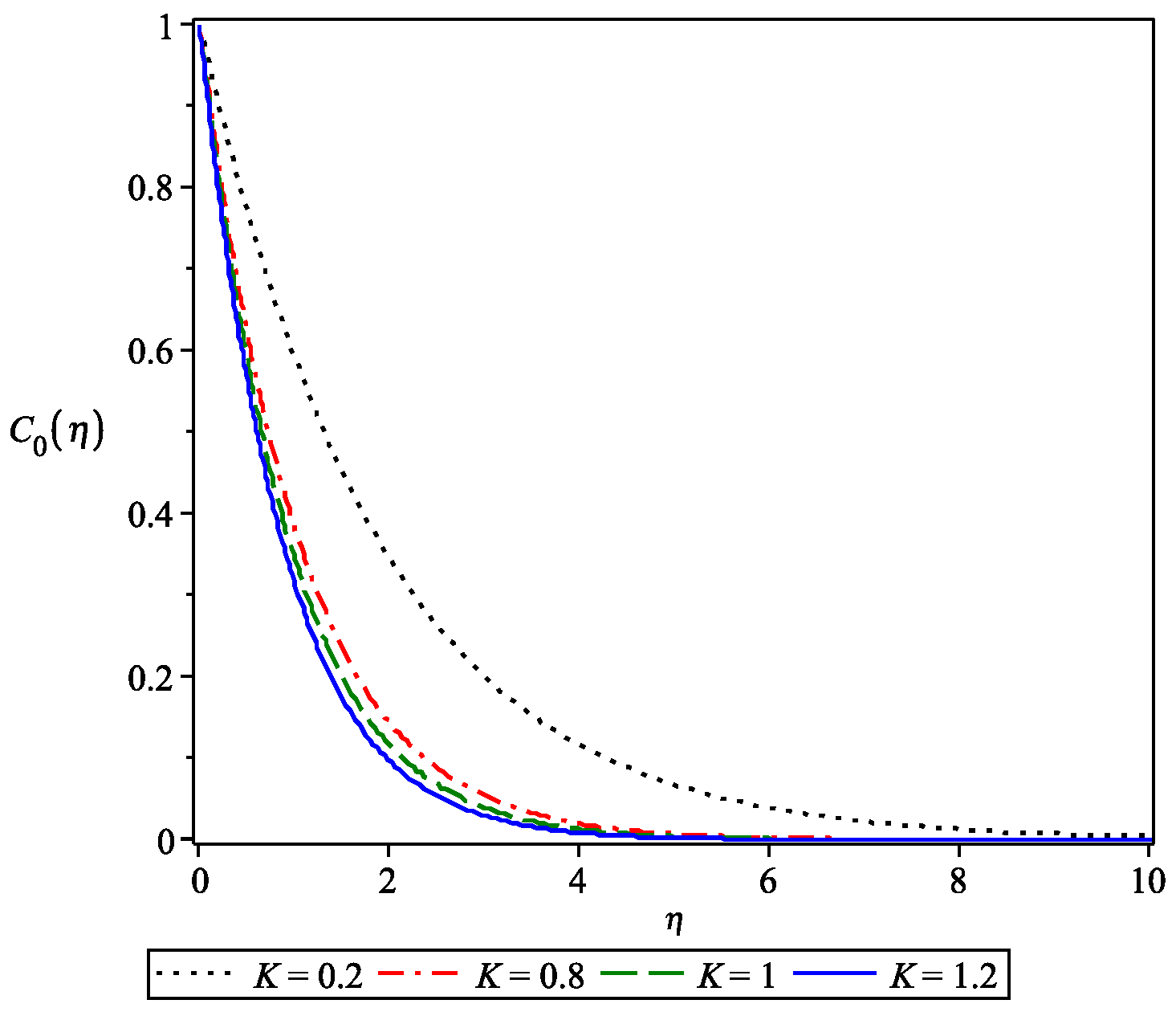
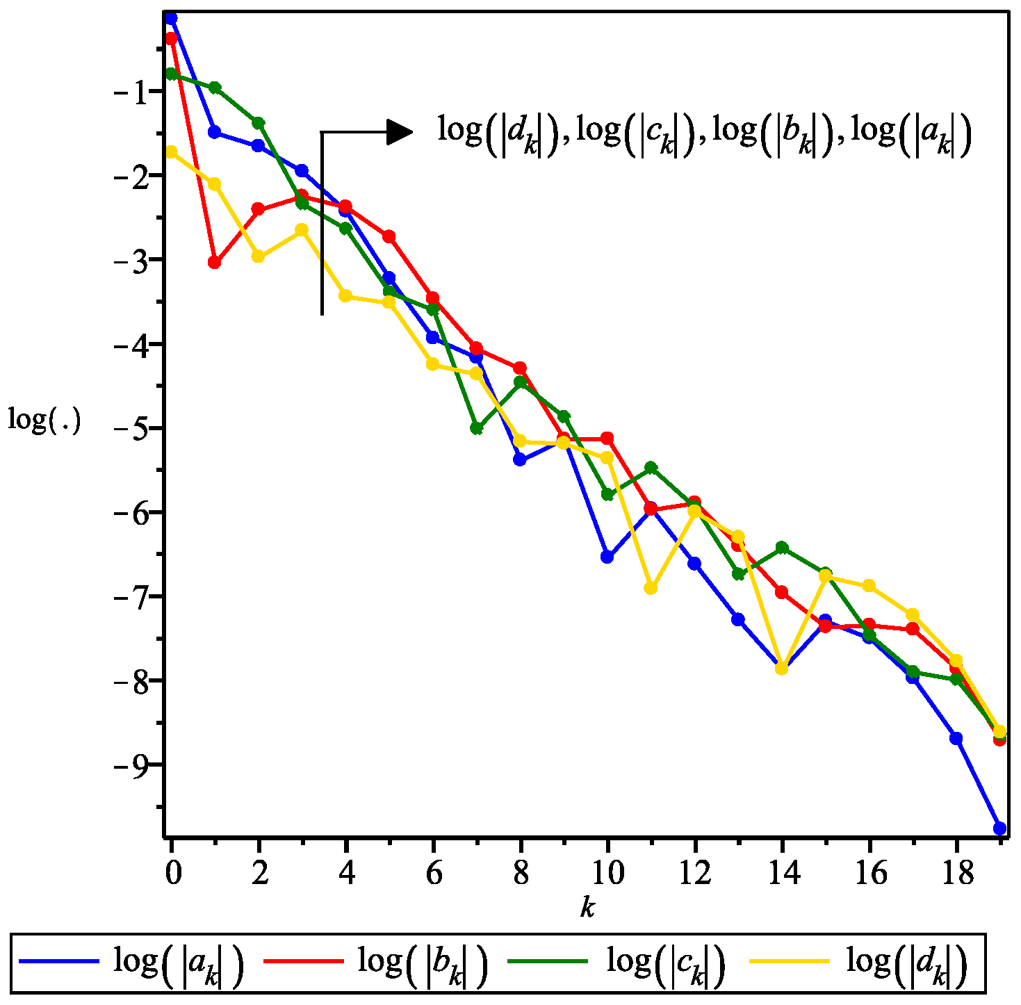
5. Results and Discussions
6. Conclusions
Author Contributions
Funding
Acknowledgments
Conflicts of Interest
References
- Sakiadis, B.C. Boundary-layer behaviour on continuous solid surfaces: I boundary-layer equations for two-dimensional and axisymmetric flow. AIChE J. 1961, 7, 26–28. [Google Scholar] [CrossRef]
- Sakiadis, B.C. Boundary-layer behaviour on continuous solid surfaces: II boundary-layer equations for two-dimensional and axisymmetric flow. AIChE J. 1961, 7, 221–225. [Google Scholar] [CrossRef]
- Crane, L.J. Flow past a stretching plate. Z. Angew. Math. Phys. 1970, 21, 645–647. [Google Scholar] [CrossRef]
- Tsou, F.; Sparrow, E.; Glodstein, R. Flow and heat transfer in the boundary layer on a continuous moving surface. Int. J. Heat. Mass. Tran. 1967, 10, 219–235. [Google Scholar] [CrossRef]
- Erickson, L.E.; Fan, L.T.; Fox, V.G. Heat and mass transfer on a moving continuous flat plate with suction or injection. Ind. Eng. Chem. Fundam. 1966, 5, 19–25. [Google Scholar] [CrossRef]
- Das, U.N.; Deka, R.K.; Soundalgekar, V.M. Effects of mass transfer on flow past an impulsively started infinite vertical plate with constant heat flux and chemical reaction. Forsch. Ingenieurwes. 1994, 60, 284–287. [Google Scholar] [CrossRef]
- Anjalidevi, S.; Kandasamy, R. Effects ofchemical reaction heat and mass transfer on laminar flow along a semi infinite horizontal plate. Heat. Mass. Transfer. 1999, 35, 465–467. [Google Scholar] [CrossRef]
- Anjalidevi, S.; Kandasamy, R. Effects of chemical reaction heat and mass transfer on MHD flow past a semi infinite plate. Z. Angew. Math. Mech. 2000, 80, 697–701. [Google Scholar] [CrossRef]
- Muthucumaraswamy, R.; Ganesan, P. On impulsive motion of a vertical plate with heat flux and diffusion of chemically reactive species. Forsch. Ingenieurwes. 2000, 66, 17–23. [Google Scholar] [CrossRef]
- Muthucumaraswamy, R.; Ganesan, P. First-order chemical reaction on flow past an impulsively started vertical plate with uniform heat and mass flux. Acta Mech. 2001, 147, 45–57. [Google Scholar] [CrossRef]
- Muthucumaraswamy, R.; Ganesan, P. Effects of suction on heat and mass transfer along a moving vertical surface in the presence of chemical reaction. Forsch. Ingenieurwes. 2002, 67, 129–132. [Google Scholar] [CrossRef]
- Vajravelu, K.; Prasad, K.V.; Rao, N.S.P. Diffusion of a chemically reactive species of a power-law fluid past a stretching surface. Comput. Math. Appl. 2011, 62, 93–108. [Google Scholar] [CrossRef]
- Raptis, A.; Perdikis, C. Viscous flow over a non-linearly stretching sheet in the presence of a chemical reaction and magnetic field. Int. J. Nonlinear. Mech. 2006, 41, 527–529. [Google Scholar] [CrossRef]
- Kechil, S.A.; Hashim, I. Series solution of flow over nonlinearly stretching sheet with chemical reaction and magnetic field. Phy. Lett. A 2008, 372, 2258–2263. [Google Scholar] [CrossRef]
- Ziabakhsh, Z.; Domairry, G.; Bararnia, H.; Babazadeh, H. Analytical solution of flow and diffusion of chemically reactive species over a nonlinearly stretching sheet immersed in a porous medium. J. Taiwan Inst. Chem. E. 2010, 41, 22–28. [Google Scholar] [CrossRef]
- Finlayson, B.A. The Method of Weighted Residuals and Variational Principles; Academic Press: New York, NY, USA, 1972. [Google Scholar]
- Solsvik, J.; Tangen, S.; Jakobsen, H.A. Evaluation of weighted residual methods for the solution of the pellet equations: The orthogonal collocation, Galerkin, Tau and least-squares methods. Comput. Chem. Eng. 2013, 58, 223–259. [Google Scholar] [CrossRef]
- Jibenja, N.; Yuttanan, B.; Razzaghi, M. An efficient method for numerical solutions of distributed-order fractional differential equations. J. Comput. Nonlin. Dyn. 2018, 13, 111003. [Google Scholar] [CrossRef]
- Dehestani, H.; Ordokhani, Y.; Razzaghi, M. Application of the modified operational matrices in multiterm variable-order time-fractional partial differential equations. Math. Method Appl. Sci. 2019, 42, 7296–7313. [Google Scholar] [CrossRef]
- Coulaud, O.; Funaro, D.; Kavian, O. Laguerre spectral approximation of elliptic problems in exterior domains. Comput. Method Appl. Mech. Eng. 1990, 80, 451–458. [Google Scholar] [CrossRef]
- Funaro, D.; Kavian, O. Approximation of some diffusion evolution equations in unbounded domains by Hermite functions. Math. Comp. 1991, 57, 597–619. [Google Scholar] [CrossRef]
- Guo, B.Y. Jacobi spectral approximation and its applications to differential equations on the half line. J. Comput. Math. 2000, 18, 95–112. [Google Scholar]
- Boyd, J.P. Chebyshev and Fourier Spectral Methods, 2nd ed.; Dover: New York, NY, USA, 2000. [Google Scholar]
- Christov, C. A complete orthogonal system of functions in L2(-∞,∞) space. SIAM J. Appl. Math. 1982, 42, 1337–1344. [Google Scholar] [CrossRef]
- Boyd, J.P. Orthogonal rational functions on a semi-infinite interval. J. Comput. Phys. 1987, 70, 63–88. [Google Scholar] [CrossRef]
- Parand, K.; Razzaghi, M. Rational Legendre approximation for solving some physical problems on semi-infinite intervals. Phys. Scripta. 2004, 69, 353–357. [Google Scholar] [CrossRef]
- Baharifard, F.; Parand, K.; Rashidi, M.M. Novel solution for heat and mass transfer of a MHD micropolar fluid flow on a moving plate with suction and injection. Eng. Comput. 2020. [Google Scholar] [CrossRef]
- Baharifard, F.; Kazem, S.; Parand, K. Rational and exponential Legendre Tau method on steady flow of a third grade fluid in a porous half space. Int. J. Appl. Comput. Math. 2015, 67, 1–20. [Google Scholar] [CrossRef][Green Version]
- Delkhosh, M.; Parand, K.; Ganji, D.D. An efficient numerical method to solve the boundary layer flow of an Eyring-Powell non-Newtonian fluid. J. Appl. Comput. Mech. 2019, 5, 454–467. [Google Scholar]
- Azarnavid, B.; Parand, K. An iterative reproducing kernel method in Hilbert space for the multi-point boundary value problems. J. Comput. Appl. Math. 2018, 328, 151–163. [Google Scholar] [CrossRef]
- Parand, K.; Dehghan, M.; Baharifard, F. Solving a laminar boundary layer equation with the rational Gegenbauer functions. Appl. Math. Model. 2013, 37, 851–863. [Google Scholar] [CrossRef]
- Andersson, H.I.; Hansen, O.R.; Holmedal, B. Diffusion of a chemically reactive species from a stretching sheet. Int. J. Heat. Mass. Tran. 1994, 37, 659–664. [Google Scholar] [CrossRef]
- Rajagopal, K.; Tao, L. Mechanics of Mixture; World Scientific: Singapore, 1995. [Google Scholar]
- Szegö, G. Orthogonal Polynomials, 4th ed.; AMS Colloquium Publications: Providence, RI, USA, 1975. [Google Scholar]
- Abramowitz, M.; Stegun, I. (Eds.) Handbook of Mathematical Functions; Dover: New York, NY, USA, 1968. [Google Scholar]
- Boyd, J.P. The optimization of convergence for Chebyshev polynomial methods in an unbounded domain. J. Comput. Phys. 1982, 45, 43–79. [Google Scholar] [CrossRef]
- Canuto, C.; Hussaini, M.Y.; Quarteroni, A.; Zang, T.A. Spectral Methods in Fluid Dynamic; Springer: New York, NY, USA, 1987. [Google Scholar]
- Gottlieb, D.; Hussaini, M.Y.; Orszag, S. Theory and Applications of Spectral Methods in Spectral Methods for Partial Differential Equations; Voigt, R., Gottlieb, D., Hussaini, M.Y., Eds.; SIAM: Philadelphia, PA, USA, 1984. [Google Scholar]
- Guo, B.Y.; Shen, J.; Wang, Z.Q. A rational approximation and its applications to differential equations on the half line. J. Sci. Comput. 2000, 15, 117–147. [Google Scholar] [CrossRef]
- Guo, B.Y.; Shen, J.; Wang, Z.Q. Chebyshev rational spectral and pseudospectral methods on a semi-infinite interval. Int. J. Numer. Meth. Eng. 2002, 53, 65–84. [Google Scholar] [CrossRef]
- Guo, B.Y. Gegenbauer approximation and its applications to differential equations on the whole line. J. Math. Anal. Appl. 1998, 226, 180–206. [Google Scholar]










| N | RGC | HAM [15] | Runge-Kutta [15] |
|---|---|---|---|
| N | RGC | HAM [15] | Runge-Kutta [15] |
|---|---|---|---|
| N | RGC | HAM [15] | Runge-Kutta [15] |
|---|---|---|---|
| RGC | HAM [15] | Runge-Kutta [15] | |
|---|---|---|---|
| RGC | HAM [15] | Runge-Kutta [15] | |
|---|---|---|---|
© 2020 by the authors. Licensee MDPI, Basel, Switzerland. This article is an open access article distributed under the terms and conditions of the Creative Commons Attribution (CC BY) license (http://creativecommons.org/licenses/by/4.0/).
Share and Cite
Razzaghi, M.; Baharifard, F.; Parand, K. Numerical Simulation of Flow over Non-Linearly Stretching Sheet Considering Chemical Reaction and Magnetic Field. Mathematics 2020, 8, 1496. https://doi.org/10.3390/math8091496
Razzaghi M, Baharifard F, Parand K. Numerical Simulation of Flow over Non-Linearly Stretching Sheet Considering Chemical Reaction and Magnetic Field. Mathematics. 2020; 8(9):1496. https://doi.org/10.3390/math8091496
Chicago/Turabian StyleRazzaghi, Mohsen, Fatemeh Baharifard, and Kourosh Parand. 2020. "Numerical Simulation of Flow over Non-Linearly Stretching Sheet Considering Chemical Reaction and Magnetic Field" Mathematics 8, no. 9: 1496. https://doi.org/10.3390/math8091496
APA StyleRazzaghi, M., Baharifard, F., & Parand, K. (2020). Numerical Simulation of Flow over Non-Linearly Stretching Sheet Considering Chemical Reaction and Magnetic Field. Mathematics, 8(9), 1496. https://doi.org/10.3390/math8091496
