Abstract
A novel method for measuring distances between statistical states as represented by probability distribution functions (PDF) has been proposed, namely the information length. The information length enables the computation of the total number of statistically different states that a system evolves through in time. Anomalous transport can presumably be modeled fractional velocity derivatives and Langevin dynamics in a Fractional Fokker–Planck (FFP) approach. The numerical solutions or PDFs are found for varying degree of fractionality () of the stable Lévy distribution as solutions to the FFP equation. Specifically, the information length of time-dependent PDFs for a given fractional index is computed.
1. Introduction
Anomalous transport processes is ubiquitus in many different fields where a diffusive description is improper. As an example, anomalous transport may be a result from turbulent processes, e.g., super-diffusive transport properties are often found in plasmas. In the gradient region or in the scrape-off layer (SOL), the thermal and particle fluxes can be dominated by coherent structures such as (blobs) [1,2,3,4,5,6,7,8] which inherently possess a non-local character [9,10,11,12,13,14,15,16]. The fluctuations under such plasma conditions are often distributed according to Lévy statistics in contrast to the Gaussian charactistics as was displayed in [17]. The turbulence induced fluxes at the edge of the W7-AS stellarator where shown to have probability density functions (PDFs) with power law characteristics however most often it is expected that Gaussian statistics dominate, which induces exponentially decaying tails of the distributions.
Brownian motion is often a starting point in characterizing diffusion processes. In Brownian motion the mean value vanishes, on the other hand the variance or the mean square displacement grows linearly in time according to . Interestingly, there are many physical processes that deviates from a linear growth in time. These processes are often called anomalous, in mathematical terms this is whenever see for example, [18,19,20]. Here, there are in principle, two limits of interest with super- and sub-diffusive properties. The distinguishing property of a super-diffusive process is to have an whereas for a sub-diffusive process an . Lévy statistics describe super-diffusive fractal processes in terms of the Lévy index , where and , lie at the heart of complex processes such as anomalous diffusion. Note that Brownian motion is the special case where . There are several paths to generate a process exhibiting stable Lévy statistics and can be generated by random processes that are scale-invariant. A scale invariant process is obtained where no scale is dominant (e.g., there is no typical mean free path) meaning that the process will possess many scales. Geometrically, this implies that the path of a test particle, viewed at different resolutions, will look self-similar.
One of the main goals of statistical mechanics is understanding the time evolution of in and out of equilibrium systems. One possible characterization of the time dependent process is to endow a metric for the thermodynamic length [21,22,23,24,25,26] and the information length [27,28,29,30,31,32] which is a generalization of the thermodynamic length to non-equilibrium systems. This yields a mathematical framework to compare two PDFs by a distance. One of the possible choices is to use the PDFs, e.g., of a turbulent process, to construct the Fisher information metric [27,28]. Using this methodology gives a novel way to measure distance in statistical space. Here it is is important to remember that the information length methodology is path dependent in statistical space yielding an unique possibility of classification of turbulent processes.
The present paper is limited to the study of super-diffusive properties and a more detailed study of sub-diffusive dynamics is beyond this scope. Moreover, sub-diffusive dynamics have been studied previously in different context where transport is often inhibited by sticky motion, see for example [18,19]. One important case of sub-diffusion is the dynamics of holes in amorphous semiconductors, where the waiting time distribution with extended tails has been identified [33]. A generalized Langevin equation with fractional Gaussian noise has been used to describe the sub-diffusive processes within a single protein molecule by [34]. In general, anomalous diffusion phenomena have been observed in a wide variety of complex systems such as high energy plasmas, semiconductors, glassy materials, nanopores, biological cells, and epidemic proliferation.
The objective of the present paper is to explore the information length concept pertaining to time-dependent solutions of the fractional Fokker–Planck (FFP) equation resulting from a Langevin description driven by Lévy stochastic force. The present work is based on previous efforts reported in Anderson et al. [35,36,37] and may provide new insights on the recent developments in the understanding of the anomalous transport and turbulent processes. One particular example is the turbulently driven transport of charged particles in plasmas such as the super-diffusive heat transport found in JET plasmas [38] and numerically generated data of the Hasegawa–Wakatani model where the fractionality is induced by the generation of large-scale events such as zonal flows and streamer-like structures [37]. The information length may give an opportunity to identify large-scale events by a sudden change in the statistical state described by the PDFs, yielding a sudden change in information, i.e., a sharp peak in the dynamic time. Furthermore, it is known from experiments that edge localized mode severely limits the confinement of the plasma in fusion experiments and the prediction and mitigation of these modes is a high priority, thus the information length concept may give indications and even predictive capabilities of these events.
2. The Fokker–Planck and Langevin Equations
Phenomenological models pertinent for anomalous plasma transport including a fractional derivative have recently been studied [4,39,40] and in particular the properties of fractional derivatives in velocity space [35,36,38]. Fractional kinetics is a powerful tool in modeling anomalous transport processes exhibiting Lévy statistics. Fractional kinetics provides a mathematical framework and description of the non-Gaussian self-similar nature of particle displacement PDFs, as well as the anomalous scaling of moments of the distribution function. Additionally, the non-local character of the transport processeses are inherently captured by the integro-differential nature of the fractional derivative operators. As an example it can be mentioned that, the local Fourier–Fick’s law is in fractional diffusion replaced by an integral operator in which the flux at a given point in space depends globally on the whole parameter space.
A Langevin equation may be used to describe the Brownian motion of a colloidal particle of the form:
where v is the speed of the particle, is the friction, and is the white stochastic force such that . In the case of Brownian motion it is assumed that is a Gaussian stochastic force, this ultimately leads to a Maxwellian velocity distribution. The standard Fokker–Planck (FP) equation for the evolution of the distribution function can be found to be:
Here P is the distribution function, v is the velocity, F is an external force, e.g., the electromagnetic force, m is the mass, is the friction, and D is the diffusion coefficient. The model may be generalized by assuming that is a stochastic noise with the properties of a Lévy-stable process. However, the FP equation is also modified in order to accommodate for the power law tails of the distribution function of the form for a Lévy stable with fractional index [35,36]. This results in a fractional FP equation:
where and . Here, the time-dependent solution is readily found in Fourier space where the fractional Riesz operator in 1+1D can be transformed to:
where the Fourier transformed distribution function can be determined to be:
The Fourier transform is used to define the fractional Riesz derivative , see, [41] for more information. It will be seen later that the main effect of the time derivative is the introduction of a relaxation time which depends on the friction and the fractionality . Here a smaller fractional index yield a longer relaxation time. Note that estimating the parameters D, , and have to be done for the situation at hand often by experimental means such as the global scaling properties found for heat flux in the JET Tokamak [38].
3. Results
Here the information geometry and the resulting information lengths will be explored. The methodology is to consider a time-dependent PDF () for a stochastic variable x. The Fisher-Information metric can be computed when the control parameters that determines the PDF are known, yielding:
The distribution function determines the probability of the system to be in state x at time t. Th metric tensor , yield the information length [27,28,29,30] as:
The information length or distance in Equation (7) is a measure of the statistical distance between consecutive PDFs. The statistical distance can then be a measure of the time evolution of the system. Note that the information length is path dependent and proportional to the time integral of the square root of the infinitesimal relative entropy [31].
In general, the information length can be computed by finding the dynamic time unit and the total time in this unit even when we do not know control parameters that govern PDFs [27,28,29,30,31]. Here the dynamic time is the typical time-scale over which the PDF () temporally changes on average at time t and then determine the total elapsed time in units of . The dynamic time is directly linked to the second moment (as can be inferred from combining Equations (7) and (6)) and can be computed as:
in Equation (8) quantifies the correlation time over which the (dimensionless) information changes. The information length then follows [27],
The numerical solutions by inverse Fourier transform to Equation (5) is found for positive times . It should the be noted that the PDFs are non-zero, which would lead to a singularity in Equation (9).
The information length is a dimensionless quantity representing the total different number of states between the initial and final times, and , respectively. It establishes a statistical space where distances can be measured between the initial and final PDFs. An example is the Gaussian process () where statistically distinguishable states are determined by the standard deviation, which increases with the level of fluctuations. In this work, the numerical solutions to the linear FFP in Equation (3) is utilized as the continously changing PDF as time progresses. This determines a specific path in statistical space and thus ultimately leads to a linear increase in the information. However in general terms the information length between two PDFs is dependent on the path between the PDFs and can thus take an arbitrary value depending on the total number of different statistical states that a system passes through in time [27,28,29,30,31,32].
In comparison with this work Heseltine and Kim [32] compared the information length, relative entropy, and Jensen divergence, and showed that it was only the information length that captures the linear geometry of a linear Ornstein–Uhlenbeck process by a linear relation between the information length (in the long time limit) and the mean position of an initial Gaussian PDF [32]. The information length constitutes a geometric methodology to understand stochastic processes such as dynamic phase transition [29]. This study extends this to the general FFP as desribed by Anderson et al. in [35,36].
In Figure 1, the time evolution of the solutions to the FFP by the inverse Fourier transform of Equation (5) for (left) and (right) are displayed. The time evolution is also dependent of the diffusion and viscosity . A decreased diffusion results in peaked PDFs with decreased variance whereas increased diffusion has the opposite effect however the time dependency is not changed. By changing the viscosity both variance and the time evolution is changed. The information length in Equation (9) will be computed for different and the effect of D and will be discussed.
Figure 1.
The probability density function (PDF) of velocity computed by the inverse Fourier transform of Equation (5) with (A) and (B) for t = 0.5 and 50.0. The other parameters are and .
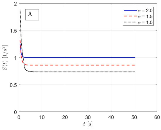
In Figure 2, the dynamic time computed by Equation (8) and the information length Equation (9) are shown for and . A convergence to a constant dynamic time in the long time limit is evident and the information length thus increases linearly with time, which is in accordance with the results found in earlier papers [32,37].

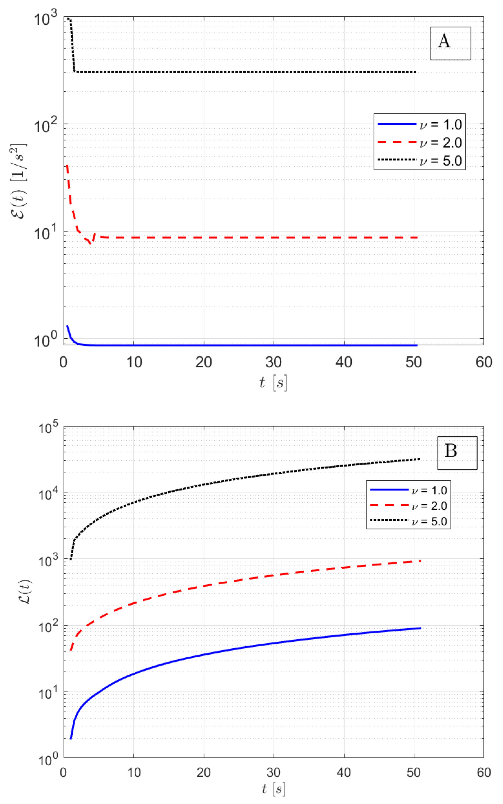
Next a discussion of the effect of viscosity on the dynamic time and the information length. In Equation (5), it can be seen that a change in viscosity changes both the time evolution and the variance of the PDF.
Figure 3, display the dynamic time (Equation (8), left) and information length (Equation (9), left) as a function of the viscosity where the other parameters are fractional index and the diffusion coefficient . Here the rapid change in the time evolution with increased viscosity is clearly visible as well as the change in the variance of the PDFs. The variance decreases with increasing in addition to a more rapid time-relaxation of the PDF is visible as a change in the instantaneous dynamic time, however the information length is still increasing linearly.
4. Summary and Conclusions
The present paper elucidates the dynamic time and information length for the solutions to the Fractional Fokker–Planck Equation. The solutions are based on previous work by Anderson et al. in [35,36]. The Fractional Fokker–Planck Equation (FFP) is a unique description of anomalous transport which is an ubiquitous phenomenon in fusion plasma dynamics and thus may give a deeper understanding in plasma transport far from equilibrium. The FFP is also mathematically interesting due to the inherent non-local nature of the solutions, thus it is a very broad and interesting topic crossing many different fields of research. The dynamic time, Equation (8) and information length, Equation (9), are novel tools in characterizing dynamical systems, in particular systems that exhibit anomalous transport. It is found that the dynamical time converge to a constant value in the long time limit thus the information length increases linearly with time. Here it is pertinent to point out that the model is in contrast to previous models due to the fractional velocity derivative and thus it is expected and also shown that the slope is rather different in comparison to Gaussian models. Furthermore, it is shown that the general linear increase of information holds in non-linear simulations, as is seen in [37], although fluctuations in the overall increase is due to a sudden generation of structures impacting the transport. However, it should be noted that the models used here are linear in time and space and thus affects the full effects of non-linearities that are not taken into account.
The current work opens up for new research on the statistical characterization of anomalous transport, in particular continuing the analysis of the experimental data obtained in the JET Tokamak, see [38], as was started with an estimation of a global scaling of heat flux where the fractional ∼0.8 was found. Further characterization of transport events and modes causing the anomalous transport in Tokamaks using the current results employing a fractional model would be of great interest. Note that the information length approach is path dependent in statistical space capturing the creation and interaction of modes and events, and thus may give a predictive capability of disastrous events that reduces confinement.
Funding
This research received no external funding.
Conflicts of Interest
The author declares no conflict of interest.
References
- Carreras, B.A.; Hidalgo, C.; Sanchez, E.; Pedrosa, M.A.; Balbin, R.; Garcia, C.I.; van Milligen, B.; Newman, D.E.; Lynch, V.E. Fluctuation-induced flux at the plasma edge in toroidal devices. Phys. Plasmas 1996, 3, 2664. [Google Scholar] [CrossRef]
- Carreras, B.A.; van Milligen, B.; Pedrosa, M.A.; Balbin, R.; Hidalgo, C.; Newman, D.E.; Sanchez, E.; McKee, G.; Garcia-Cortes, J.; Bleuel, J.; et al. Experimental evidence of long-range correlations and self-similarity in plasma fluctuations. Phys. Plasmas 1999, 6, 1885. [Google Scholar] [CrossRef]
- Van Milligen, B.P.; Sanchez, R.; Carreras, B.A.; Lynch, V.E.; LaBombard, B.; Pedrosa, M.A.; Hidalgo, C.; Gonçalves, B.; Balbín, R.; The W7-AS Team. Additional evidence for the universality of the probability distribution of turbulent fluctuations and fluxes in the scrape-off layer region of fusion plasmas. Phys. Plasmas 2005, 12, 52501–52507. [Google Scholar] [CrossRef]
- Sanchez, R.; Newman, D.E.; Leboeuf, J.N.; Decyk, V.K.; Carreras, B.A. Nature of Transport across Sheared Zonal Flows in Electrostatic Ion-Temperature-Gradient Gyrokinetic Plasma Turbulence. Phys. Rev. Lett. 2008, 101, 205002–205004. [Google Scholar] [CrossRef]
- Del-Castillo-Negrete, D.; Carreras, B.A.; Lynch, V.E. Front Dynamics in Reaction-Diffusion Systems with Levy Flights: A Fractional Diffusion Approach. Phys. Rev. Lett. 2005, 94, 18302–18304. [Google Scholar] [CrossRef]
- Sanchez, R.; Carreras, B.A.; Newman, D.E.; Lynch, V.E.; van Milligen, B.P. Renormalization of tracer turbulence leading to fractional differential equations. Phys. Rev. E 2006, 74, 16305–16311. [Google Scholar] [CrossRef]
- Hahm, T.S. Nonlinear gyrokinetic equations for tokamak microturbulence. Phys. Fluids 1988, 31, 2670–2673. [Google Scholar] [CrossRef]
- Anderson, J.; Xanthopoulos, P. Signature of a universal statistical description for drift–wave plasma turbulence. Phys. Plasmas 2010, 17, 110702. [Google Scholar] [CrossRef]
- Zweben, S.J. Search for coherent structure within tokamak plasma turbulence. Phys. Fluids 2007, 28, 974–982. [Google Scholar] [CrossRef]
- Naulin, V. Turbulent transport and the plasma edge. J. Nuclear Mater. 2007, 363–365, 24–31. [Google Scholar] [CrossRef]
- Kaye, S.M.; Barnes, C.W.; Bell, M.G.; DeBoo, J.C.; Greenwald, M.; Riedel, K.; Sigmar, D.; Uckan, N.; Waltz, N. Status of global energy confinement studies. Phys. Plasmas 1990, 2, 2926–2940. [Google Scholar]
- Cardozo, N.J.L. Perturbative transport studies in fusion plasmas. Plasma Phys. Contr. Fusion 1995, 37, 799–852. [Google Scholar] [CrossRef]
- Gentle, K.W.; Bravenec, R.V.; Cima, G.; Gasquet, H.; Hallock, G.A.; Phillips, P.E.; Ross, D.W.; Rowan, W.L.; Wootton, A.J. An experimental counter-example to the local transport paradigm. Phys. Plasmas 1995, 2, 2292–2298. [Google Scholar] [CrossRef]
- Mantica, P.; Galli, P.; Gorini, G.; Hogeweij, G.M.D.; de Kloe, J.; Cardozo, N.J.L.; RTP Team. Nonlocal transient transport and thermal barriers in rijnhuizen tokamak project plasmas. Phys. Rev. Lett. 1999, 82, 5048–5051. [Google Scholar] [CrossRef]
- Van-Milligen, B.P.; de la Luna, E.; Tabars, F.L.; Ascasíbar, E.; Estrada, T.; Castejón, F.; Castellano, J.; Cortés, I.G.; Herranz, J.; Hidalgo, C.; et al. Ballistic transport phenomena in TJ-II. Nuclear Fusion 2002, 42, 787–795. [Google Scholar] [CrossRef]
- Kim, E.; Anderson, J. Structure based statistical theory of intermittency. Phys. Plasmas 2008, 15, 114506. [Google Scholar] [CrossRef]
- Carreras, B.A.; van Milligen, B.; Hidalgo, C.; Balbin, R.; Sanchez, E.; Cortes, I.G.; Pedrosa, M.A.; Bleuel, J.; Endler, M. Self–Similarity Properties of the Probability Distribution Function of Turbulence–Induced Particle Fluxes at the Plasma Edge. Phys. Rev. Lett. 1999, 83, 3653–3656. [Google Scholar] [CrossRef]
- Sokolov, I.M. Models of anomalous diffusion in crowded environments. Soft Matter 2012, 8, 9043–9052. [Google Scholar] [CrossRef]
- Metzler, R.; Jeon, J.-H.; Cherstvy, A.G.; Barkai, E. Anomalous diffusion models and their properties: Non-stationarity, non-ergodicity, and ageing at the centenary of single particle tracking. Phys. Chem. Chem. Phys. 2014, 16, 24128–24164. [Google Scholar] [CrossRef]
- Meroz, Y.; Sokolov, I.M. A toolbox for determining subdiffusive mechanisms. Phys. Rep. 2015, 573, 1–29. [Google Scholar] [CrossRef]
- Weinhold, F. Metric geometry of equilibrium thermodynamics. J. Phys. Chem. 1975, 63, 2479. [Google Scholar] [CrossRef]
- Rupeiner, G. Thermodynamics: A Riemannian geometric model. Phys. Rev. Lett. 1979, 20, 1608. [Google Scholar] [CrossRef]
- Schlögl, F. Thermodynamic metric and stochastic measures. Z. Phys. B 1985, 59, 449–454. [Google Scholar] [CrossRef]
- Diósi, L.; Kulacsy, K.; Lukács, B.; Rácz, A. Thermodynamic length, time, speed, and optimum path to minimize entropy production. Z. Phys. Chem. 1996, 105, 11220. [Google Scholar] [CrossRef]
- Crooks, G.E. Measuring Thermodynamic Length. Phys. Rev. Lett. 2007, 99, 100602. [Google Scholar] [CrossRef]
- Feng, E.H.; Crooks, G.E. Far-from-equilibrium measurements of thermodynamic length. Phys. Rev. E 2009, 79, 012104. [Google Scholar] [CrossRef]
- Nicholson, S.B.; Kim, E. Investigation of the statistical distance to reach stationary distributions. Phys. Lett. A 2015, 379, 83. [Google Scholar] [CrossRef]
- Kim, E.; Hollerbach, R. Signature of nonlinear damping in geometric structure of a nonequilibrium process. Phys. Rev. E 2017, 95, 022137. [Google Scholar] [CrossRef]
- Kim, E.; Hollerbach, R. Geometric structure and information change in phase transitions. Phys. Rev. E 2017, 95, 062107. [Google Scholar]
- Kim, E.; Jacquet, Q.; Hollerbach, R. Information geometry in a reduced model of self–organised shear flows without the uniform coloured noise approximation. J. Stat. Mech. 2019, 2, 023204. [Google Scholar] [CrossRef]
- Kim, E. Investigating Information Geometry in Classical and Quantum Systems through Information Length. Entropy 2018, 20, 574. [Google Scholar] [CrossRef]
- Heseltine, J.; Kim, E. Comparing Information Metrics for a Coupled Ornstein–Uhlenbeck Process. Entropy 2019, 21, 775. [Google Scholar] [CrossRef]
- Montroll, E.W.; Scher, H. Random walks on lattices. IV. Continuous-time walks and influence of absorbing boundaries. J. Stat. Phys. 1973, 9, 101–135. [Google Scholar] [CrossRef]
- Kou, S.C.; Sunney, X. Generalized langevin equation with fractional Gaussian noise: Subdiffusion within a single protein molecule. Phys. Rev. Lett. 2004, 93, 1806031–1806034. [Google Scholar] [CrossRef] [PubMed]
- Anderson, J.; Kim, E.; Moradi, S. A fractional Fokker–Planck model for anomalous diffusion. Phys. Plasmas 2014, 21, 122109. [Google Scholar] [CrossRef]
- Anderson, J.; Moradi, S.; Rafiq, T. Non–Linear Langevin and Fractional Fokker–Planck Equations for Anomalous Diffusion by Levy Stable Processes. Entropy 2018, 20, 760. [Google Scholar] [CrossRef]
- Anderson, J.; Kim, E.; Hnat, B.; Rafiq, T. Elucidating plasma dynamics in Hasegawa–Wakatani turbulence by information geometry. Phys. Plasmas 2020, 27, 022307. [Google Scholar] [CrossRef]
- Moradi, S.; Anderson, J.; Romanelli, M.; Kim, H.-T.; JET Contributors. Global scaling of the heat transport in fusion plasmas. Phys. Rev. Res. 2020, 2, 013027. [Google Scholar] [CrossRef]
- del Castillo, N.D.; Carreras, B.A.; Lynch, V.E. Fractional diffusion in plasma turbulence. Phys. Plasmas 2004, 11, 3854–3864. [Google Scholar] [CrossRef]
- del Castillo, N.D. Non-diffusive, non-local transport in fluids and plasmas. Nonlin. Process. Geophys. 2010, 17, 795–807. [Google Scholar] [CrossRef]
- Metzler, R.; Klafter, J. The random walk’s guide to anomalous diffusion: A fractional dynamics approach. Phys. Rep. 2000, 339, 1–77. [Google Scholar] [CrossRef]
© 2020 by the author. Licensee MDPI, Basel, Switzerland. This article is an open access article distributed under the terms and conditions of the Creative Commons Attribution (CC BY) license (http://creativecommons.org/licenses/by/4.0/).