A Geometry-Based Guidance Law to Control Impact Time and Angle under Variable Speeds
Abstract
1. Introduction
1.1. Background
1.2. Our Results
- (1)
- Different from guidance laws with implicit trajectories based on time-domain control, this paper introduces Bezier curves to design trajectories that explicitly satisfy the impact time and angle constraints. The estimation of time-to-go does not involve linear approximations; hence, the precision of impact time control is improved compared with that of [5]. To ensure that the UAV is capable of flying along the obtained trajectory, an acceleration limit is considered by restricting the maximum curvature of the trajectory. Some other ITACG laws such as [6] may not fully consider this factor.
- (2)
- The time-varying speed is considered in the guidance law design, while the existing ITACG laws, such as those in [5,6,7,8,9,10,11,12,13,14,15], did not consider this practical factor that greatly affects the actual flight. Moreover, compared with other ITACG laws, the proposed law provides an impact time range according to the given conditions before launch, which enhances cooperation among UAVs by controlling the impact time.
2. Guidance Problem Statement
3. Guidance Law Design
3.1. Trajectory Generation
- Property 1: Given a quadratic Bezier curve with end points and and control point C, it can be derived that and .
- Property 2: Given a quadratic Bezier curve with end points and and control point C, it can be derived that line is tangent to this Bezier curve at point ; likewise, line is tangent to the Bezier curve at point .
3.2. Trajectory Curvature Analysis
3.3. Impact Time Analysis
| Algorithm 1 Trajectory generation process to satisfy the impact time and angle constraints |
3.4. Guidance Law Design Using Inverse Dynamics
4. Simulation and Results
4.1. Case 1: Single Flight under Constant Speed
4.2. Case 2: Single Flight under Time-Varying Speed
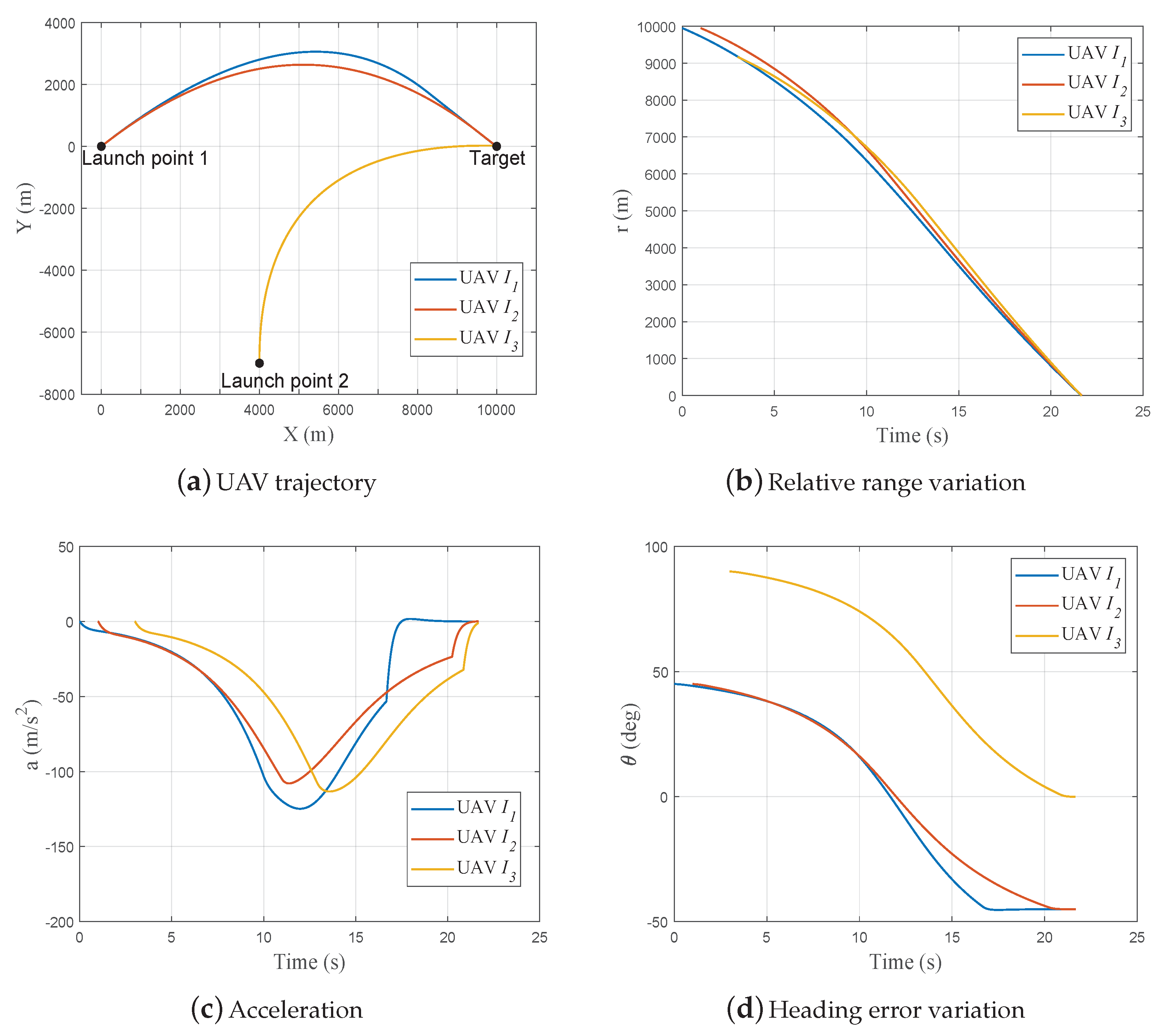
4.3. Case 3: Simultaneous Arrival under Time-Varying Speed
5. Conclusions
Author Contributions
Funding
Acknowledgments
Conflicts of Interest
Appendix A
- (1)
- Set iteration number , and as initialization.
- (2)
- Assign a value to according to the flight distance profile. Calculate the curve parameter corresponding to the current time t at iteration i.
- (3)
- Update time . Repeat steps 2 and 3 until reaches its upper bound value 1.
References
- Leondes, C.T. Guidance and Control of Aerospace Vehicles; McGraw-Hill: New York, NY, USA, 1963. [Google Scholar]
- Lawrence, A. Modern Inertial Technology: Navigation, Guidance, and Control; Springer Science & Business Media: Berlin/Heidelberg, Germany, 2012. [Google Scholar]
- Sun, W.; Liu, X.; Zheng, Z. Survey on the developments on the guidance law with impact angular constraints. Flt. Dyn. 2010, 28, 1–5. [Google Scholar]
- Chen, K.; Guo, Y.; Wang, S.C.; Xia, F. A survey on guidance law with impact time constraint. In Proceedings of the 35th Chinese Control Conference, Chengdu, China, 27–29 July 2016; IEEE: Piscataway, NJ, USA, 2016; pp. 5711–5715. [Google Scholar]
- Lee, J.I.; Jeon, I.S.; Tahk, M.J. Guidance law to control impact time and angle. IEEE Trans. Aerosp. Electron. Syst. 2007, 43, 301–310. [Google Scholar]
- Harl, N.; Balakrishnan, S. Impact time and angle guidance with sliding mode control. IEEE Trans. Control Syst. Technol. 2012, 20, 1436–1449. [Google Scholar] [CrossRef]
- Lee, C.H.; Kim, T.H.; Tahk, M.J.; Whang, I.H. Polynomial guidance laws considering terminal impact angle and acceleration constraints. IEEE Trans. Aerosp. Electron. Syst. 2013, 49, 74–92. [Google Scholar] [CrossRef]
- Kim, T.H.; Lee, C.H.; Jeon, I.S.; Tahk, M.J. Augmented polynomial guidance with impact time and angle constraints. IEEE Trans. Aerosp. Electron. Syst. 2013, 49, 2806–2817. [Google Scholar] [CrossRef]
- Zhang, Y.; Ma, G.; Liu, A. Guidance law with impact time and impact angle constraints. Chin. J. Aeronaut. 2013, 26, 960–966. [Google Scholar] [CrossRef]
- Zhao, Y.; Sheng, Y.; Liu, X. Analytical impact time and angle guidance via time-varying sliding mode technique. ISA Trans. 2016, 62, 164–176. [Google Scholar] [CrossRef]
- Livermore, R.; Shima, T. Deviated Pure-Pursuit-Based Optimal Guidance Law for Imposing Intercept Time and Angle. J. Guid. Control Dyn. 2018, 41, 1–8. [Google Scholar] [CrossRef]
- Chen, X.; Wang, J. Optimal control based guidance law to control both impact time and impact angle. Aerosp. Sci. Technol. 2019, 84, 454–463. [Google Scholar] [CrossRef]
- Chen, X.; Wang, J. Two-stage guidance law with impact time and angle constraints. Nonlinear Dyn. 2019, 95, 2575–2590. [Google Scholar] [CrossRef]
- Kang, S.; Tekin, R.; Holzapfel, F. Generalized impact time and angle control via look-angle shaping. J. Guid. Control Dyn. 2019, 42, 695–702. [Google Scholar] [CrossRef]
- Liu, X.; Li, G. Adaptive Sliding Mode Guidance With Impact Time and Angle Constraints. IEEE Access 2020, 8, 26926–26932. [Google Scholar] [CrossRef]
- Dhananjay, N.; Ghose, D. Accurate time-to-go estimation for proportional navigation guidance. J. Guid. Control Dyn. 2014, 37, 1378–1383. [Google Scholar] [CrossRef]
- Jeon, I.S.; Lee, J.I.; Tahk, M.J. Homing guidance law for cooperative attack of multiple missiles. J. Guid. Control Dyn. 2010, 33, 275–280. [Google Scholar] [CrossRef]
- Manchester, I.R.; Savkin, A.V. Circular-navigation-guidance law for precision missile/target engagements. J. Guid. Control Dyn. 2006, 29, 314–320. [Google Scholar] [CrossRef]
- Pharpatara, P.; Hérissé, B.; Pepy, R.; Bestaoui, Y. Sampling-based path planning: A new tool for missile guidance. IFAC Proc. Vol. 2013, 46, 131–136. [Google Scholar] [CrossRef]
- Fowler, L.; Rogers, J. Bezier curve path planning for parafoil terminal guidance. J. Aerosp. Inf. Syst. 2014, 11, 300–315. [Google Scholar] [CrossRef]
- Qin, Z.; Qi, X.; Fu, Y. Terminal guidance based on Bézier curve for climb-and-dive maneuvering trajectory with impact angle constraint. IEEE Access 2018, 7, 2969–2977. [Google Scholar] [CrossRef]
- Yakimenko, O.A. Direct method for rapid prototyping of near-optimal aircraft trajectories. J. Guid. Control Dyn. 2000, 23, 865–875. [Google Scholar] [CrossRef]
- Raymond, E.T.; Chenoweth, C.C. Aircraft Flight Control Actuation System Design; Society of Automotive Engineers: Warrendale, PA, USA, 1993; Volume 123. [Google Scholar]
- McLean, D. Automatic Flight Control Systems; Prentice Hall: Upper Saddle River, NJ, USA, 1990. [Google Scholar]
- Davidovitz, A.; Shinar, J. Two-target game model of an air combat with fire-and-forget all-aspect missiles. J. Optim. Theory Appl. 1989, 63, 133–165. [Google Scholar] [CrossRef]
- Alkaher, D.; Moshaiov, A. Dynamic-escape-zone to avoid energy-bleeding coasting missile. J. Guid. Control Dyn. 2015, 38, 1908–1921. [Google Scholar] [CrossRef]
- Marsh, D. Applied Geometry for Computer Graphics and CAD; Springer Science & Business Media: Berlin/Heidelberg, Germany, 2006. [Google Scholar]
- Greco, O.; Martino, I. Syzygies of the Veronese modules. Commun. Algebra 2016, 44, 3890–3906. [Google Scholar] [CrossRef][Green Version]
- Greco, O.; Martino, I. Cohen-Macaulay Property and Linearity of Pinched Veronese Rings. J. Commut. Algebra 2020, in press euclid:1552464033. [Google Scholar]
- Sapidis, N.S.; Frey, W.H. Controlling the curvature of a quadratic Bézier curve. Comput. Aided Geom. Des. 1992, 9, 85–91. [Google Scholar] [CrossRef]












| UAV | Launch Position (m) | Initial Heading Angle (deg) | Desired Impact Angle (deg) | Target Position (m) |
|---|---|---|---|---|
| (0,0) | 45 | −45 | (10,000,0) | |
| (0,0) | 45 | −45 | (10,000,0) | |
| (4000,−7000) | 90 | 0 | (10,000,0) |
| UAV | Launch Position (m) | Initial Heading Angle (deg) | Desired Impact Angle (deg) | Target Position (m) |
|---|---|---|---|---|
| (0,0) | 45 | −45 | (10,000,0) | |
| (0,0) | 45 | −45 | (10,000,0) | |
| (0,0) | 40.60 | −49.40 | (9219.5,0) |
| UAV | (s) | (s) |
|---|---|---|
| 20.51 | 24.01 | |
| 21.51 | 25.01 | |
| 21.67 | 24.43 | |
| Intersection | ||
© 2020 by the authors. Licensee MDPI, Basel, Switzerland. This article is an open access article distributed under the terms and conditions of the Creative Commons Attribution (CC BY) license (http://creativecommons.org/licenses/by/4.0/).
Share and Cite
Yan, X.; Kuang, M.; Zhu, J. A Geometry-Based Guidance Law to Control Impact Time and Angle under Variable Speeds. Mathematics 2020, 8, 1029. https://doi.org/10.3390/math8061029
Yan X, Kuang M, Zhu J. A Geometry-Based Guidance Law to Control Impact Time and Angle under Variable Speeds. Mathematics. 2020; 8(6):1029. https://doi.org/10.3390/math8061029
Chicago/Turabian StyleYan, Xinghui, Minchi Kuang, and Jihong Zhu. 2020. "A Geometry-Based Guidance Law to Control Impact Time and Angle under Variable Speeds" Mathematics 8, no. 6: 1029. https://doi.org/10.3390/math8061029
APA StyleYan, X., Kuang, M., & Zhu, J. (2020). A Geometry-Based Guidance Law to Control Impact Time and Angle under Variable Speeds. Mathematics, 8(6), 1029. https://doi.org/10.3390/math8061029

