Abstract
In this paper, the operational matrix based on Bernstein wavelets is presented for solving fractional SIR model with unknown parameters. The SIR model is a system of differential equations that arises in medical science to study epidemiology and medical care for the injured. Operational matrices merged with the collocation method are used to convert fractional-order problems into algebraic equations. The Adams–Bashforth–Moulton predictor correcter scheme is also discussed for solving the same. We have compared the solutions with the Adams–Bashforth predictor correcter scheme for the accuracy and applicability of the Bernstein wavelet method. The convergence analysis of the Bernstein wavelet has been also discussed for the validity of the method.
1. Introduction
The construction of mathematical models for real-world phenomena and development of efficacious techniques to define them is one of the most critical issues in applied mathematics biology, engineering, physics and other fields of science. In the 19th century, SIR epidemiological was first introduced by Kermack et al. [1]. In an SIR epidemic model, the population has three components, those susceptible , those infected and those recovered from the disease [1]. Presently childhood diseases are most significant infectious diseases. Rubella, measles, poliomyelitis, and hepatitis B have serious concerns among them [2,3,4,5,6,7]. Recently, coronavirus diseases have been discussed in [8]. Mathematical models play a key role in analyzing the mechanism of transmission of disease and provide different approaches to control the propagation of disease. In the current article, we examine the subsequent mathematical model of arbitrary order:
The associated initial conditions (ICs) are given as , and
Bernstein polynomials (BP) were suggested by Sergei Natanovich Bernstein in 1912 which is a polynomial in the Bernstein form that is a linear combination of Bernstein basis polynomials. There are several research articles on Bernstein polynomial for solving fractional differential equations [9,10,11].
Wavelet theory is a relatively incipient and dominating area in research and innovation. Wavelets have been used in numerous fields such as image compression, signal processing, time frequency analysis, data compression and fast algorithm for easy implementation [12,13]. Wavelet sanctions the precise depiction of a variety of functions and operators [14,15]. Recently, many research papers are published on different types of wavelets, the aim of these research papers to provide the numerical solutions to differential equations of integer order as well as fractional order with the aid of wavelets [16,17,18,19,20,21]. Recently, Boonrod and Razzaghi discussed a numerical approach based on Legendre wavelets for examining fractional differential equations (FDEs) by the exact formula for Riemann–Liouville (RL) [22]. Rahimkhani and Ordokhani discussed a numerical scheme for solving FDEs by Bernoulli wavelets [23]. Recently several other analytical and numerical schemes have been used to examine fractional order models [24,25,26].
The key aim of present investigation is to a discuss an efficient computational approach for solving Equation (1). The suggested computational approach is based upon Bernstein wavelets approximation. An exact formula for the RL fractional integral operator for the Bernstein wavelets is computed. Moreover, the derived formula is then employed to convert the linear or non-linear fractional differential equations into the system of algebraic equations. Next, Adams–Bashforth predictor correcter scheme is also discussed for solving the same [27,28]. We have compared the solutions with Adams–Bashforth predictor correcter scheme for the accuracy and applicability of the Bernstein wavelets technique.
The rest of paper is presented as follows: Some results, basic definitions and fractional calculus (FC) are provided in Section 2 which are used in the proposed work. The basic idea of normalized Bernstein wavelets and its properties are presented in Section 3 which is base of proposed work. In Section 4, a Bernstein wavelet operational matrix using Riemann−Liouville integral operator is discussed and presented. In Section 5, we presented convergence and error analysis theorem on Bernstein wavelets. In Section 6, we have implemented Bernstein wavelets and Adam’s-Bashforth-Moulton methods. Numerical results and discussions for the fractional SIR epidemic model are completely discussed in Section 7 which is main part of the proposed work.
2. Fractional Calculus
This part presents some preliminaries and notations of FC. There are numerous definitions of derivative and integration are available in litrature [29,30,31,32,33,34,35,36,37,38,39,40,41]. It is well known by the several published research papers that the Caputo and RL definitions are most popular definition of fractional calculus.
Definition 1.
The (left sided) RL fractional integral of order of a function is expressed as,
In the above equation is indicating the famous Gamma function.
Definition 2.
The following two Eqs. presents the RL and Caputo fractional derivatives of order a, respectively,
and,
where and m is an integer. It has the following two basic properties for and
3. The Normalized Bernstein Wavelets and Its Properties
In the present section, we construct Bernstein wavelet using the orthonormal Bernstein polynomial. Some important properties of Bernstein wavelets are considered in this section.
A family of wavelet functions build up from dilation and translation of a single function are constituted wavelets. if the dilation parameter and the translation parameter are continuous, the family of continuous wavelets is presented as
If it is restricted that the parameters a and b take discrete values as , , , , then we get the subsequent family of discrete wavelets,
where the sequence form a wavelet basis for , and if and then we have an orthonormal basis.
The aforesaid Bernstein wavelet have four parameters, defined over by,
where , is the normalized time and m is the degree of the orthonormal Bernstein polynomial. Furthermore,
or,
Here are Bernstein polynomials of degree m defined on the interval as follows,
or,
Furthermore, we replace m by , we get
Let us assume that the value of symbol is where
Any function defined over may be expressed in terms of Bernstein wavelet as
where , with as the inner product defined on . If the infinite series is truncated, then the above Eq. is presented as
where T denotes the transposition and, C and are the column vectors. and . Here, we define Bernstein wavelet matrix as
The above matrix is Bernstein matrix at given collocation points , where and .
4. Bernstein Wavelet Operational Matrix Using Riemann–Liouville Integral Operator
The principal target of this part is to derive the operational matrix for Bernstein wavelet without using block pulse functions. For this, we operate operator directly into as follows
where
where is the unit step function given as
If, we consider the fixed value as , , and the collocation points However, we get the operational matrix given below
The above square matrix is operational matrix based on Bernstein wavelet at . However, we can also find Bernstein operational wavelet matrix for arbitrary
5. Convergence and Error Analysis
Theorem 1.
The solution obtained by Bernstein wavelets method is converges.
Proof.
Since Bernstein wavelets in Equation (4) forms an orthonormal basis.
Let for fixed value of where Let sequence of partial sums of be and defined as and . Now
Consequently,
When is convergent by Bessel’s inequality. Hence, is Cauchy’s sequence converges to P (say). Therefore,
Thus, series solution of the Bernstein wavelets is convergent. □
Theorem 2.
Let ∈ and , where is the approximate solution using the Bernstein wavelets then error bound would be given as
where and
Proof.
In view of the concept of norm in inner product space, we have
Now, dividing into the sub-intervals ,
where is the interpolating polynomial of degree which approximate on the interval . With the aid of the maximum error estimate for the polynomial on , we obtain
Hence,
□
6. Proposed Methods for Fractional SIR Epidemic Model
6.1. Bernstein Wavelets for the Numerical Solution of SIR Epidemic Model
Consider the SIR epidemic model (1), we assume higher fractional derivatives in terms of the Bernstein wavelets as
where are the unknowns and
Now, we operate fractional integral operator into Equation (18) in the sense of Riemann–Liouville, we obtain
also,
Then
where only are unknowns. Putting these values of S, I and R into the main Equation (1) and using the collocation points , where , we can get the system of non-linear algebraic equations with number unknowns. By solving these equations with the avail of the Newton iteration method by MATLAB software, we can ascertain the unknown Bernstein coefficients. By superseding unknown coefficients into Equation (21), we may obtain the desired solutions.
6.2. Adams–Bashforth–Moulton (ABM) Predictor Corrector Scheme for the Numerical Solution of SIR Epidemic Model
On applying Adam’s-Bashforth-Moulton method on Equation (1) we obtained the predictor values and the corresponding corrector values as follows. To change it into discrete form, let , , ,
where
7. Numerical Results and Discussion
Here, we obtain the numerical results for fractional SIR epidemic model 1 to verify the applicability and efficiency of the Bernstein wavelets.
with initial conditions , and Furthermore, we use aforesaid operational matrix to convert system of non-linear FDEs into the system of algebraic equations. To show the validity of the Bernstein wavelets, we compared the obtained solutions with the solutions obtained by Adam’s-Bashforth-Moulton methods (ABM). When and it is obvious from Figure 1, Figure 2 and Figure 3 that the obtained solutions by the Bernstein wavelet scheme has an excellent agreement with the ABM. Moreover, we have obtained relative error and absolute error between solutions obtained by both methods, where relative error and absolute error is defined as
and
Figure 1.
Plot of susceptible people w.r.t time at by Bernstein wavelets method.
Figure 2.
Plot of infected people w.r.t time at by Bernstein wavelets method.
Figure 3.
Plot of recovered people w.r.t time at by Bernstein wavelets method.
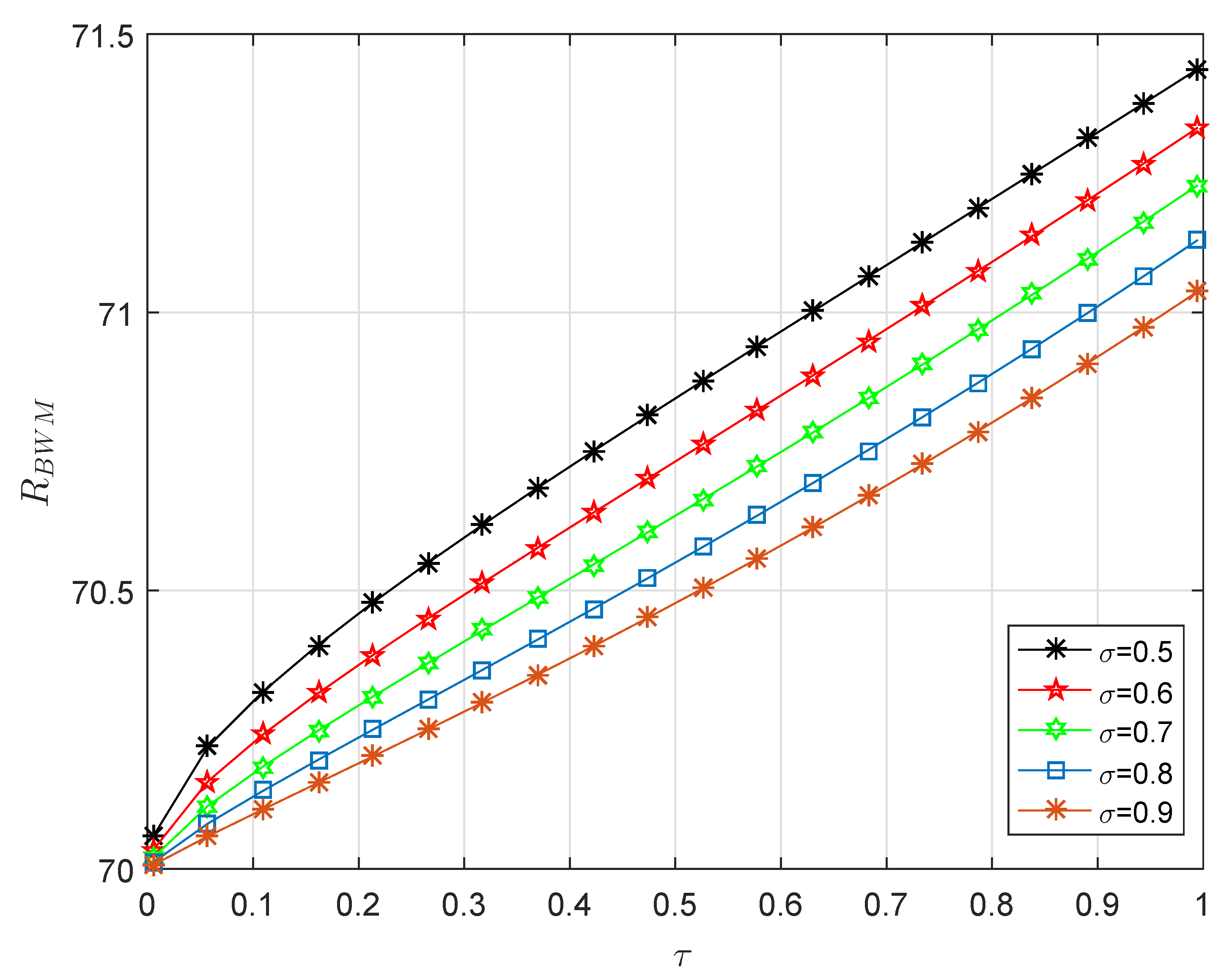
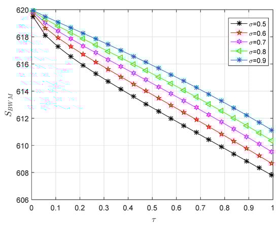
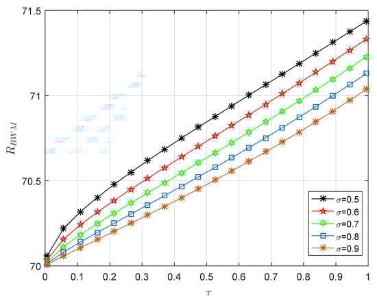
Relative error and absolute error are depicted through Figure 4, Figure 5, Figure 6, Figure 7, Figure 8 and Figure 9. Consequently, we have shown the effect of fractional derivative on the SIR model. From Figure 10, Figure 11 and Figure 12, it is clear that the fractional derivative gives more freedom compare to integer order derivative, by the proposed method we are able to find the solutions for arbitrary order of derivative. From Figure 13, Figure 14 and Figure 15 we have shown the 3D plot of the susceptible, infected and recovered people. In Table 1, Table 2 and Table 3, we have compared the obtained solutions with RK4 and RPS numerical methods, we found that our solutions are convergent. If we increase the values of M and k we can obtain more appropriate results compare to another numerical methods.
Figure 4.
Relative error between obtained solutions by BWM and ABM.
Figure 5.
Absolute error between obtained solutions by BWM and ABM.
Figure 6.
Relative error between obtained solutions by BWM and ABM.
Figure 7.
Absolute error between obtained solutions by BWM and ABM.
Figure 8.
Relative error between obtained solutions by BWM and ABM.
Figure 9.
Absolute error between obtained solutions by BWM and ABM.
Figure 10.
Behavior of Susceptible people w.r.t time for different values of
Figure 11.
Behavior of Infected people w.r.t time for different values of
Figure 12.
Behavior of Recovered people w.r.t time for different values of
Figure 13.
Behavior of Susceptible people w.r.t time and
Figure 14.
Behavior of Infected people w.r.t time and
Figure 15.
Behavior of Recovered people w.r.t time and
Table 1.
Comparison of solutions among proposed methods and other numerical methods for Susceptible people at .
Table 2.
Comparison of solutions among proposed methods and other numerical methods for Infected people at .
Table 3.
Comparison of solutions among proposed methods and other numerical methods for Recovered people at .
8. Conclusions
In this study, to get the numerical solutions of the non-linear fractional SIR epidemic model, a pattern of Bernstein wavelet method was discussed. In addition, an error estimation and convergence analysis of the function approximation based on aforesaid wavelets was discussed. Furthermore, an exact approximation for arbitrary order Riemann–Liouville integral operator was also discussed. The operational matrix together with collocation points was used to diminish the non-linear FDEs into several algebraic equations. Another numerical method known as Adams–Bashforth–Moulton was additionally discussed to show the precision and applicability of the suggested method. Convergence and error analysis assert the validity of proposed method.
Author Contributions
Conceptualization, S.K. and D.K.; methodology, R.K. and J.S.; software, R.K. and D.K.; validation, J.S., D.B. and M.S.; formal analysis, R.K. and D.K.; investigation, R.K. and A.A.; resources, S.K. and J.S.; data curation, S.K. and R.K.; writing—original draft preparation, S.K., R.K. and J.S.; writing—review and editing, A.A. and M.S.; visualization, D.B.; supervision, S.K. and D.B.; project administration, S.K. and D.B.; funding acquisition, S.K. and M.S. All authors have read and agreed to the published version of the manuscript.
Funding
This research was funded by SERB, Government of India, grant number EEQ/2017/000385.
Conflicts of Interest
The authors declare no conflict of interest.
References
- Kermack, W.O.; McKendrick, A.G. A contribution to the mathematical theory of epidemics. Proc. R. Soc. Lond. Ser. A Contain. Pap. Math. Phys. Character 1927, 115, 700–721. [Google Scholar]
- Ullah, S.; Khan, M.A.; Farooq, M. A new fractional model for the dynamics of the hepatitis B virus using the Caputo-Fabrizio derivative. Eur. Phys. J. Plus 2018, 133, 237. [Google Scholar] [CrossRef]
- Cardoso, L.; Santos, F.D.; Camargo, R. Analysis of fractional-order models for hepatitis B. Comput. Appl. Math. 2018, 37, 4570–4586. [Google Scholar] [CrossRef]
- Arafa, A.; Rida, S.; Khalil, M. Solutions of fractional order model of childhood diseases with constant vaccination strategy. Math. Sci. Lett. 2012, 1, 17–23. [Google Scholar] [CrossRef]
- Shah, S.A.A.; Khan, M.A.; Farooq, M.; Ullah, S.; Alzahrani, E.O. A fractional order model for Hepatitis B virus with treatment via Atangana–Baleanu derivative. Phys. A Stat. Mech. Its Appl. 2020, 538, 122636. [Google Scholar] [CrossRef]
- Singh, H.; Dhar, J.; Bhatti, H.S.; Chandok, S. An epidemic model of childhood disease dynamics with maturation delay and latent period of infection. Model. Earth Syst. Environ. 2016, 2, 79. [Google Scholar] [CrossRef]
- Koca, I. Analysis of rubella disease model with non-local and non-singular fractional derivatives. Int. J. Optim. Control Theor. Appl. (IJOCTA) 2017, 8, 17–25. [Google Scholar] [CrossRef]
- Rabi, F.A.; Al Zoubi, M.S.; Kasasbeh, G.A.; Salameh, D.M.; Al-Nasser, A.D. SARS-CoV-2 and Coronavirus Disease 2019: What We Know So Far. Pathogens 2020, 9, 231. [Google Scholar] [CrossRef]
- Asgari, M.; Ezzati, R. Using operational matrix of two-dimensional Bernstein polynomials for solving two-dimensional integral equations of fractional order. Appl. Math. Comput. 2017, 307, 290–298. [Google Scholar] [CrossRef]
- Mirzaee, F.; Samadyar, N. Numerical solution based on two-dimensional orthonormal Bernstein polynomials for solving some classes of two-dimensional nonlinear integral equations of fractional order. Appl. Math. Comput. 2019, 344, 191–203. [Google Scholar] [CrossRef]
- Chen, Y.; Liu, L.; Li, B.; Sun, Y. Numerical solution for the variable order linear cable equation with Bernstein polynomials. Appl. Math. Comput. 2014, 238, 329–341. [Google Scholar] [CrossRef]
- Razzaghi, M.; Yousefi, S. The Legendre wavelets operational matrix of integration. Int. J. Syst. Sci. 2001, 32, 495–502. [Google Scholar] [CrossRef]
- Shamsi, M.; Razzaghi, M. Solution of Hallen’s integral equation using multiwavelets. Comput. Phys. Commun. 2005, 168, 187–197. [Google Scholar] [CrossRef]
- Lakestani, M.; Razzaghi, M.; Dehghan, M. Semi-orthogonal spline wavelets approximation for Fredholm integro-differential equations. Math. Probl. Eng. 2006, 2006. [Google Scholar] [CrossRef]
- Beylkin, G.; Coifman, R.; Rokhlin, V. Fast wavelet transforms and numerical algorithms i. Commun. Pure Appl. Math. 1991, 44, 141–183. [Google Scholar] [CrossRef]
- Iqbal, M.A.; Saeed, U.; Mohyud-Din, S.T. Modified Laguerre wavelets method for delay differential equations of fractional-order. Egypt. J. Basic Appl. Sci. 2015, 2, 50–54. [Google Scholar] [CrossRef]
- Shiralashetti, S.; Kumbinarasaiah, S. Laguerre wavelets collocation method for the numerical solution of the Benjamina–Bona–Mohany equations. J. Taibah Univ. Sci. 2019, 13, 9–15. [Google Scholar] [CrossRef]
- Gümgüm, S. Laguerre wavelet method for solving Troesch equation. Balıkesir Üniversitesi Fen Bilimleri Enstitüsü Dergisi 2019, 21, 494–502. [Google Scholar] [CrossRef]
- Shiralashetti, S.; Angadi, L.; Kumbinarasaiah, S. Laguerre wavelet-Galerkin method for the numerical solution of one dimensional partial differential equations. Int. J. Math. Appl. 2018, 6, 939–949. [Google Scholar]
- Shiralashetti, S.; Kumbinarasaiah, S. Theoretical study on continuous polynomial wavelet bases through wavelet series collocation method for nonlinear Lane–Emden type equations. Appl. Math. Comput. 2017, 315, 591–602. [Google Scholar] [CrossRef]
- Wang, J.; Xu, T.-Z.; Wei, Y.-Q.; Xie, J.-Q. Numerical simulation for coupled systems of nonlinear fractional order integro-differential equations via wavelets method. Appl. Math. Comput. 2018, 324, 36–50. [Google Scholar] [CrossRef]
- Yuttanan, B.; Razzaghi, M. Legendre wavelets approach for numerical solutions of distributed order fractional differential equations. Appl. Math. Model. 2019, 70, 350–364. [Google Scholar] [CrossRef]
- Rahimkhani, P.; Ordokhani, Y. A numerical scheme based on Bernoulli wavelets and collocation method for solving fractional partial differential equations with dirichlet boundary conditions. Numer. Methods Partial Differ. Equ. 2019, 35, 34–59. [Google Scholar] [CrossRef]
- Kumar, D.; Singh, J.; Qurashi, M.; Baleanu, D. A new fractional SIRS-SI malaria disease model with application of vaccines, anti-malarial drugs, and spraying. Adv. Differ. Equ. 2019, 2019, 278. [Google Scholar] [CrossRef]
- Kumar, D.; Singh, J.; Baleanu, D. On the analysis of fractional diabetes model with exponential law. Adv. Differ. Equ. 2018, 2018, 231. [Google Scholar]
- Goswami, A.; Singh, J.; Kumar, D. An efficient analytical approach for fractional equal width equations describing hydro-magnetic waves in cold plasma. Physica A 2019, 2019, 563–575. [Google Scholar] [CrossRef]
- Srivastava, M.; Agrawal, S.; Das, S. Synchronization of chaotic fractional order Lotka–Volterra system. Int. J. Nonlinear Sci. 2012, 13, 482–494. [Google Scholar]
- Diethelm, K.; Ford, N.J.; Freed, A.D. Detailed error analysis for a fractional Adams method. Numer. Algorithms 2004, 36, 31–52. [Google Scholar] [CrossRef]
- Ghanbari, B.; Kumar, S.; Kumar, R. A study of behaviour for immune and tumor cells in immunogenetic tumour model with non-singular fractional derivative. Chaos Soliton Fractals 2020. [Google Scholar] [CrossRef]
- Kumar, S.; Nisar, K.; Kumar, R.; Cattani, C.; Samet, B. A new rabotnov fractional-exponential function based fractional derivative for diffusion equation under external force. Math. Methods Appl. Sci. 2020. [Google Scholar] [CrossRef]
- Kumar, S.; Kumar, R.; Singh, J.; Nisar, K.; Kumar, D. An efficient numerical scheme for fractional model of HIV-1 infection of CD4+ T-Cells with the effect of antiviral drug therapy. Alex. Eng. J. 2019. [Google Scholar] [CrossRef]
- Jleli, M.; Kumar, S.; Kumar, R.; Samet, B. Analytical approach for time fractional wave equations in the sense of Yang-Abdel-Aty-Cattani via the homotopy perturbation transform method. Alex. Eng. J. 2019. [Google Scholar] [CrossRef]
- Goufo, E.F.D.; Kumar, S.; Mugisha, S. Similarities in a fifth-order evolution equation with and with no singular kernel. Chaos Solitons Fractals 2020, 130, 109467. [Google Scholar] [CrossRef]
- El-Ajou, A.; Oqielat, M.N.; Al-Zhour, Z.; Kumar, S.; Momani, S. Solitary solutions for time-fractional nonlinear dispersive PDEs in the sense of conformable fractional derivative. Chaos Interdiscip. J. Nonlinear Sci. 2019, 29, 093102. [Google Scholar] [CrossRef]
- Kumar, S.; Kumar, A.; Momani, S.; Aldhaifallah, M.; Nisar, K.S. Numerical solutions of nonlinear fractional model arising in the appearance of the stripe patterns in two-dimensional systems. Adv. Differ. Equ. 2019, 2019, 413. [Google Scholar] [CrossRef]
- Sharma, B.; Kumar, S.; Cattani, C.; Baleanu, D. Nonlinear dynamics of Cattaneo–Christov heat flux model for third-grade power-law fluid. J. Comput. Nonlinear Dyn. 2020, 15. [Google Scholar] [CrossRef]
- Kudu, M. A parameter uniform difference scheme for the parameterized singularly perturbed problem with integral boundary condition. Adv. Differ. Equ. 2018, 2018, 1–12. [Google Scholar] [CrossRef]
- Veeresha, P.; Prakasha, D.; Kumar, D. An efficient technique for nonlinear time-fractional Klein–Fock–Gordon equation. Appl. Math. Comput. 2020, 364, 124637. [Google Scholar] [CrossRef]
- Bhatter, S.; Mathur, A.; Kumar, D.; Singh, J. A new analysis of fractional Drinfeld–Sokolov–Wilson model with exponential memory. Phys. A Stat. Mech. Its Appl. 2020, 537, 122578. [Google Scholar] [CrossRef]
- Choudhary, A.; Kumar, D.; Singh, J. Numerical simulation of a fractional model of temperature distribution and heat flux in the semi infinite solid. Alex. Eng. J. 2016, 55, 87–91. [Google Scholar] [CrossRef]
- Ghanbari, B.; Kumar, D. Numerical solution of predator-prey model with Beddington-DeAngelis functional response and fractional derivatives with Mittag-Leffler kernel. Chaos Interdiscip. J. Nonlinear Sci. 2019, 29, 063103. [Google Scholar] [CrossRef] [PubMed]
- Hasan, S.; Al-Zoubi, A.; Freihet, A.; Al-Smadi, M.; Momani, S. Solution of fractional SIR epidemic model using residual power series method. Appl. Math. 2019, 13, 1–9. [Google Scholar] [CrossRef]
© 2020 by the authors. Licensee MDPI, Basel, Switzerland. This article is an open access article distributed under the terms and conditions of the Creative Commons Attribution (CC BY) license (http://creativecommons.org/licenses/by/4.0/).














