A Parallel-Viscosity-Type Subgradient Extragradient-Line Method for Finding the Common Solution of Variational Inequality Problems Applied to Image Restoration Problems
Abstract
1. Introduction
- Monotone if
- Pseudo-monotone if
- L-Lipschitz continuous if there exists a positive constant L such that
2. Preliminaries
- (i)
- (ii)
- (iii)
3. Main Results
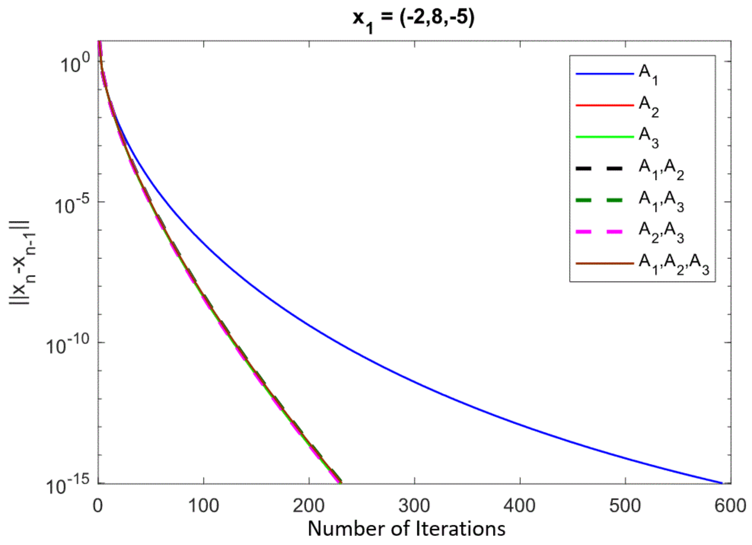
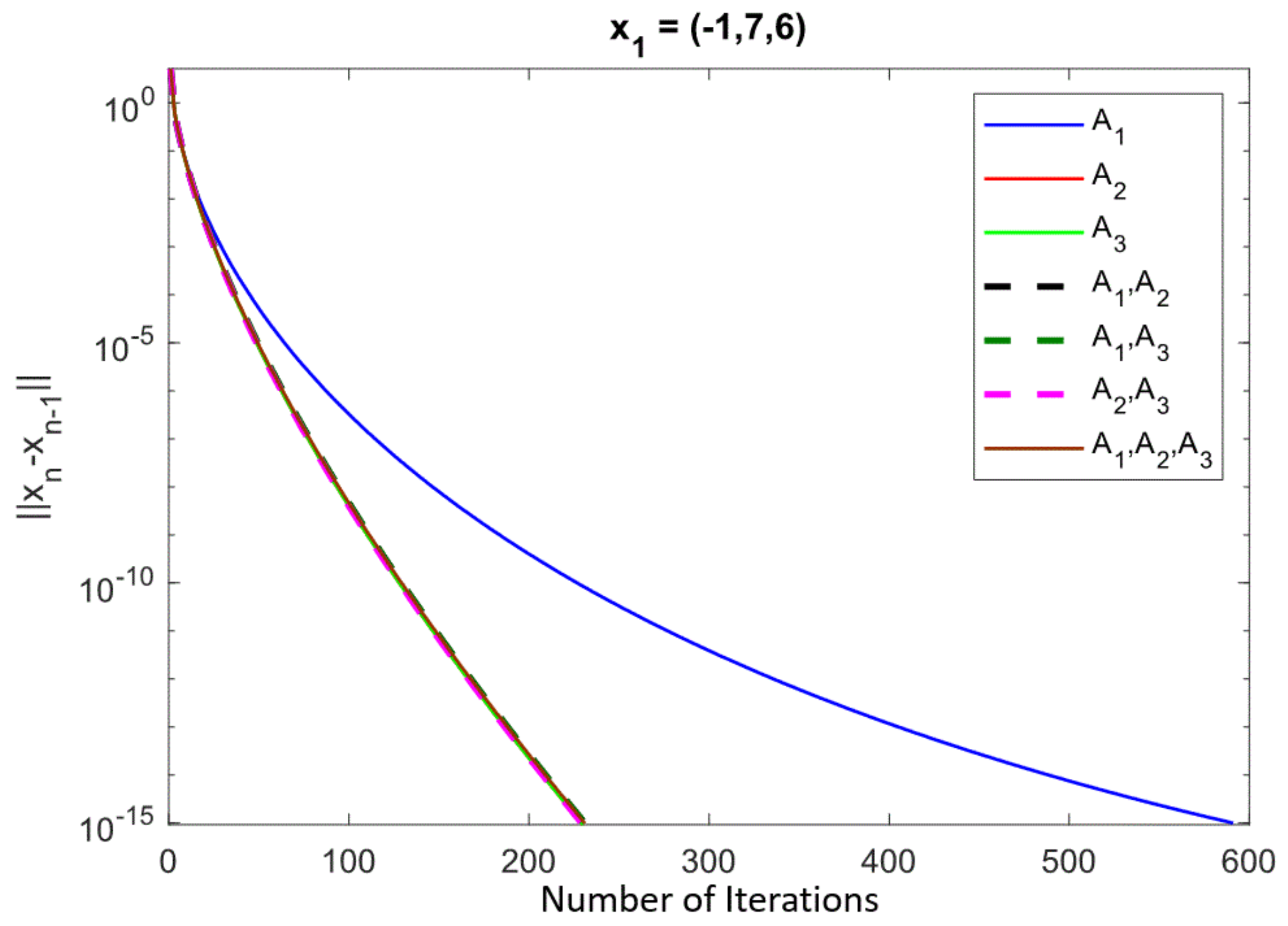
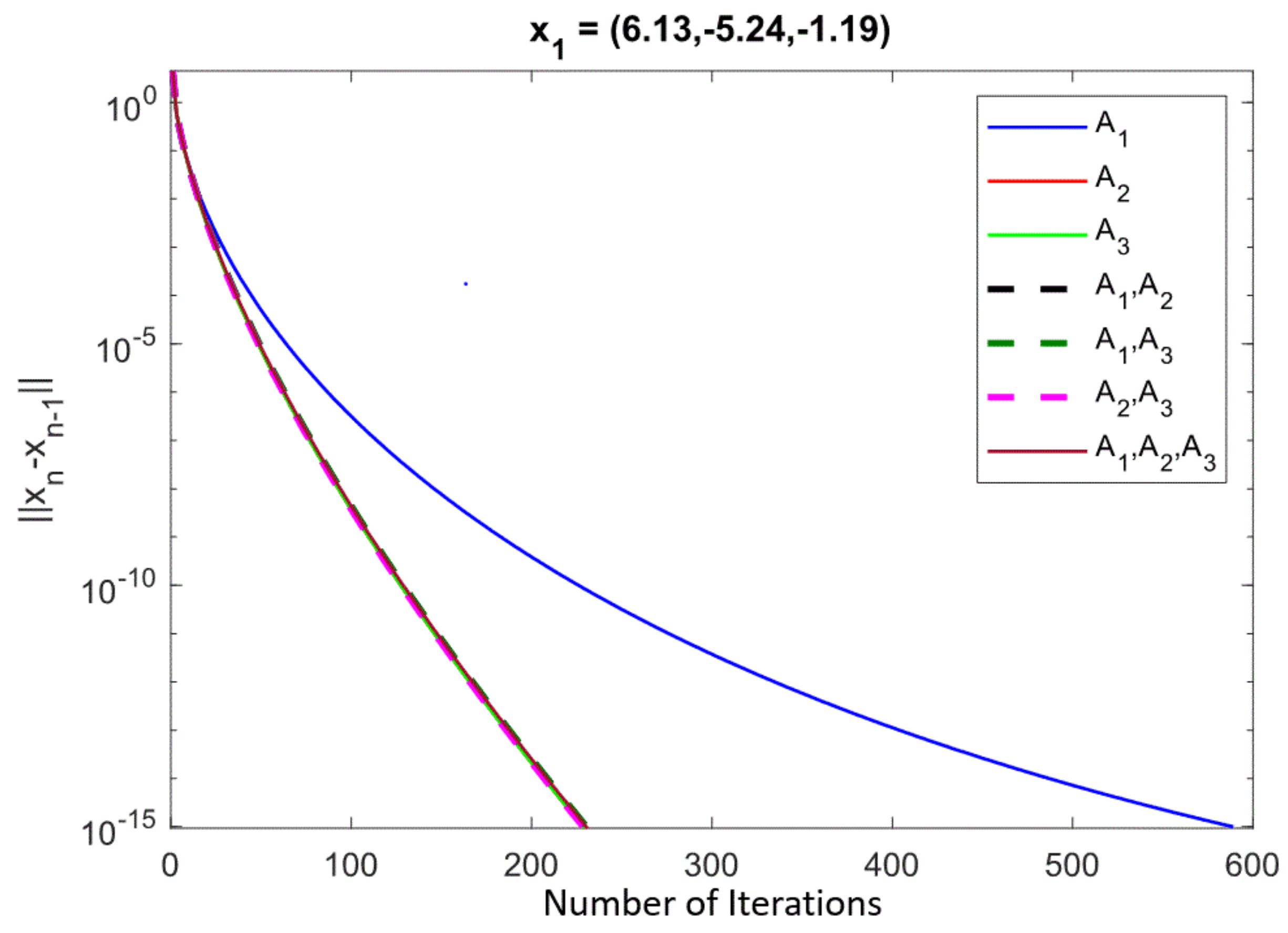
| Algorithm 1. Given . Let be a real sequence in . Let be arbitrary. |
|
- (a)
- ,
- (b)
- .
- Choice 1
- Bernstein initial data: ;
- Choice 2
- Chebyshev initial data: ;
- Choice 3
- Legendre initial data: .
4. Application to Image Restoration Problems
| Algorithm 2. Given . Let be a real sequence in . Let be arbitrary. |
|
- (1)
- Gaussian blur of filter size with standard deviation (the original image was degraded by the blurring matrix ).
- (2)
- Out-of-focus blur (disk) with radius (the original image was degraded by the blurring matrix ).
- (3)
- Motion blur specifying with motion length of 21 pixels (len ) and motion orientation () (the original image was degraded by the blurring matrix ).
- Case I:
- Inputting in the proposed algorithm;
- Case II:
- Inputting in the proposed algorithm; and
- Case III:
- Inputting in the proposed algorithm
- Case I:
- Inputting and in the proposed algorithm;
- Case II:
- Inputting and in the proposed algorithm; and
- Case III:
- Inputting and in the proposed algorithm.
- (1)
- Deblurring problem (VIP) with by inputting , , and in the proposed algorithm.
- (2)
- Deblurring problem (VIP) with by inputting and , and , and and in the proposed algorithm respectively.
- (3)
- Deblurring problem (VIP) with by inputting , , and in the proposed algorithm.
5. Conclusions
Author Contributions
Funding
Conflicts of Interest
References
- Hartman, P.; Stampacchia, G. On some non-linear elliptic diferential-functional equations. Acta Math. 1966, 115, 271–310. [Google Scholar] [CrossRef]
- Aubin, J.-P.; Ekeland, I. Applied Nonlinear Analysis; Wiley: New York, NY, USA, 1984. [Google Scholar]
- Baiocchi, C.; Capelo, A. Variational and Quasivariational Inequalities: Applications to Free Boundary Problems; Wiley: New York, NY, USA, 1984. [Google Scholar]
- Glowinski, R.; Lions, J.-L.; Tremolieres, R. Numerical Analysis of Variational Inequalities; NorthHolland: Amsterdam, The Netherlands, 1981. [Google Scholar]
- Kinderlehrer, D.; Stampacchia, G. An Introduction to Variational Inequalities and Their Applications; Academic: New York, NY, USA, 1980. [Google Scholar]
- Konnov, I.V. Combined Relaxation Methods for Variational Inequalities; Springer: Berlin, Germany, 2001. [Google Scholar]
- Nagurney, A. Network Economics: A Variational Inequality Approach; Kluwer Academic Publishers: Dordrecht, The Netherlands, 1999. [Google Scholar]
- Bauschke, H.H.; Combettes, P.L. Convex Analysis and Monotone Operator Theory in Hilbert Spaces; CMS Books in Mathematics; Springer: New York, NY, USA, 2011. [Google Scholar]
- Facchinei, F.; Pang, J.-S. Finite-Dimensional Variational Inequalities And Complementarity Problems; Springer Series in Operations Research; Springer: New York, NY, USA, 2003; Volume II. [Google Scholar]
- Cholamjiak, P.; Suantai, S. Viscosity approximation methods for a nonexpansive semigroup in Banach spaces with gauge functions. J. Glob. Optim. 2012, 54, 185–197. [Google Scholar] [CrossRef]
- Shehu, Y.; Cholamjiak, P. Iterative method with inertial for variational inequalities in Hilbert spaces. Calcolo 2019. [Google Scholar] [CrossRef]
- Kesornprom, S.; Cholamjiak, P. Proximal type algorithms involving linesearch and inertial technique for split variational inclusion problem in hilbert spaces with applications. Optimization 2019, 68, 2365–2391. [Google Scholar] [CrossRef]
- Cholamjiak, P.; Thong, D.V.; Cho, Y.J. A novel inertial projection and contraction method for solving pseudomonotone variational inequality problems. Acta Appl. Math. 2019. [Google Scholar] [CrossRef]
- Anh, P.N.; Hien, N.D.; Phuong, N.X. A parallel subgradient method extended to variational inequalities involving nonexpansive mappings. Appl. Anal. 2018. [Google Scholar] [CrossRef]
- Ceng, L.C.; Coroian, I.; Qin, X.; Yao, J.C. A general viscosity implicit iterative algorithm for split variational inclusions with hierarchical variational inequality constraints. Fixed Point Theory 2019, 20, 469–482. [Google Scholar] [CrossRef]
- Korpelevich, G.M. The extragradient method for finding saddle points and other problems. Ekonomikai Matematicheskie Metody 1976, 12, 747–756. [Google Scholar]
- Censor, Y.; Gibali, A.; Reich, S. The subgradient extragradient method for solving variational inequalities in Hilbert space. J. Optim. Theory Appl. 2011, 148, 318–335. [Google Scholar] [CrossRef]
- Gibali, A. A new non-Lipschitzian projection method for solving variational inequalities in Euclidean spaces. J. Nonlinear Anal. Optim. 2015, 6, 41–51. [Google Scholar]
- Shehu, Y.; Iyiola, O.S. Strong convergence result for monotone variational inequalities. Numer. Algorithms 2016. [Google Scholar] [CrossRef]
- Censor, Y.; Gibali, A.; Reich, S.; Sabach, S. Common solutions to variational inequalities. Set Val. Var. Anal. 2012, 20, 229–247. [Google Scholar] [CrossRef]
- Bauschke, H.H.; Borwein, J.M. On projection algorithms for solving convex feasibility problems. SIAMRev 1996, 38, 367–426. [Google Scholar] [CrossRef]
- Stark, H. (Ed.) Image Recovery Theory and Applications; Academic: Orlando, FL, USA, 1987. [Google Scholar]
- Censor, Y.; Chen, W.; Combettes, P.L.; Davidi, R.; Herman, G.T. On the effectiveness of projection methods for convex feasibility problems with linear inequality constraints. Comput. Optim. Appl. 2011. [Google Scholar] [CrossRef]
- Hieu, D.V.; Anh, P.K.; Muu, L.D. Modified hybrid projection methods for finding common solutions to variational inequality problems. Comput. Optim. Appl. 2016. [Google Scholar] [CrossRef]
- Hieu, D.V. Parallel hybrid methods for generalized equilibrium problems and asymptotically strictly pseudocontractive mappings. J. Appl. Math. Comput. 2016. [Google Scholar] [CrossRef]
- Yamada, I. The hybrid steepest descent method for the variational inequality problem over the intersection of fixed point sets of nonexpansive mappings. In Inherently Parallel Algorithms in Feasibility and Optimization and Their Applications; Butnariu, D., Censor, Y., Reich, S., Eds.; Elsevier: Amsterdam, The Netherlands, 2001; pp. 473–504. [Google Scholar]
- Yao, Y.; Liou, Y.C. Weak and strong convergence of Krasnoselski-Mann iteration for hierarchical fixed point problems. Inverse Probl. 2008, 24, 015015. [Google Scholar] [CrossRef]
- Anh, P.K.; Hieu, D.V. Parallel and sequential hybrid methods for a finite family of asymptotically quasi ϕ-nonexpansive mappings. J. Appl. Math. Comput. 2015, 48, 241–263. [Google Scholar] [CrossRef]
- Anh, P.K.; Hieu, D.V. Parallel hybrid methods for variational inequalities, equilibrium problems and common fixed point problems. Vietnam J. Math. 2015. [Google Scholar] [CrossRef]
- Takahashi, W. Nonlinear Functional Analysis; Yokohama Publishers: Yokohama, Japan, 2000. [Google Scholar]
- Xu, H.-K. Iterative algorithms for nonlinear operators. J. Lond. Math. Soc. 2002, 66, 240–256. [Google Scholar] [CrossRef]
- Takahashi, S.; Takahashi, W. Strong convergence theorem for a generalized equilibrium problem and a nonexpansive mapping in a Hilbert space. Nonlinear Anal. 2008, 69, 1025–1033. [Google Scholar] [CrossRef]
- Engl, H.W.; Hanke, M.; Neubauer, A. Regularization of Inverse Problems; Kluwer Academic Publishers: Dordrecht, The Netherlands, 2000. [Google Scholar]
- Hansen, P.C. Rank-Deficient and Discrete Ill-Posed Problems; SIAM: Philadelphia, PA, USA, 1997. [Google Scholar]
- Hansen, P.C. Discrete Inverse Problems: Insight and Algorithms; SIAM: Philadelphia, PA, USA, 2010. [Google Scholar]
- Vogel, C.R. Computational Methods for Inverse Problems; SIAM: Philadelphia, PA, USA, 2002. [Google Scholar]

















































| Inputting | ||||||
|---|---|---|---|---|---|---|
| CPU Time | Iter No. | CPU Time | Iter No. | CPU Time | Iter No. | |
| 0.0000068 | 592 | 0.0000056 | 591 | 0.00001 | 589 | |
| 0.0003795 | 230 | 0.0002848 | 230 | 0.0002887 | 229 | |
| 0.0004619 | 230 | 0.0007852 | 230 | 0.000766 | 229 | |
| 0.0002942 | 231 | 0.0002965 | 231 | 0.0002945 | 231 | |
| 0.0008444 | 231 | 0.0009953 | 231 | 0.0009992 | 231 | |
| 0.0011516 | 230 | 0.0009781 | 230 | 0.0007956 | 229 | |
| 0.0007429 | 231 | 0.0007586 | 231 | 0.0007621 | 231 | |
| Inputting | Bernstein Initial Data | Chebyshev Initial Data | Legendre Initial Data | |||
|---|---|---|---|---|---|---|
| CPU Time | Iter. No. | CPU Time | Iter. No. | CPU Time | Iter. No. | |
| 2.20542 | 40 | 4.53568 | 40 | 2.66656 | 33 | |
| 2.93440 | 35 | 1.53655 | 39 | 1.46195 | 33 | |
| 2.699356 | 28 | 2.13809 | 38 | 1.38359 | 32 | |
| 20.5162 | 36 | 33.9656 | 39 | 20.3007 | 33 | |
| 11.0109 | 29 | 77.1907 | 38 | 44.6389 | 32 | |
| 7.47927 | 28 | 52.5607 | 38 | 30.7733 | 32 | |
| 6.20955 | 28 | 82.3549 | 38 | 45.8789 | 32 | |
© 2020 by the authors. Licensee MDPI, Basel, Switzerland. This article is an open access article distributed under the terms and conditions of the Creative Commons Attribution (CC BY) license (http://creativecommons.org/licenses/by/4.0/).
Share and Cite
Suantai, S.; Peeyada, P.; Yambangwai, D.; Cholamjiak, W. A Parallel-Viscosity-Type Subgradient Extragradient-Line Method for Finding the Common Solution of Variational Inequality Problems Applied to Image Restoration Problems. Mathematics 2020, 8, 248. https://doi.org/10.3390/math8020248
Suantai S, Peeyada P, Yambangwai D, Cholamjiak W. A Parallel-Viscosity-Type Subgradient Extragradient-Line Method for Finding the Common Solution of Variational Inequality Problems Applied to Image Restoration Problems. Mathematics. 2020; 8(2):248. https://doi.org/10.3390/math8020248
Chicago/Turabian StyleSuantai, Suthep, Pronpat Peeyada, Damrongsak Yambangwai, and Watcharaporn Cholamjiak. 2020. "A Parallel-Viscosity-Type Subgradient Extragradient-Line Method for Finding the Common Solution of Variational Inequality Problems Applied to Image Restoration Problems" Mathematics 8, no. 2: 248. https://doi.org/10.3390/math8020248
APA StyleSuantai, S., Peeyada, P., Yambangwai, D., & Cholamjiak, W. (2020). A Parallel-Viscosity-Type Subgradient Extragradient-Line Method for Finding the Common Solution of Variational Inequality Problems Applied to Image Restoration Problems. Mathematics, 8(2), 248. https://doi.org/10.3390/math8020248

