Algorithmic Analysis of Vesselness and Blobness for Detecting Retinopathies Based on Fractional Gaussian Filters
Abstract
1. Introduction
2. Background
3. Materials and Methods
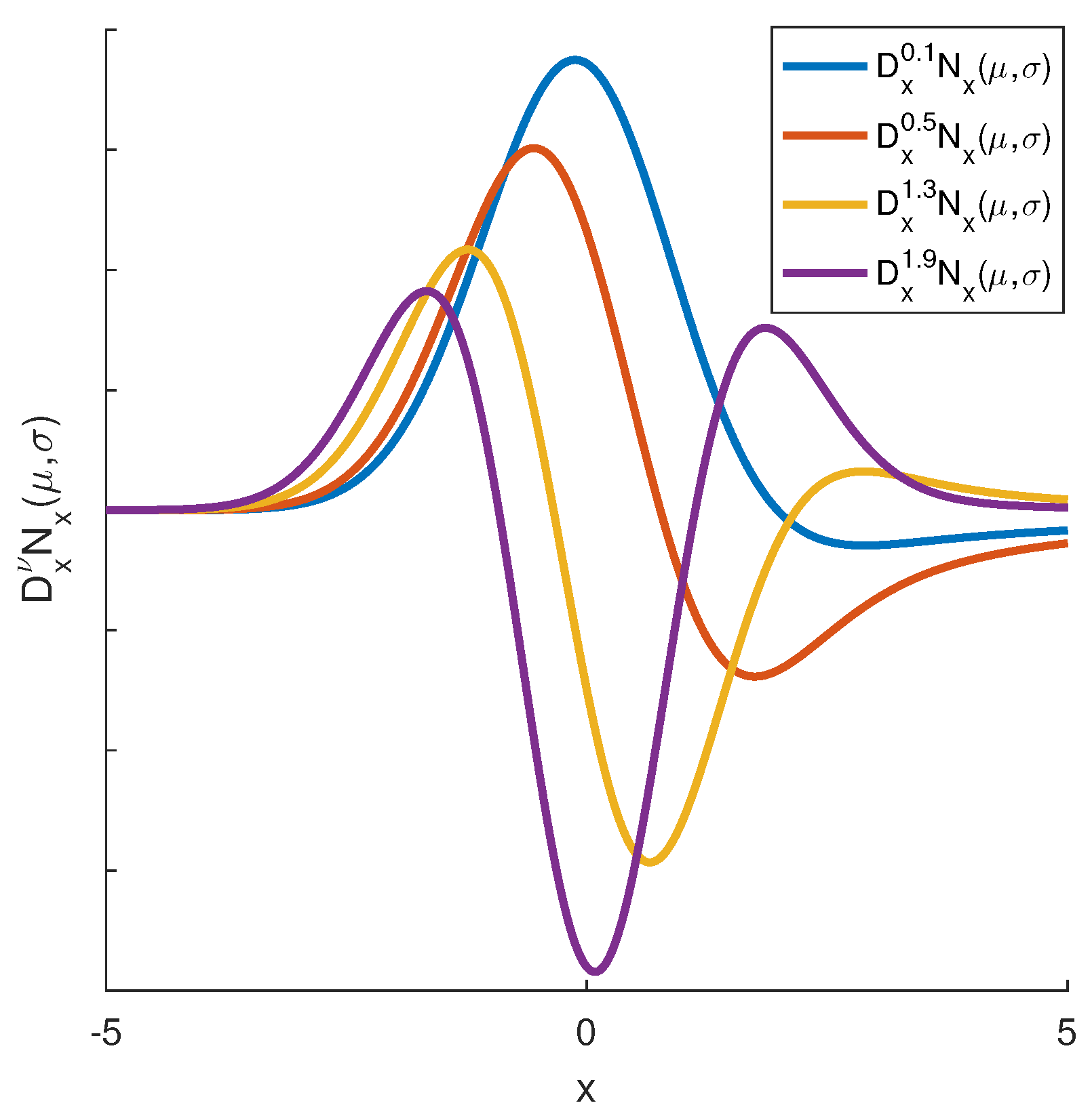
3.1. Fractional Order Gaussian Filters
3.1.1. Model Parameters Selection
3.1.2. Differential Evolution (DE) Algorithm
3.1.3. Objective Function
3.2. Kittler Thresholding Method
3.3. Blood Vessels and Fovea Correction
3.3.1. Fovea Detection
3.3.2. Blood Vessels Detection
3.4. Candidate Lesion Classification
4. Numerical Results
5. Conclusions
Author Contributions
Funding
Acknowledgments
Conflicts of Interest
Abbreviations
| DE | Differential Evolution |
| SVM | Support Vector Machines |
| MESSIDOR | Methods for Evaluating Segmentation and Indexing Techniques Dedicated to |
| Retinal Ophthalmology | |
| DR | Diabetic Retinopathy |
| AVR | Arteriovenous Ratio |
| kNN | k-Nearest Neighbors |
| KDE | Kernel Density Estimation |
| CIE-LAB | Commission Internationale d’Éclairage |
| FOGF | Fractional Order Gaussian Filter |
| FI | Fundus Images |
| OD | Optic Disk |
| FOV | Field of View |
| NeoVascularization | |
| H | retinal Hemorrhages |
| MicroAneurysm | |
| MER | Macula Edema Risk |
| RD | Retinopathy Degree |
| MaCula to Exudate distance | |
| DoG | Difference of Gaussian filters |
| Normal Gaussian Distribution | |
| -th Fractional Derivative of | |
| Positive Integers and zero | |
| A point x in the domain of where the function is minimized | |
| Opening of by a structuring element s | |
| Dilation of by a structuring element s | |
| Erosion of by a structuring element s | |
| Closing of by a structuring element s |
References
- Zheng, Y.; He, M.; Congdon, N. The worldwide epidemic of diabetic retinopathy. Indian J. Ophthalmol. 2012, 60, 428–431. [Google Scholar] [CrossRef] [PubMed]
- Ting, D.S.W.; Cheung, G.C.M.; Wong, T.Y. Diabetic retinopathy: Global prevalence, major risk factors, screening practices and public health challenges: A review. Clin. Exp. Ophthalmol. 2016, 44, 260–277. [Google Scholar] [CrossRef]
- Carrillo-Alarcón, L.C.; López-López, E.; Hernández-Aguilar, C.; Martínez-Cervantes, J.A. Prevalencia de retinopatía diabética en pacientes con diabetes mellitus tipo 2 en Hidalgo, México. Rev. Mex. De Oftalmol. 2011, 85, 125–178. [Google Scholar]
- Prado-Serrano, A.; Guido-Jiménez, M.A.; Camas-Benítez, J.T. Prevalencia de retinopatía diabética en población mexicana. Rev. Mex. De Oftalmol. 2009, 83, 261–266. [Google Scholar]
- Torpy, J.M.; Glass, T.J.; Glass, R.M. Retinopathy. JAMA 2007, 298, 944. [Google Scholar] [CrossRef] [PubMed]
- Morales, Y.; Nuñez, R.; Suarez, J.; Torres, C. Digital tool for detecting diabetic retinopathy in retinography image using gabor transform. J. Phys. Conf. Ser. 2017, 792, 012083. [Google Scholar] [CrossRef]
- Foguet, Q.; Rodríguez, A.; Saez, M.; Ubieto, A.; Beltrán, M.; Barceló, M.A.; Coll, G. Usefulness of Optic Fundus Examination with Retinography in Initial Evaluation of Hypertensive Patients. Am. J. Hypertens. 2008, 21, 400–405. [Google Scholar] [CrossRef]
- Malerbi, F.K.; Morales, P.H.; Farah, M.E.; Drummond, K.R.G.; Mattos, T.C.L.; Pinheiro, A.A.; Mallmann, F.; Perez, R.V.; Leal, F.S.L.; Gomes, M.B.; et al. Comparison between binocular indirect ophthalmoscopy and digital retinography for diabetic retinopathy screening: The multicenter Brazilian Type 1 Diabetes Study. Diabetol. Metab. Syndr. 2015, 7, 116. [Google Scholar] [CrossRef]
- Mansoof, A.; Khan, Z.; Khan, A.; Khan, S. Enhancement of exudates for the diagnosis of diabetic retinopathy using fuzzy morphology. In Proceedings of the IEEE INMIC 2008: 12th IEEE International Multitopic Conference, Karachi, Pakistan, 23–24 December 2008; pp. 128–131. [Google Scholar] [CrossRef]
- Narasimhan, K.; Neha, V.; Vijayarekha, K. Hypertensive retinopathy diagnosis from fundus images by estimation of AVR. Procedia Eng. 2012, 38, 980–993. [Google Scholar] [CrossRef]
- El-abbadi, N.K.; Hammod Al-saddi, E. Automatic Early Diagnosis of Diabetic Retinopathy Using Retina Fundus Images. Eur. Acad. Res. 2014, 2, 11397–11418. [Google Scholar]
- Mamilla, R.; Ede, V.; Bhima, P. Extraction of Microaneurysms and Hemorrhages from Digital Retinal Images. J. Med. Biol. Eng. 2017, 37, 395–408. [Google Scholar] [CrossRef]
- Rahim, S.S.; Jayne, C.; Palade, V.; Shuttleworth, J. Automatic Detection of Microaneurysms in Colour Fundus Images for Diabetic Retinopathy Screening. Neural Comput. Appl. 2016, 27, 1149–1164. [Google Scholar] [CrossRef]
- Jiménez, S.; Alemany, P.; nez Benjumea, F.N.; Serrano, C.; Acha, B.; Fondón, I.; Carral, F.; Sánchez, C. Automatic detection of microaneurysms in colour fundus images. Arch. De La Soc. Espa Nola De Oftalmol. (English Ed.) 2011, 86, 277–281. [Google Scholar] [CrossRef] [PubMed][Green Version]
- Walter, T.; Massin, P.; Erginay, A.; Ordonez, R.; Jeulin, C.; Klein, J.C. Automatic detection of microaneurysms in color fundus images. Med. Image Anal. 2007, 11, 555–566. [Google Scholar] [CrossRef] [PubMed]
- Navarro, P.J.; Alonso, D.; Stathis, K. Automatic detection of microaneurysms in diabetic retinopathy fundus images using the L*a*b* color space. J. Opt. Soc. Am. A 2016, 33, 74–83. [Google Scholar] [CrossRef] [PubMed]
- Hervella, Á.; Rouco, J.; Novo, J.; Ortega, M. Learning the retinal anatomy from scarce annotated data using self-supervised multimodal reconstruction. Appl. Soft Comput. J. 2020, 91, 106210. [Google Scholar] [CrossRef]
- Heringa, S.; Bouvy, W.; Van Den Berg, E.; Moll, A.; Jaap Kappelle, L.; Jan Biessels, G. Associations between retinal microvascular changes and dementia, cognitive functioning, and brain imaging abnormalities: A systematic review. J. Cereb. Blood Flow Metab. 2013, 33, 983–995. [Google Scholar] [CrossRef]
- Moreno-Ramos, T.; Benito-León, J.; Villarejo-Galende, A.; Bermejo-Pareja, F. Retinal Nerve Fiber Layer Thinning in Dementia Associated with Parkinson’s Disease, Dementia with Lewy Bodies, and Alzheimer’s Disease. J. Alzheimer’s Dis. JAD 2012, 34, 659–664. [Google Scholar] [CrossRef]
- Liao, H.; Zhu, Z.; Peng, Y. Potential Utility of Retinal Imaging for Alzheimer’s Disease: A Review. Front. Aging Neurosci. 2018, 10, 188. [Google Scholar] [CrossRef]
- Pillai, J.A.; Bermel, R.; Bonner-Jackson, A.; Rae-Grant, A.; Fernandez, H.; Bena, J.; Jones, S.E.; Ehlers, J.P.; Leverenz, J.B. Retinal Nerve Fiber Layer Thinning in Alzheimer’s Disease: A Case-Control Study in Comparison to Normal Aging, Parkinson’s Disease, and Non-Alzheimer’s Dementia. Am. J. Alzheimer’s Dis. Other Dementias 2016, 31, 430–436. [Google Scholar] [CrossRef]
- Colligris, P.; Perez-de-Lara, M.J.; Colligris, B.; Pintor, J. Ocular Manifestations of Alzheimer’s and Other Neurodegenerative Diseases: The Prospect of the Eye as a Tool for the Early Diagnosis of Alzheimer’s Disease. J. Ophthalmol. 2018, 2018, 1–12. [Google Scholar] [CrossRef] [PubMed]
- Chiang, H.H.; Hemmati, H.D.; Scott, I.U.; Fekrat, S. Treatment of Corneal Neovascularization. Ophthalmic Pearls CORNEA EYENET 2013, 1, 35–36. [Google Scholar] [CrossRef]
- Friedenwald, H. Hemorrhage into the retina and vitreous in young persons associated with evident disease of the retinal veins.: Remarks on the formation of vessels in the vitreous and on the migration of a subhyaloid hemorrhage. J. Am. Med. Assoc. 1895, XXV, 711–715. [Google Scholar] [CrossRef]
- Decencière, E.; Zhang, X.; Cazuguel, G.; Lay, B.; Cochener, B.; Trone, C.; Gain, P.; Ordonez, R.; Massin, P.; Erginay, A.; et al. Feedback on a Publicly Distributed Image Database: The MESSIDOR Database. Image Anal. Stereol. 2014, 33, 231–234. [Google Scholar] [CrossRef]
- Ren, F.; Cao, P.; Zhao, D.; Wan, C. Diabetic macular edema grading in retinal images using vector quantization and semi-supervised learning. Technol. Health Care 2018, 26, S389–S397. [Google Scholar] [CrossRef]
- Habib, M.; Welikala, R.; Hoppe, A.; Owen, C.; Rudnicka, A.; Barman, S. Microaneurysm detection in retinal images using an ensemble classifier. In Proceedings of the 2016 Sixth International Conference on Image Processing Theory, Tools and Applications, IPTA, Oulu, Finland, 12–15 December 2016; pp. 1–6. [Google Scholar] [CrossRef]
- Habib, M.; Welikala, R.; Hoppe, A.; Owen, C.; Rudnicka, A.; Barman, S. Detection of microaneurysms in retinal images using an ensemble classifier. Inform. Med. Unlocked 2017, 9, 44–57. [Google Scholar] [CrossRef]
- Aguirre-Ramos, H.; Avina-Cervantes, J.; Cruz-Aceves, I.; Ruiz-Pinales, J.; Ledesma, S. Blood vessel segmentation in retinal fundus images using Gabor filters, fractional derivatives, and Expectation Maximization. Appl. Math. Comput. 2018, 339, 568–587. [Google Scholar] [CrossRef]
- Aguirre-Ramos, H.; Avina-Cervantes, J.G.; Ilunga-Mbuyamba, E.; Cruz-Duarte, J.M.; Cruz-Aceves, I.; Gallegos-Arellano, E. Conic sections fitting in disperse data using Differential Evolution. Appl. Soft Comput. 2019, 85, 105769. [Google Scholar] [CrossRef]
- Chen, W.; Sun, H.; Zhang, X.; Koroŝak, D. Anomalous diffusion modeling by fractal and fractional derivatives. Comput. Math. Appl. 2010, 59, 1754–1758. [Google Scholar] [CrossRef]
- Li, B.; Xie, W. Image enhancement and denoising algorithms based on adaptive fractional differential and integral. Syst. Eng. Electron. 2016, 38, 185–192. [Google Scholar] [CrossRef]
- Jalab, H.; Ibrahim, R. Fractional Alexander polynomials for image denoising. Signal Process. 2015, 107, 340–354. [Google Scholar] [CrossRef]
- Hu, F.; Si, S.; Wong, H.S.; Fu, B.; Si, M.; Luo, H. An adaptive approach for texture enhancement based on a fractional differential operator with non-integer step and order. Neurocomputing 2015, 158, 295–306. [Google Scholar] [CrossRef]
- Srivastava, H.M.; Saxena, R.K. Operators of Fractional Integration and Their Applications. Appl. Math. Comput. 2001, 118, 1–52. [Google Scholar] [CrossRef]
- Baleanu, D.; Mousalou, A.; Rezapour, S. The extended fractional Caputo–Fabrizio derivative of order 0 ≤ σ <1 on [0,1] and the existence of solutions for two higher-order series-type differential equations. Adv. Differ. Equ. 2018, 2018, 255. [Google Scholar] [CrossRef]
- Scherer, R.; Kalla, S.L.; Tang, Y.; Huang, J. The Grünwald-Letnikov method for fractional differential equations. Comput. Math. Appl. 2011, 62, 902–917. [Google Scholar] [CrossRef]
- Ferrari, F. Weyl and Marchaud Derivatives: A Forgotten History. Mathematics 2018, 6, 6. [Google Scholar] [CrossRef]
- Garra, R.; Orsingher, E.; Polito, F. A Note on Hadamard Fractional Differential Equations with Varying Coefficients and Their Applications in Probability. Mathematics 2018, 6, 4. [Google Scholar] [CrossRef]
- Chen, Y.Q.; Moore, K.L. Discretization schemes for fractional-order differentiators and integrators. IEEE Trans. Circuits Syst. I Fundam. Theory Appl. 2002, 49, 363–367. [Google Scholar] [CrossRef]
- Rafeiro, H.; Yakhshiboev, M. The Chen-Marchaud fractional integro-differentiation in the variable exponent Lebesgue spaces. Fract. Calc. Appl. Anal. 2011, 14, 343–360. [Google Scholar] [CrossRef]
- Kumar, S.; Singh, K.; Saxena, R. Closed-form analytical expression of fractional order differentiation in fractional fourier transform domain. Circuits Syst. Signal Process. 2013, 32, 1875–1889. [Google Scholar] [CrossRef]
- De Oliveira, E.C.; Tenreiro-Machado, J.A. A review of definitions for fractional derivatives and integral. Math. Probl. Eng. 2014, 2014, 238459. [Google Scholar] [CrossRef]
- Tseng, C.C.; Pei, S.C.; Hsia, S.C. Computation of fractional derivatives using Fourier transform and digital FIR differentiator. Signal Process. 2000, 80, 151–159. [Google Scholar] [CrossRef]
- Yang, Q.; Chen, D.; Zhao, T.; Chen, Y. Fractional calculus in image processing: A review. Fract. Calc. Appl. Anal. 2016, 19, 1222–1249. [Google Scholar] [CrossRef]
- Storn, R.; Price, K. Differential Evolution–A Simple and Efficient Heuristic for Global Optimization over Continuous Spaces. J. Glob. Optim. 1997, 11, 341–359. [Google Scholar] [CrossRef]
- Chen, D.; Chen, Y.; Xue, D. 1-D and 2-D digital fractional-order Savitzky–Golay differentiator. Signal Image Video Process. 2012, 6, 503–511. [Google Scholar] [CrossRef]
- Kittler, J.; Illingworth, J. Minimum error thresholding. Pattern Recognit. 1986, 19, 41–47. [Google Scholar] [CrossRef]
- Frangi, A.F.; Niessen, W.J.; Vincken, K.L.; Viergever, M.A. Multiscale vessel enhancement filtering. In Medical Image Computing and Computer-Assisted Intervention— MICCAI’98; Wells, W.M., Colchester, A., Delp, S., Eds.; Springer: Berlin/Heidelberg, Germany, 1998; Volume 1496, pp. 130–137. [Google Scholar]
- Hossin, M.S.M. A Review on Evaluation Metrics for Data Classification Evaluations. Int. J. Data Min. Knowl. Manag. Process 2015, 5, 1–11. [Google Scholar] [CrossRef]












| Level | Retinopathy Degree (RD) | Macular Edema Risk (MER) |
|---|---|---|
| 0 | Non-visible exudates | |
| 1 | ||
| 2 | ||
| 3 | – |
| Metric | Binary | Output Value |
|---|---|---|
| Description | Metric | (Avg. ± St. Dev.) |
| Accuracy | Acc | 0.9995 ± 0.0004 |
| Balanced Accuracy | BAcc | 0.8909 ± 0.0927 |
| Sensitivity | Sen | 0.7820 ± 0.1853 |
| Specificity | Spe | 0.9998 ± 0.0001 |
| Computing Time | 15.4170 ± 2.7757 [s] |
© 2020 by the authors. Licensee MDPI, Basel, Switzerland. This article is an open access article distributed under the terms and conditions of the Creative Commons Attribution (CC BY) license (http://creativecommons.org/licenses/by/4.0/).
Share and Cite
Estudillo-Ayala, M.d.J.; Aguirre-Ramos, H.; Avina-Cervantes, J.G.; Cruz-Duarte, J.M.; Cruz-Aceves, I.; Ruiz-Pinales, J. Algorithmic Analysis of Vesselness and Blobness for Detecting Retinopathies Based on Fractional Gaussian Filters. Mathematics 2020, 8, 744. https://doi.org/10.3390/math8050744
Estudillo-Ayala MdJ, Aguirre-Ramos H, Avina-Cervantes JG, Cruz-Duarte JM, Cruz-Aceves I, Ruiz-Pinales J. Algorithmic Analysis of Vesselness and Blobness for Detecting Retinopathies Based on Fractional Gaussian Filters. Mathematics. 2020; 8(5):744. https://doi.org/10.3390/math8050744
Chicago/Turabian StyleEstudillo-Ayala, Maria de Jesus, Hugo Aguirre-Ramos, Juan Gabriel Avina-Cervantes, Jorge Mario Cruz-Duarte, Ivan Cruz-Aceves, and Jose Ruiz-Pinales. 2020. "Algorithmic Analysis of Vesselness and Blobness for Detecting Retinopathies Based on Fractional Gaussian Filters" Mathematics 8, no. 5: 744. https://doi.org/10.3390/math8050744
APA StyleEstudillo-Ayala, M. d. J., Aguirre-Ramos, H., Avina-Cervantes, J. G., Cruz-Duarte, J. M., Cruz-Aceves, I., & Ruiz-Pinales, J. (2020). Algorithmic Analysis of Vesselness and Blobness for Detecting Retinopathies Based on Fractional Gaussian Filters. Mathematics, 8(5), 744. https://doi.org/10.3390/math8050744

