The Generalized H-Bézier Model: Geometric Continuity Conditions and Applications to Curve and Surface Modeling
Abstract
1. Introduction
2. The Generalized Cubic H-Bézier Model
2.1. Definition of Generalized Cubic H-Bézier Curves
2.2. Shape Control of the Generalized Cubic H-Bézier Curves
- (a)
- For fixed shape parameters , the curves will gradually approach or go far away from the control point when increasing or decreasing the value of shape parameter . That means that the shape parameter is mainly used to adjust the local shape of the curves in the vicinity of control point (as shown in Figure 3a).
- (b)
- For fixed shape parameters and , the curves will simultaneously move away from the control points and with increasing value of the shape parameter (as shown in Figure 3b). What calls for special attention is that the location of point will not change as increases.
- (c)
- For fixed shape parameters and , the curves will get nearer to or farther away from control point when increasing or decreasing the value of shape parameter . That means that the shape parameter is mainly utilized to control the local shape of the curves in the vicinity of control point (as shown in Figure 3c).
2.3. Definition of Generalized Bicubic H-Bézier Surfaces
3. Geometric Continuity Conditions for the Generalized Cubic H-Bézier Model
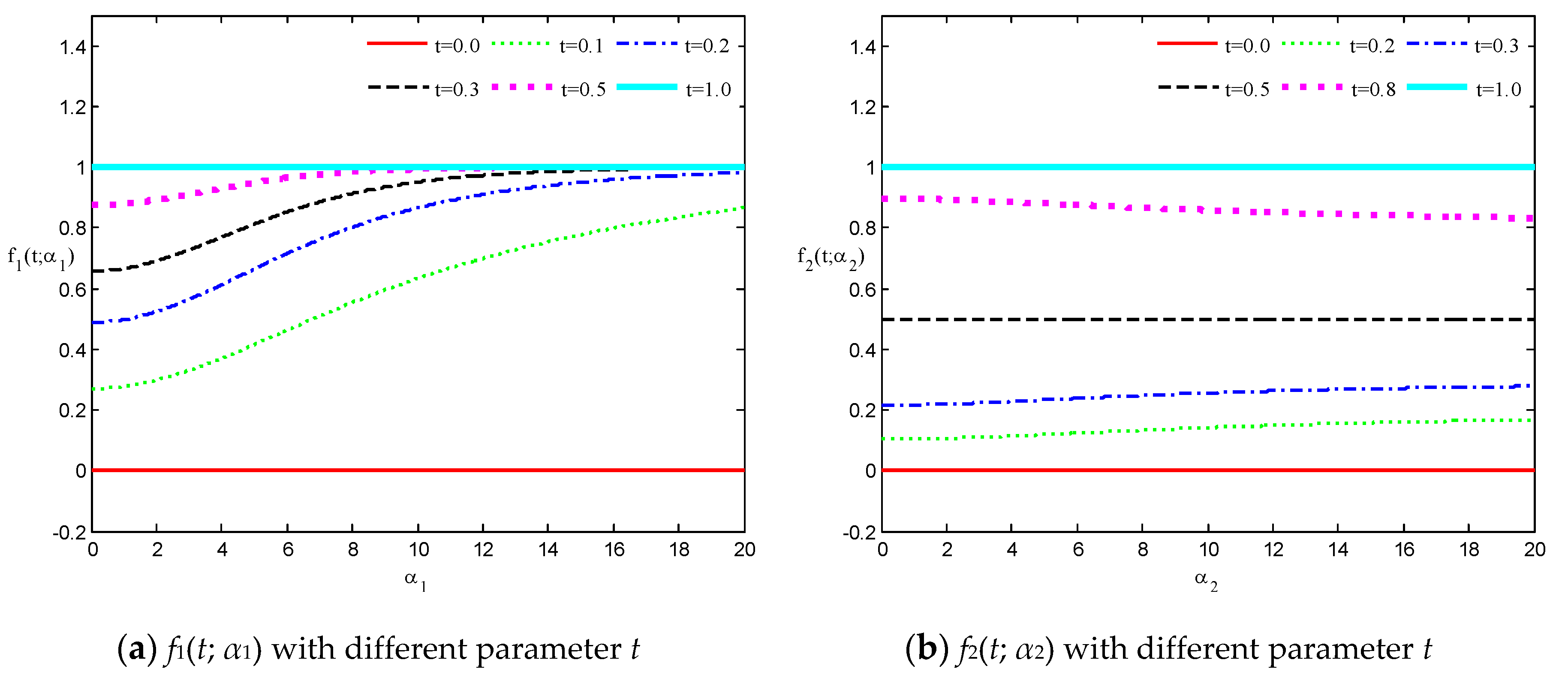
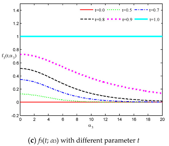
3.1. G1 and G2 Smooth Continuity for Generalized Cubic H-Bézier Curves
| Algorithm 1. CurveJoint(Px, Py, A, B, lamda, mu) |
| { /* G2 smooth continuity between two adjacent generalized cubic H-Bézier curves */ |
| /* Input: Px, Py control points of the first curve */ |
| /* A, B shape parameters of the first and second curve, respectively */ |
| /* lamda, mu */ |
| /* Output: composite generalized cubic H-Bézier curves with G2 smooth continuity */ |
| N = 101; |
| Compute the values of the basis function for u and store them in h03[N], h13[N], h23[N], h33[N], respectively; |
| for (i = 0; i <= N; ++i) |
| { |
| Hx[i] = h03[i] * Px[0] + h13[i] * Px[1] + h23[i] * Px[2] + h33[i] * Px[3]; |
| Hy[i] = h03[i] * Py[0] + h13[i] * Py[1] + h23[i] * Py[2] + h33[i] * Py[3]; |
| } |
| Plot the initial generalized cubic H-Bézier curve according to Hx and Hy; |
| Compute the first three control points of the second curve according to (18) and store them in Qx[i] and Qy[i] (i = 0,1,2); |
| Give the last control point Qx[3],Qy[3]; |
| for (i = 0; i <= N; ++i) |
| { |
| HHx[i] = h03[i] * Qx[0] + h13[i] * Qx[1] + h23[i] * Qx[2] + h33[i] * Qx[3]; |
| HHy[i] = h03[i] * Qy[0] + h13[i] * Qy[1] + h23[i] * Qy[2] + h33[i] * Qy[3]; |
| } |
| Plot the generalized cubic H-Bézier curve that needs to reach G2 smooth continuity according to HHx and HHy; |
| } |
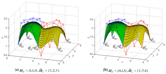
3.2. G1 Smooth Continuity for Generalized Cubic H-Bézier Surfaces
| Algorithm 2. SurfaceJoint(Px, Py, Pz, A1, B1, B2, gama) |
| { /* G1 continuity between two generalized bicubic H-Bézier surfaces in the u direction */ |
| /* Input: Px, Py, Pz the control mesh points of the surface S1 */ |
| /* A1, B1 the shape parameters of the surface S1 */ |
| /* B2 the shape parameters of the surface S2 */ |
| /* gama */ |
| /* Output: the composite generalized bicubic H-Bézier surface that satisfies the corresponding continuity condition */ |
| Surface (Px, Py, Pz, A1, B1); |
| Compute the first two rows of control mesh points of S2 according to equation (22) and store them in Qx[i],Qy[i],Qz[i](i = 0,1); |
| Give the last two rows of control mesh points Qx[i],Qy[i] (i = 2,3) of S2; |
| Surface (Qx, Qy, Qz, A1, B2); |
| } |
| Surface(Px, Py, Pz, A1, B1) |
| { /* The generation of generalized bicubic H-Bézier surfaces */ |
| /* Input: Px, Py, Pz, A1, B1 the control mesh points and shape parameters of the generalized bicubic H-Bézier surfaces */ |
| /* Output: generalized bicubic H-Bézier surfaces */ |
| i = 0; |
| for (u = 0; u <= 1; u += 0.04) |
| { |
| Compute the values of basis function for u direction and store them in uh03,uh13,uh23,uh33; |
| k = 0; |
| for (v = 0; v <= 1; v += 0.04) |
| { |
| Compute the values of basis function for v direction and store them in vh03,vh13,vh23,vh33, respectively; |
| for (j = 0; j < 4; ++ j) |
| { |
| qvx[j] = vh03*Px[j][0] + vh13*Px[j][1] + vh23*Px[j][2] + vh33*Px[j][3]; |
| qvy[j] = vh03*Py[j][0] + vh13*Py[j][1] + vh23*Py[j][2] + vh33*Py[j][3]; |
| qvz[j] = vh03*Pz[j][0] + vh13*Pz[j][1] + vh23*Pz[j][2] + vh33*Pz[j][3]; |
| } |
| qux = uh03 * qvx[0] + uh13 * qvx[1] + uh23 * qvx[2]+ uh33 * qvx[3]; |
| quy = uh03 * qvy[0] + uh13 * qvy[1] + uh23 * qvy[2] + uh33 * qvy[3]; |
| quz = uh03 * qvz[0] + uh13 * qvz[1] + uh23 * qvz[2]+ uh33 * qvz[3]; |
| X(i,k) = qux; |
| Y(i,k) = quy; |
| Z(i,k) = quz; |
| k = k + 1; |
| } |
| i = i + 1; |
| } |
| Plot the generalized bicubic H-Bézier surfaces according to X,Y and Z; |
| } |
4. Practical Applications
5. Conclusions
- (a)
- The local controlled generalized H-Bézier model is an extension of the classical H-Bézier model constructed by Pottmann in [9].
- (b)
- (c)
- For a composite generalized H-Bézier curve, designers can adjust the global and local shape of the curve by changing the shape parameters without having to redetermine the control points.
Author Contributions
Funding
Acknowledgments
Conflicts of Interest
References
- Piegl, L.; Tiller, W. The NURBS Book, 2nd ed.; Springer: New York, NY, USA, 1997; pp. 340–348. [Google Scholar]
- Li, J.G.; Zhu, C.G. Curve and surface construction based on the generalized toric-Bernstein basis functions. Open Math. 2020, 18, 36–56. [Google Scholar] [CrossRef]
- Hu, G.; Wu, J.L. Generalized quartic H-Bézier curves: Construction and application to developable surfaces. Adv. Eng. Soft. 2019, 138, 102723. [Google Scholar] [CrossRef]
- Hu, G.; Cao, H.X.; Zhang, S.X.; Wei, G. Developable Bézier-like surfaces with multiple shape parameters and its continuity conditions. Appl. Math. Model. 2017, 45, 728–747. [Google Scholar] [CrossRef]
- Hu, G.; Zhang, G.; Wu, J.L.; Qin, X.Q. A novel extension of the Bézier model and its applications to surface modeling. Adv. Eng. Soft. 2018, 125, 27–54. [Google Scholar] [CrossRef]
- Meek, D.S.; Walton, D.J. Geometric Hermite interpolation with Tschirnhausen cubics. J. Comput. Appl. Math. 1997, 81, 299–309. [Google Scholar] [CrossRef]
- Pelosi, F.; Farouki, R.T.; Manni, C.; Sestini, A. Geometric Hermite interpolation by spatial Pythagorean-hodograph cubics. Adv. Comput. Math. 2005, 22, 325–352. [Google Scholar] [CrossRef]
- Ait-Haddou, R.; Bartoň, M. Constrained multi-degree reduction with respect to Jacobi norms. Comput. Aided Geom. Des. 2016, 42, 23–30. [Google Scholar] [CrossRef]
- Pottmann, H. The geometry of Tchebycheffian spines. Comput. Aided Geom. Des. 1993, 10, 181–210. [Google Scholar] [CrossRef]
- Li, Y.J.; Wang, G.Z. Two kinds of B-basis of the algebraic hyperbolic space. J. Zhejiang Univ. Sci. A 2005, 6, 750–759. [Google Scholar]
- Wang, G.Z.; Yang, Q.M. Planar cubic hybrid hyperbolic polynomial curve and its shape classification. Prog. Nat. Sci. 2004, 14, 41–46. [Google Scholar] [CrossRef]
- Qian, J.; Tang, Y. The application of H-Bézier-like curves in engineering. J. Numer. Methods Comput. Appl. 2007, 28, 167–178. [Google Scholar]
- Fan, F.T.; Wang, G.Z. Conversion matrix between two bases of the algebraic hyperbolic space. J. Zhejiang Univ. Sci. A 2006, 7, 181–186. [Google Scholar] [CrossRef]
- Wu, R. Shape analysis of planar cubic H-Bézier curve. Acta Math. Appl. Sin. 2007, 30, 816–821. [Google Scholar]
- Zhao, H.Y.; Wang, G.J. Shape control of cubic H-Bézier curve by moving control point. J. Inform. Comput. Sci. 2007, 4, 871–878. [Google Scholar]
- Wang, Y.; Tan, J.; Li, Z. Multidegree reduction approximation of H-Bézier curves. J. Comput. Aided Des. Comput. Graph. 2011, 23, 1838–1842. [Google Scholar]
- Qin, X.Q.; Hu, G.; Yang, Y.; Wei, G. Construction of PH splines based on H-Bézier curves. Appl. Math. Comput. 2014, 238, 460–467. [Google Scholar] [CrossRef]
- Lee, R.; Ahn, Y.J. Limit curve of H-Bézier curves and rational Bézier curves in standard form with the same weight. J. Comput. Appl. Math. 2015, 281, 1–9. [Google Scholar] [CrossRef]
- Cao, H.; Hu, G.; Wei, G.; Zhang, S. Offset approximation of hybrid hyperbolic polynomial curves. Results Math. 2017, 72, 1055–1071. [Google Scholar] [CrossRef]
- Huang, Y.; Wang, G.Z. An orthogonal basis for the hyperbolic hybrid polynomial space. Sci. China Ser. Inform. Sci. 2007, 50, 21–28. [Google Scholar] [CrossRef]
- Zhang, J.W.; Krause, F.L.; Zhang, H.Y. Unifying C-curves and H-curves by extending the calculation to complex numbers. Comput. Aided Geom. Des. 2005, 22, 865–883. [Google Scholar] [CrossRef]
- Hu, G.; Wu, J.L.; Qin, X.Q. A new approach in designing of local controlled developable H-Bézier surfaces. Adv. Eng. Soft. 2018, 121, 26–38. [Google Scholar] [CrossRef]
- Wang, G.J.; Wang, G.Z.; Zheng, J.M. Computer Aided Geometric Design; Springer–Higher Education Press: Beijing, China, 2001. [Google Scholar]
- Hu, G.; Bo, C.; Qin, X. Continuity conditions for tensor product Q-Bézier surfaces of degree (m, n). Comp. Appl. Math. 2018, 37, 4237–4258. [Google Scholar] [CrossRef]
- Hu, G.; Bo, C.; Wu, J.; Wei, G.; Hou, F. Modeling of free-form complex curves using SG-Bézier curves with constraints of geometric continuities. Symmetry 2018, 10, 545. [Google Scholar] [CrossRef]
- Hu, G.; Bo, C.C.; Wei, G.; Qin, X.Q. Shape-adjustable generalized Bézier Surfaces: Construction and its geometric continuity conditions. Appl. Math Comput. 2020, 378, 125215. [Google Scholar]
















© 2020 by the authors. Licensee MDPI, Basel, Switzerland. This article is an open access article distributed under the terms and conditions of the Creative Commons Attribution (CC BY) license (http://creativecommons.org/licenses/by/4.0/).
Share and Cite
Li, F.; Hu, G.; Abbas, M.; Miura, K.T. The Generalized H-Bézier Model: Geometric Continuity Conditions and Applications to Curve and Surface Modeling. Mathematics 2020, 8, 924. https://doi.org/10.3390/math8060924
Li F, Hu G, Abbas M, Miura KT. The Generalized H-Bézier Model: Geometric Continuity Conditions and Applications to Curve and Surface Modeling. Mathematics. 2020; 8(6):924. https://doi.org/10.3390/math8060924
Chicago/Turabian StyleLi, Fenhong, Gang Hu, Muhammad Abbas, and Kenjiro T. Miura. 2020. "The Generalized H-Bézier Model: Geometric Continuity Conditions and Applications to Curve and Surface Modeling" Mathematics 8, no. 6: 924. https://doi.org/10.3390/math8060924
APA StyleLi, F., Hu, G., Abbas, M., & Miura, K. T. (2020). The Generalized H-Bézier Model: Geometric Continuity Conditions and Applications to Curve and Surface Modeling. Mathematics, 8(6), 924. https://doi.org/10.3390/math8060924

