Two-Parameter Stochastic Weibull Diffusion Model: Statistical Inference and Application to Real Modeling Example
Abstract
1. Introduction
2. Stochastic Weibull Diffusion Process (SWDP)
2.1. The PDF and Moments of the Process
2.2. Moments of the Process
- -As mentioned above, this process is a generalisation of the one defined in Reference [7]. In fact, assuming , the SWDP obtained becomes the SWDP based on the two-parameters Weibull distribution.
- -Moreover, the trend function of the process, given in Equation (9), is corresponding to the PDF of the Weibull distribution.
3. Statistical Inference
3.1. Maximum Likelihood Estimation
3.2. Confidence Bounds of the Process
4. Computational Aspects
4.1. Estimated TF and Estimated CBs
4.2. Simulated Annealing Method
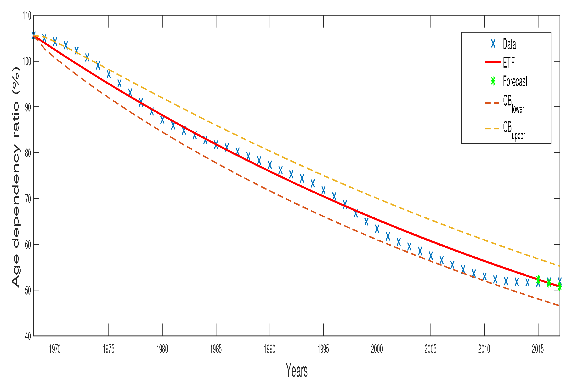
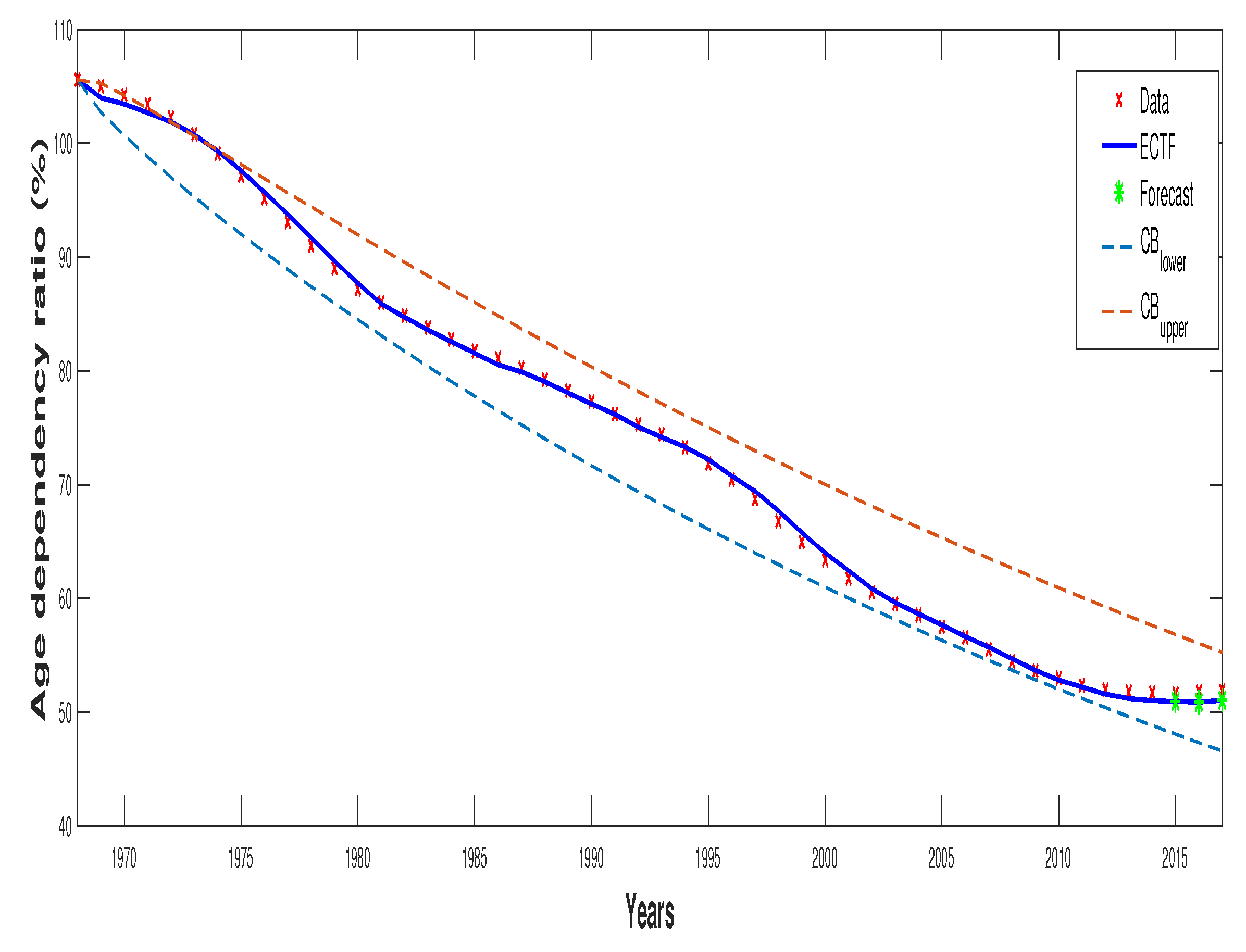
5. Application and Simulation: The Age Dependency Ratio
5.1. Application
- Step 1: Data for 1968–2014 are used to estimate the process parameters as described above. Using the Matlab package, the following estimator values are obtained: and
- Step 2: Data for 2015–2017 are explored to forecast the expected values of the process. The results in Table 2 resume the behaviour of the conditional and the non-conditional trend functions given, respectively, by Equations (15) and (16) also the values of the confidence bounds (given 95%) established from Equation (14). The performance of the SWDP for the previsions is represented in Figure 1 and Figure 2.
5.2. Goodness of Fit
- Mean Absolute Error (MAE) = mean (),
- Root Mean Square Error (RMSE) =
- Mean Absolute Percentage Error (MAPE) = mean (),
5.3. Simulation
6. Conclusions
Author Contributions
Funding
Acknowledgments
Conflicts of Interest
References
- Gutiérrez, R.; Gutiérrez-Sánchez, R.; Nafidi, A. Trend analysis and computational statistical estimation in a stochastic Rayleigh model: Simulation and application. Math. Comput. Simul. 2008, 77, 209–217. [Google Scholar] [CrossRef]
- Giovanis, A.; Skiadas, C. A stochastic logistic innovation diffusion model studying the electricity consumption in Greece and the United States. Technol. Forecast. Soc. Chang. 1999, 61, 235–246. [Google Scholar] [CrossRef]
- Gutiérrez, R.; Gutiérrez-Sánchez, R.; Nafidi, A. The Stochastic Rayleigh diffusion model: Statistical inference and computational aspects. Applications to modelling of real cases. Appl. Math. Comput. 2006, 175, 628–644. [Google Scholar] [CrossRef]
- Albano, G.; Giorno, V.; Román-Román, P.; Torres-Ruiz, F. Inferring the effect of therapy on tumors showing stochastic Gompertzian growth. J. Theor. Biol. 2011, 276, 67–77. [Google Scholar] [CrossRef] [PubMed]
- Skvortsov, A.; Ristic, B.; Kamenev, A. Predicting population extinction from early observations of the Lotka–Volterra system. Appl. Math. Comput. 2018, 320, 371–379. [Google Scholar] [CrossRef]
- Rao, B.P.; Rao, B.P. Statistical Inference for Diffusion Type Processes; Arnold: London, UK, 1999. [Google Scholar]
- Nafidi, A.; Bahij, M.; Achchab, B.; Gutiérrez-Sanchez, R. The stochastic Weibull diffusion process: Computational aspects and simulation. Appl. Math. Comput. 2019, 348, 575–587. [Google Scholar] [CrossRef]
- Kloeden, P.E.; Platen, E.; Gelbrich, M.; Romisch, W. Numerical Solution of Stochastic Differential Equations. SIAM Rev. 1995, 37, 272–274. [Google Scholar]
- Katsamaki, A.; Skiadas, C. Analytic solution and estimation of parameters on a stochastic exponential model for a technological diffusion process. Appl. Stoch. Model. Data Anal. 1995, 11, 59–75. [Google Scholar] [CrossRef]
- Zehna, P.W. Invariance of maximum likelihood estimators. Ann. Math. Stat. 1966, 37, 744. [Google Scholar] [CrossRef]
- Kirkpatrick, S.; Gelatt, C.D.; Vecchi, M.P. Optimization by Simulated Annealing. Science 1983, 220, 671–680. [Google Scholar] [CrossRef] [PubMed]
- Černỳ, V. Thermodynamical approach to the traveling salesman problem: An efficient simulation algorithm. J. Optim. Theory Appl. 1985, 45, 41–51. [Google Scholar] [CrossRef]
- Metropolis, N.; Rosenbluth, A.W.; Rosenbluth, M.N.; Teller, A.H.; Teller, E. Equation of State Calculations by Fast Computing Machines. J. Chem. Phys. 1953, 21, 1087–1092. [Google Scholar] [CrossRef]
- Duflo, M. Random Iterative Models; Springer Science & Business Media: Berlin, Germany, 2013; Volume 34. [Google Scholar]
- Boumezoued, A.; Hardy, H.L.; Karoui, N.E.; Arnold, S. Cause-of-death mortality: What can be learned from population dynamics? Insur. Math. Econ. 2018, 78, 301–315. [Google Scholar] [CrossRef]
- Boyle, P.P.; Freedman, R. Population waves and fertility fluctuations: Social security implications. Insur. Math. Econ. 1985, 4, 65–74. [Google Scholar] [CrossRef]
- Gutiérrez, R.; Gutiérrez-Sánchez, R.; Nafidi, A. Electricity consumption in Morocco: Stochastic Gompertz diffusion analysis with exogenous factors. Appl. Energy 2006, 83, 1139–1151. [Google Scholar] [CrossRef]
- Nafidi, A.; Gutiérrez, R.; Gutiérrez-Sánchez, R.; Ramos-Ábalos, E.; El Hachimi, S. Modelling and predicting electricity consumption in Spain using the stochastic Gamma diffusion process with exogenous factors. Energy 2016, 113, 309–318. [Google Scholar] [CrossRef]



| Year | 1968 | 1969 | 1970 | 1971 | 1972 | 1973 |
| Data | 105.5770 | 105.0150 | 104.2379 | 103.4307 | 102.2719 | 100.8111 |
| Year | 1974 | 1975 | 1976 | 1977 | 1978 | 1979 |
| Data | 99.0847 | 97.1586 | 95.1705 | 93.0931 | 91.0080 | 89.0184 |
| Year | 1980 | 1981 | 1982 | 1983 | 1984 | 1985 |
| Data | 87.1933 | 85.9912 | 84.8607 | 83.8064 | 82.7859 | 81.7496 |
| Year | 1986 | 1987 | 1988 | 1989 | 1990 | 1991 |
| Data | 81.1141 | 80.2438 | 79.2422 | 78.2533 | 77.3297 | 76.1942 |
| Year | 1992 | 1993 | 1994 | 1995 | 1996 | 1997 |
| Data | 75.2913 | 74.4163 | 73.2973 | 71.8304 | 70.4705 | 68.7203 |
| Year | 1998 | 1999 | 2000 | 2001 | 2002 | 2003 |
| Data | 66.7817 | 64.9550 | 63.3799 | 61.7694 | 60.5311 | 59.5211 |
| Year | 2004 | 2005 | 2006 | 2007 | 2008 | 2009 |
| Data | 58.5356 | 57.4950 | 56.5551 | 55.5167 | 54.4817 | 53.6134 |
| Year | 2010 | 2011 | 2012 | 2013 | 2014 | 2015 |
| Data | 52.9908 | 52.3518 | 51.9660 | 51.7834 | 51.6961 | 51.6429 |
| Year | 2016 | 2017 | ||||
| Data | 51.8101 | 51.8878 |
| Years | Real Data | Trend Function | Conditional Trend | Confidence Bounds |
|---|---|---|---|---|
| 2015 | 51.6429 | 52.3115 | 50.9342 | (48.0698–56.8238) |
| 2016 | 51.8101 | 51.5407 | 50.8820 | (47.3187–56.0351) |
| 2017 | 51.8878 | 50.7815 | 51.0469 | (46.5799–55.2570) |
| MAPE | Interpretation |
|---|---|
| <10 | Highly accurate forecasting |
| 20–30 | Good forecasting |
| 30–50 | Reasonable forecasting |
| >50 | Inaccurate forecasting |
| MAE | RMSE | MAPE |
|---|---|---|
| 1.6810 | 1.9952 | 2.5312% |
© 2020 by the authors. Licensee MDPI, Basel, Switzerland. This article is an open access article distributed under the terms and conditions of the Creative Commons Attribution (CC BY) license (http://creativecommons.org/licenses/by/4.0/).
Share and Cite
Nafidi, A.; Bahij, M.; Gutiérrez-Sánchez, R.; Achchab, B. Two-Parameter Stochastic Weibull Diffusion Model: Statistical Inference and Application to Real Modeling Example. Mathematics 2020, 8, 160. https://doi.org/10.3390/math8020160
Nafidi A, Bahij M, Gutiérrez-Sánchez R, Achchab B. Two-Parameter Stochastic Weibull Diffusion Model: Statistical Inference and Application to Real Modeling Example. Mathematics. 2020; 8(2):160. https://doi.org/10.3390/math8020160
Chicago/Turabian StyleNafidi, Ahmed, Meriem Bahij, Ramón Gutiérrez-Sánchez, and Boujemâa Achchab. 2020. "Two-Parameter Stochastic Weibull Diffusion Model: Statistical Inference and Application to Real Modeling Example" Mathematics 8, no. 2: 160. https://doi.org/10.3390/math8020160
APA StyleNafidi, A., Bahij, M., Gutiérrez-Sánchez, R., & Achchab, B. (2020). Two-Parameter Stochastic Weibull Diffusion Model: Statistical Inference and Application to Real Modeling Example. Mathematics, 8(2), 160. https://doi.org/10.3390/math8020160
