Static and Dynamic Properties of a Few Spin 1/2 Interacting Fermions Trapped in a Harmonic Potential
Abstract
1. Introduction
2. Theoretical Approach
2.1. The Hamiltonian of the System
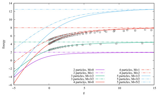
2.2. Non-Interacting and Infinite Interaction Limits
2.2.1. Non-Interacting Case: Fermi Gas
2.2.2. Infinite Interaction Case
2.3. Second Quantization
2.3.1. Creation and Annihilation Operators
2.3.2. Fock Space
2.3.3. Operators in Second Quantization
2.3.4. The Hamiltonian in Second Quantization
3. Numerical Methods
3.1. Direct Diagonalization
Basis Truncation
3.2. The Two-Body Matrix Elements of the Interaction
3.3. A Benchmark for the Two-Particle Case
3.3.1. Theoretical Spectrum for Two Particles
3.3.2. Comparison of Analytical and Numerical Results
4. Ground State Properties
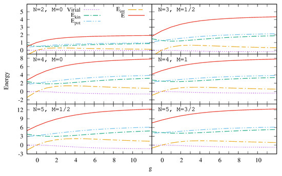
4.1. Energy and Virial Theorem
4.2. One Body Density Matrix
4.2.1. Density Profile
4.2.2. Natural Orbits
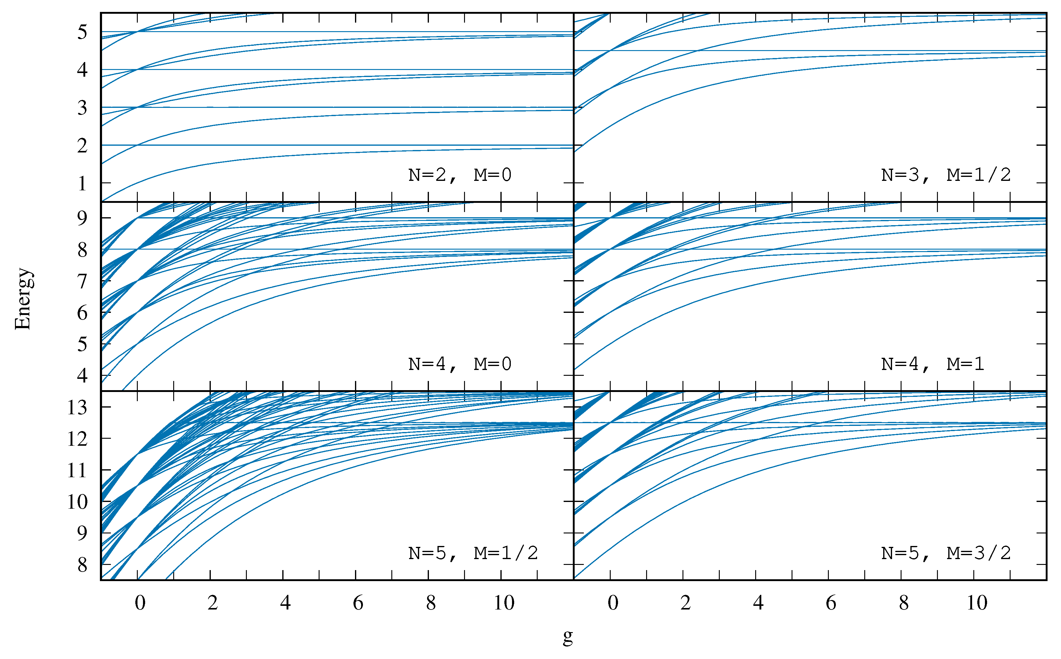
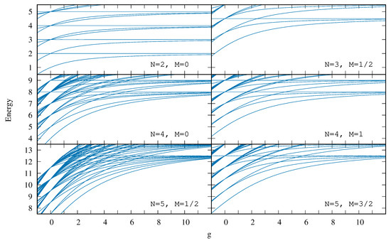
5. Low-Energy Excited States
5.1. Energy Spectrum
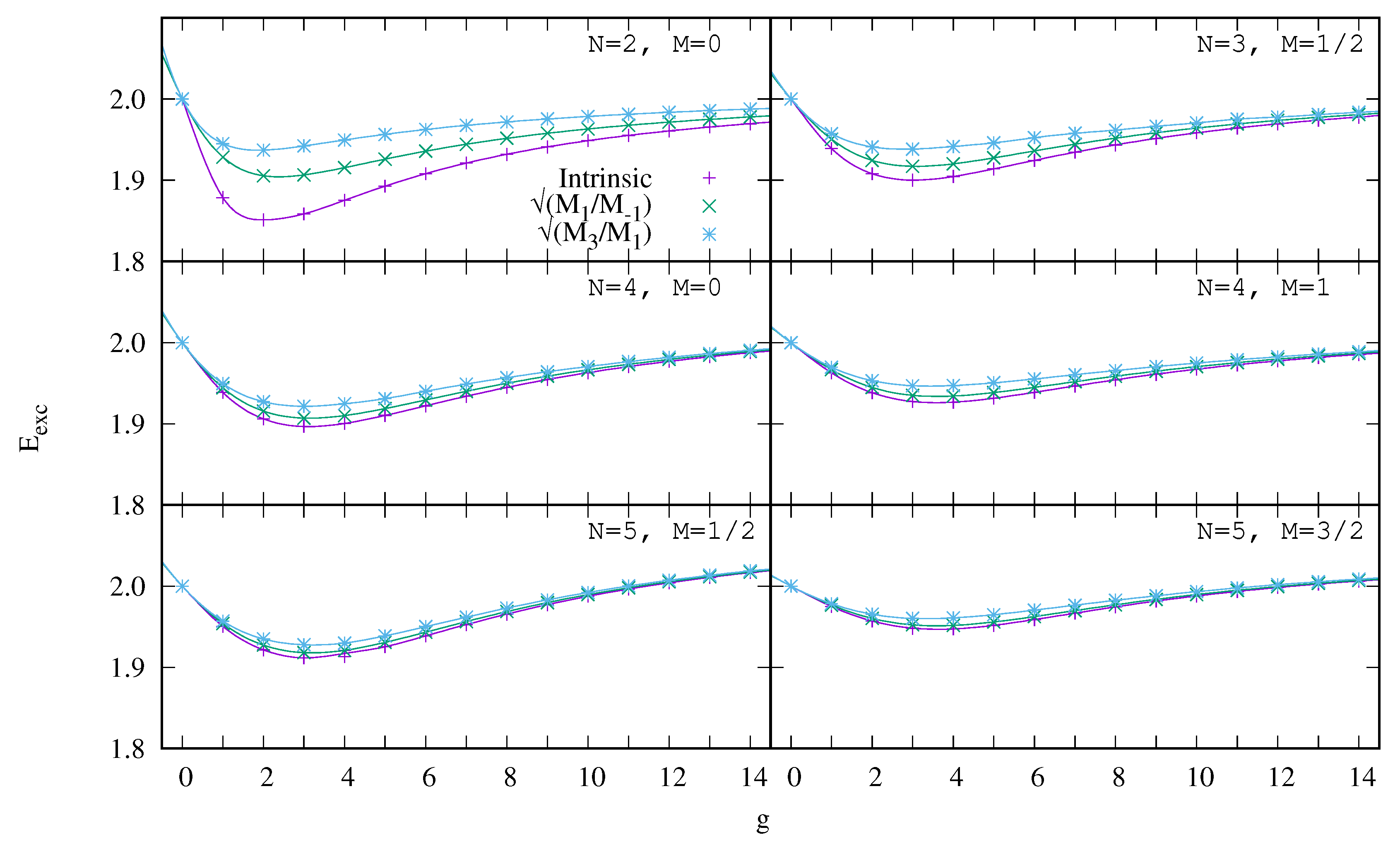
5.2. Spin Determination
6. Dynamical Excitation
6.1. Sudden Change in the Trap Frequency: Breathing Mode
6.1.1. Dynamic Structure Function
6.1.2. Sum Rules
6.2. Interaction Quench
6.2.1. Time Evolution of the Perturbed System
6.2.2. Central Density Oscillations
7. Summary and Conclusions
Author Contributions
Funding
Acknowledgments
Conflicts of Interest
Appendix A. Derivation of the Virial Theorem
Appendix B. Evaluation of the One-Body Matrix Elements
- (a)
- The m-th derivative of a Hermite polynomial,
- (b)
- The recurrence relation,
- (c)
- The orthogonality of the Hermite polynomials
- (d)
- The n-th power of x expressed in terms of Hermite polynomials
- (e)
- The product of two Hermite polynomials as a function of the sum of Hermite polynomials
References
- Giamarchi, T. Quantum Physics in One Dimension; Clarendon: Oxford, UK, 2004. [Google Scholar]
- Tonks, L. The complete equation of state of one, two and three-dimensional gases of hard elastic spheres. Phys. Rev. 1936, 50, 995. [Google Scholar] [CrossRef]
- Girardeau, M. Relationship between Systems of Impenetrable Bosons and Fermions in One Dimension. J. Math. Phys. 1960, 1, 516. [Google Scholar] [CrossRef]
- Kinoshita, T.; Wenger, T.; Weiss, D.S. Observation of a one-dimensional Tonks-Girardeau gas. Science 2004, 305, 1125–1128. [Google Scholar] [CrossRef] [PubMed]
- Paredes, B.; Widera, A.; Murg, V.; Mandel, O.; Fölling, S.; Cirac, I.; Shlyapnikov, G.V.; Hänsch, T.W.; Bloch, I. Tonks—Girardeau gas of ultracold atoms in an optical lattice. Nature 2004, 429, 277–281. [Google Scholar] [CrossRef] [PubMed]
- Kinoshita, T.; Wenger, T.; Weiss, D.S. Local pair correlations in one-dimensional Bose gases. Phys. Rev. Lett. 2005, 95, 190406. [Google Scholar] [CrossRef] [PubMed]
- Dalfovo, F.; Giorgini, S.; Pitaevskii, L.P.; Stringari, S. Theory of Bose-Einstein condensation in trapped gases. Rev. Mod. Phys. 1999, 71, 463. [Google Scholar] [CrossRef]
- Giorgini, S.; Pitaevskii, L.P.; Stringari, S. Theory of ultracold atomic Fermi gases. Rev. Mod. Phys. 2008, 80, 1215. [Google Scholar] [CrossRef]
- Bloch, I.; Dalibard, J.; Zwerger, W. Many-body physics with ultracold gases. Rev. Mod. Phys. 2008, 80, 885. [Google Scholar] [CrossRef]
- Lewenstein, M.; Sanpera, A.; Ahufinger, V. Ultracold Atoms in Optical Lattices: Simulating Quantum Many Body Physics; Oxford University Press: Oxford, UK, 2012. [Google Scholar]
- Serwane, F.; Zürn, G.; Murmann, S.; Brouzos, I.; Lompe, T.; Jochim, S. Deterministic preparation of a tunable few-fermion system. Science 2011, 332, 336–338. [Google Scholar] [CrossRef]
- Zürn, G.; Serwane, F.; Lompe, T.; Wenz, A.N.; Ries, M.G.; Bohn, J.E.; Jochim, S. Fermionization of two distinguishable fermions. Phys. Rev. Lett. 2012, 108, 075303. [Google Scholar] [CrossRef] [PubMed]
- Wenz, A.; Zürn, G.; Murmann, S.; Brouzos, I.; Lompe, T.; Jochim, S. From few to many: Observing the formation of a Fermi sea one atom at a time. Science 2013, 342, 457–460. [Google Scholar] [CrossRef] [PubMed]
- Chin, C.; Grimm, R.; Julienne, P.; Tiesinga, E. Feshbach Resonances in Ultracold Gases. Rev. Mod. Phys. 2010, 82, 1225. [Google Scholar] [CrossRef]
- Zürn, G.; Wenz, A.N.; Murmann, S.; Bergschneider, A.; Lompe, T.; Jochim, S. Pairing in few-fermion systems with attractive interactions. Phys. Rev. Lett. 2013, 111, 175302. [Google Scholar] [CrossRef]
- Murmann, S.; Bergschneider, A.; Klinkhamer, V.M.; Zürn, G.; Lompe, T.; Jochim, S. Two fermions in a double well: Exploring a fundamental building block of the Hubbard model. Phys. Rev. Lett. 2015, 114, 080402. [Google Scholar] [CrossRef]
- Murmann, S.; Deuretzbacher, F.; Zürn, G.; Bjerlin, J.; Reimann, S.M.; Santos, L.; Lompe, T.; Jochim, S. Antiferromagnetic Heisenberg spin chain of a few cold atoms in a one-dimensional trap. Phys. Rev. Lett. 2015, 115, 215301. [Google Scholar] [CrossRef] [PubMed]
- Hammer, H.-W.; Nogga, A.; Schwenk, A. Three-body forces: From cold atoms to nuclei. Rev. Mod. Phys. 2013, 85, 197. [Google Scholar] [CrossRef]
- Ring, P.; Schuck, P. The Nuclear Many-Body Problem; Springer: Berlin/Heidelberg, Germany, 1980. [Google Scholar]
- Truscott, A.G.; Strecker, K.E.; McAlexander, W.I.; Partridge, G.B.; Hulet, R.G. Observation of Fermi Pressure in a Gas of Trapped Atoms. Science 2001, 291, 2570. [Google Scholar] [CrossRef]
- Blume, D. Few-body physics with ultracold atomic and molecular systems in traps. Rep. Prog. Phys. 2012, 75, 046401. [Google Scholar] [CrossRef]
- Mistakidis, S.I.; Katsimiga, G.C.; Koutentakis, G.M.; Schmelcher, P. Repulsive Fermi polarons and their induced interactions in binary mixtures of ultracold atoms. New J. Phys. 2019, 21, 043032. [Google Scholar] [CrossRef]
- Zöllner, S.; Meyer, H.-D.; Schmelcher, P. Correlations in ultracold trapped few-boson systems: Transition from condensation to fermionization. Phys. Rev. A 2006, 74, 063611. [Google Scholar] [CrossRef]
- Cheiney, P.; Cabrera, C.R.; Sanz, J.; Naylor, B.; Tanzi, L.; Tarruell, L. Bright Soliton to Quantum Droplet Transition in a Mixture of Bose-Einstein Condensates. Phys. Rev. Lett. 2018, 120, 135301. [Google Scholar] [CrossRef] [PubMed]
- Sowinski, T.; Garcia-March, M.A. One-dimensional mixtures of several ultracold atoms: A review. Rep. Prog. Phys. 2019, 82, 104401. [Google Scholar] [CrossRef]
- Laird, E.K.; Shi, Z.-Y.; Parish, M.M.; Levinsen, J. SU(N) fermions in a one-dimensional harmonic trap. Phys. Rev. A 2017, 96, 032701. [Google Scholar] [CrossRef]
- Brouzos, I.; Schmelcher, P. Two-component few-fermion mixtures in a one-dimensional trap: Numerical versus analytical approach. Phys. Rev. A 2013, 87, 023605. [Google Scholar] [CrossRef]
- Lindgren, E.J.; Rotureau, J.; Forssén, C.; Volosniev, A.G.; Zinner, N.T. Fermionization of two-component few-fermion systems in a one-dimensional harmonic trap. New J. Phys. 2014, 16, 063003. [Google Scholar] [CrossRef]
- Andersen, M.E.S.; Dehkharghani, A.S.; Volosniev, A.G.; Lindgren, E.J.; Zinner, N.T. An interpolatory ansatz captures the physics of one-dimensional confined Fermi systems. Sci. Rep. 2016, 6, 28362. [Google Scholar] [CrossRef] [PubMed]
- Pęcak, D.; Dehkharghani, A.S.; Zinner, N.T.; Sowiński, T. Four fermions in a one-dimensional harmonic trap: Accuracy of a variational-ansatz approach. Phys. Rev. A 2017, 95, 053632. [Google Scholar] [CrossRef]
- Gordillo, M.C. One-dimensional harmonically confined SU(N) fermions. Phys. Rev. A 2019, 100, 023603. [Google Scholar] [CrossRef]
- Harshman, N.L. Spectroscopy for a few atoms harmonically trapped in one dimension. Phys. Rev. A 2014, 89, 033633. [Google Scholar] [CrossRef]
- Sowinski, T.; Grass, T.; Dutta, O.; Lewenstein, M. Few interacting fermions in one-dimensional harmonic trap. Phys. Rev. A 2013, 88, 033607. [Google Scholar] [CrossRef]
- Ledesma, D.; Romero-Ros, A.; Polls, A.; Juliá-Díaz, B. Dynamic structure function of two interacting atoms in 1D. EPL 2019, 127, 56001. [Google Scholar] [CrossRef]
- Pyzh, M.; Kronke, S.; Weitenberg, C.; Schmelcher, P. Spectral properties and breathing dynamics of a few-body Bose-Bose mixture in a 1D harmonic trap. New J. Phys. 2018, 20, 015006. [Google Scholar] [CrossRef]
- Olshanii, M. Atomic scattering in the presence of an external confinement and a gas of impenetrable bosons. Phys. Rev. Lett. 1998, 81, 938. [Google Scholar] [CrossRef]
- Haller, E.; Gustavsson, M.; Mark, M.J.; Danzl, J.G.; Hart, R.; Pupillo, G.; Nagerl, H.-C. Realization of an Excited, Strongly Correlated Quantum Gas Phase. Science 2009, 325, 1224. [Google Scholar] [CrossRef] [PubMed]
- Yin, X.Y.; Yan, Y.; Smith, D.H. Dynamics of small trapped one-dimensional Fermi gas under oscillating magnetic fields. Phys. Rev. A 2016, 94, 043639. [Google Scholar] [CrossRef]
- Guan, L.; Chen, S.; Wang, Y.; Ma, Z. Exact solution for infinitely strongly interacting Fermi gases in tight waveguides. Phys. Rev. Lett. 2009, 102, 160402. [Google Scholar] [CrossRef]
- Volosniev, A.G.; Fedorov, D.V.; Jensen, A.S.; Valiente, M.; Zinner, N.T. Strongly interacting confined quantum systems in one dimension. Nat. Commun. 2014, 5, 5300. [Google Scholar] [CrossRef]
- Lieb, E.H.; Mattis, D. Theory of ferromagnetism and the ordering of electronic energy levels. Phys. Rev. 1962, 125, 164. [Google Scholar] [CrossRef]
- Decamp, J.; Armagnat, P.; Fang, B.; Albert, M.; Minguzzi, A.; Vignolo, P. Exact density profiles and symmetry classification for strongly interacting multi-component Fermi gases in tight waveguides. New J. Phys. 2016, 18, 055011. [Google Scholar] [CrossRef]
- Dickhoff, W.H.; van Neck, D. Many-Body Theory Exposed! World Scientific: Singapore, 2008. [Google Scholar]
- Busch, T.; Englert, B.G.; Rzazewski, K.; Wilkens, M. Two cold atoms in an harmonic trap. Found. Phys. 1998, 28, 549. [Google Scholar] [CrossRef]
- Wu, K.; Simon, H. Thick-restart Lanczos method for large symmetric eigenvalue problems. SIAM J. Matrix Anal. Appl. 2000, 22, 602. [Google Scholar] [CrossRef]
- Meyer, H.D.; Manthe, U.; Cederbaum, L.S. The multi-configurational time-dependent Hartree approach. Chem. Phys. Lett. 1990, 165, 73. [Google Scholar] [CrossRef]
- Rammelmüller, L.; Porter, W.J.; Braun, J.; Drut, J. Evolution from few- to many-body physics in one-dimensional Fermi systems: One- and two-body density matrices and particle-partition entanglement. Phys. Rev. A 2017, 96, 033635. [Google Scholar] [CrossRef]
- Bellotti, F.F.; Dehkharghani, A.S.; Zinner, N.T. Comparing numerical and analytical approaches to strongly interacting two-component mixtures in one dimensional traps. Eur. Phys. J. D 2017, 71, 37. [Google Scholar] [CrossRef]
- Raventos, D.; Grass, T.; Lewenstein, M.; Juliá-Díaz, B. Cold bosons in optical lattices: A tutorial for Exact Diagonalization. J. Phys. B At. Mol. Opt. Phys. 2017, 50, 113001. [Google Scholar] [CrossRef]
- Plodzien, M.; Wiater, D.; Chrostowski, A.; Sowinski, T. Numerically exact approach to few-body problems far from a perturbative regime. arXiv 2018, arXiv:1803.08387. [Google Scholar]
- Chrostowski, A.; Sowiński, T. Efficient construction of many-body Fock states having the lowest energies. Acta Phys. Pol. A 2020, 136, 566. [Google Scholar] [CrossRef]
- Titchmarsh, E.C. Some integral Involving Hermite Polynomials. J. Lond. Math. Soc. 1948, 23, 15. [Google Scholar] [CrossRef]
- Grining, T.; Tomza, M.; Lesiuk, M.; Przybytek, M.; Musial, M.; Massignan, P.; Lewenstein, M.; Moszynski, R. Many interacting fermions in a one-dimensional harmonic trap: A quantum-chemical treatment. New J. Phys. 2015, 17, 115001. [Google Scholar] [CrossRef]
- Gharashi, S.E.; Blume, D. Correlations of the upper branch of 1d harmonically trapped two-component Fermi gases. Phys. Rev. Lett. 2013, 111, 045302. [Google Scholar] [CrossRef]
- Li, X.; Pecak, D.; Sowinski, T.; Sherson, J.; Nielsen, A.E.B. Global optimization for quantum dynamics of few-fermion systems. Phys. Rev. A 2018, 97, 033602. [Google Scholar] [CrossRef]
- Fang, B.; Carleo, G.; Bouchoule, I. Quench-induced breathing mode of one-dimensional Bose gases. Phys. Rev. Lett. 2014, 113, 035301. [Google Scholar] [CrossRef] [PubMed]
- Menotti, C.; Stringari, S. Collective oscillations of a 1D trapped Bose gas. Phys. Rev. A 2002, 66, 043610. [Google Scholar] [CrossRef]
- Moritz, H.; Stoferle, T.; Kohl, M.; Esslinger, T. Exciting Collective Oscillations in a Trapped 1D Gas. Phys. Rev. Lett. 2003, 91, 250402. [Google Scholar] [CrossRef] [PubMed]
- Kohn, W. Cyclotron Resonance and de Haas-van Alphen Oscillations of an Interacting Electron Gas. Phys. Rev. 1961, 123, 1242. [Google Scholar] [CrossRef]
- Ebert, M.; Volosniev, A.; Hammer, H.-W. Two Cold Atoms in a Time-Dependent Harmonic Trap in One Dimension. Ann. Phys. 2016, 528, 698. [Google Scholar] [CrossRef]
- Gharashi, S.E.; Blume, D. Broken scale-invariance in time-dependent trapping potentials. Phys. Rev. A 2016, 94, 063639. [Google Scholar] [CrossRef]
- Kwasniok, J.; Mistakidis, S.I.; Schmelcher, P. Correlated dynamics of fermionic impurities induced by the counterflow of an ensemble of fermions. Phys. Rev. A 2020, 101, 053619. [Google Scholar] [CrossRef]
- Gudyma, A.I.; Astrakharchik, G.E.; Zvonarev, M.B. Reentrant behavior of the breathing-mode-oscillation frequency in a one-dimensional. Phys. Rev. A 2015, 92, 021601. [Google Scholar] [CrossRef]
- Bohigas, O.; Lane, A.M.; Martorell, J. Sum rules for nuclear collective excitations. Phys. Rep. 1979, 51, 267. [Google Scholar] [CrossRef]
- Sowinski, T.; Brewczyk, M.; Gajda, M.; Rzazewski, K. Exact dynamics and decoherence of two cold bosons in a 1D harmonic trap. Phys. Rev. A 2010, 82, 053631. [Google Scholar] [CrossRef]
- Budewig, L.; Mistakidis, S.I.; Schmelcher, P. Quench Dynamics of Two One-Dimensional Harmonically Trapped Bosons Bridging Attraction and Repulsion. Mol. Phys. 2019, 117, 2043. [Google Scholar] [CrossRef]
- Erdmann, J.; Mistakidis, S.I.; Schmelcher, P. Phase-separation dynamics induced by an interaction quench of a correlated Fermi-Fermi mixture in a double well. Phys. Rev. A 2019, 99, 013605. [Google Scholar] [CrossRef]















| Number of Single-Particle States | Number of Many-Body Basis States | ||
|---|---|---|---|
| with Energy Restriction | without Restriction | ||
| 2 particles, M = 0 | 100 | 5050 | 10,000 | 
| 3 particles, M = 1/2 | 50 | 10,725 | 61,250 | 
| 4 particles, M = 0 | 40 | 30,800 | 608,400 | 
| 4 particles, M = 1 | 40 | 19,530 | 395,200 | 
| 5 particles, M = 1/2 | 30 | 22,923 | 1,766,100 | 
| 5 particles, M = 3/2 | 30 | 11,349 | 822,150 | 
© 2020 by the authors. Licensee MDPI, Basel, Switzerland. This article is an open access article distributed under the terms and conditions of the Creative Commons Attribution (CC BY) license (http://creativecommons.org/licenses/by/4.0/).
Share and Cite
Rojo-Francàs, A.; Polls, A.; Juliá-Díaz, B. Static and Dynamic Properties of a Few Spin 1/2 Interacting Fermions Trapped in a Harmonic Potential. Mathematics 2020, 8, 1196. https://doi.org/10.3390/math8071196
Rojo-Francàs A, Polls A, Juliá-Díaz B. Static and Dynamic Properties of a Few Spin 1/2 Interacting Fermions Trapped in a Harmonic Potential. Mathematics. 2020; 8(7):1196. https://doi.org/10.3390/math8071196
Chicago/Turabian StyleRojo-Francàs, Abel, Artur Polls, and Bruno Juliá-Díaz. 2020. "Static and Dynamic Properties of a Few Spin 1/2 Interacting Fermions Trapped in a Harmonic Potential" Mathematics 8, no. 7: 1196. https://doi.org/10.3390/math8071196
APA StyleRojo-Francàs, A., Polls, A., & Juliá-Díaz, B. (2020). Static and Dynamic Properties of a Few Spin 1/2 Interacting Fermions Trapped in a Harmonic Potential. Mathematics, 8(7), 1196. https://doi.org/10.3390/math8071196
 
        
 
       