Hydrodynamical Study of Creeping Maxwell Fluid Flow through a Porous Slit with Uniform Reabsorption and Wall Slip
Abstract
1. Introduction
2. Formulation of the Problem
3. Solution of the Problem
3.1. System of Equations for the 1st Order
3.2. System of Equations for the 2nd Order
3.3. System of Equations for the 3rd Order
- (a)
- The axial velocity is maximum along the center line of the slit as
- (b)
- The maximum radial velocity occurs at the slit walls, i.e.,
- (c)
- The axial flow rate is obtained using the summarized solution asHere, the dependence of on is only due to the presence of , if then
- (d)
- The leakage flux is obtained as
- (e)
- The fractional reabsorption is obtained asThe contribution of in leakage flux is only due to and is only influenced by absorption parameter.
- (f)
- Pressure DistributionHere, we will find out the pressure for each order by utilizing Equations (30) and (31) into Equations (15)–(17) to get the pressure for the first orderEquation (82) on integration with respect to x yieldswhere the unknown function is to be determined as follows:Differentiating Equation (84) with respect to y, and on comparing with Equation (83), givesThen, Equation (84) becomeswhere is the pressure at , i.e., the entrance region of the slit.The mean pressure is obtained asThe pressure drop over slit length L is obtained asSimilarly, we can obtainHere, we note that the pressure field has considerable contribution from viscoelastic effect for the second order even though the velocity field had zero contribution at that order.The summarized forms of total pressure difference, mean pressure and pressure drop are given asWe noticed that , and are varying with slip coefficient , and Maxwell parameter . In the limiting case, when , we recovered the exact expressions of , and of a Newtonian fluid [15].
- (g)
- The wall shear stress is obtained as
- (h)
- The expressions for normal stress differences are given as
4. Discussion
5. Conclusions
- If the Maxwell fluid parameter and slip parameter , then results obtained by Haroon [15] are recovered.
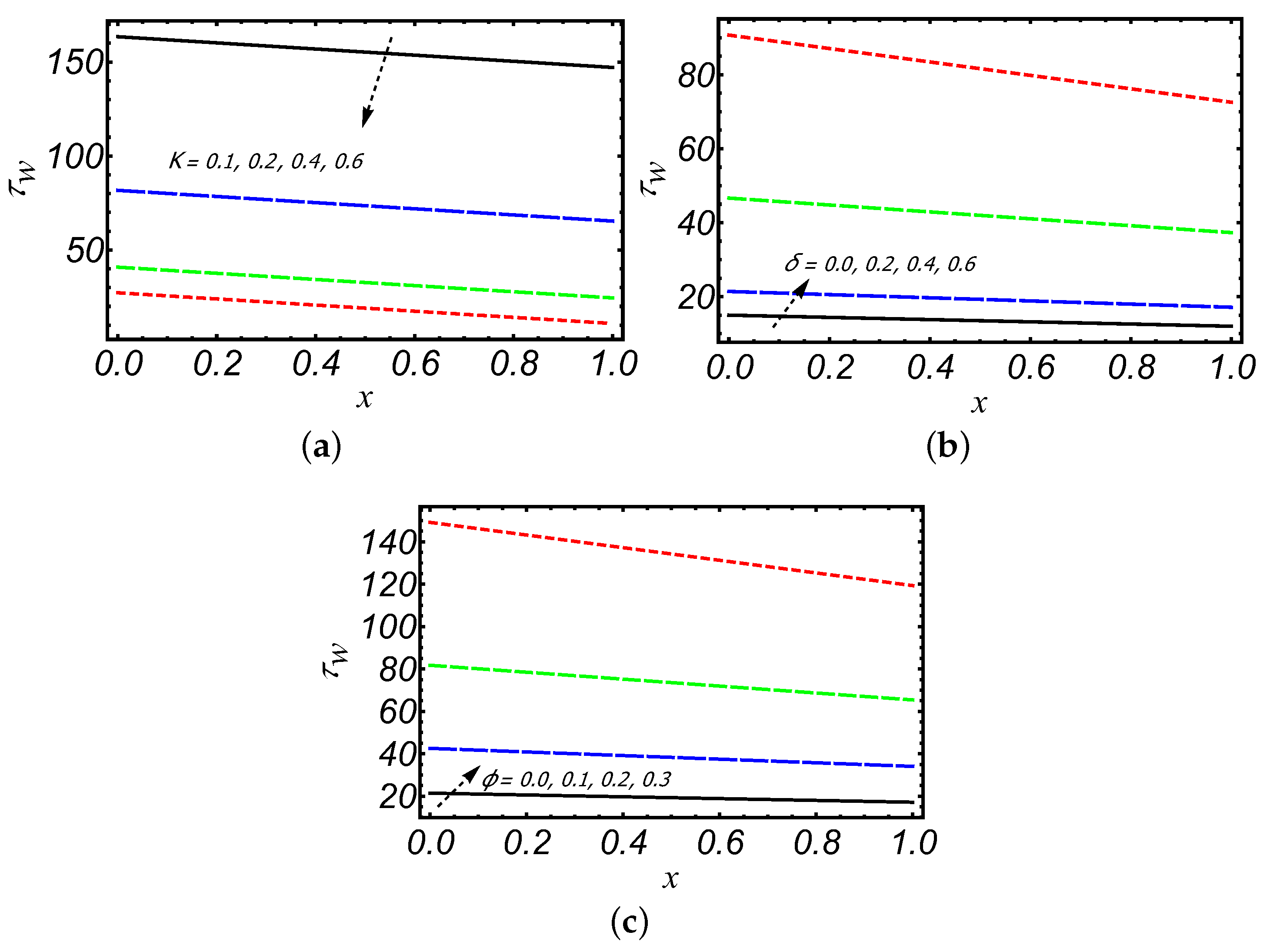
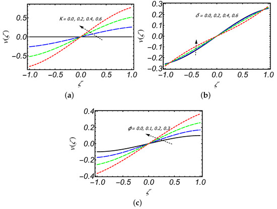
- The axial velocity of creeping Maxwell fluid decreases downstream along the slit length on increasing porosity K and also for increasing values of K, backward flow can be seen near the exit region of the slit.
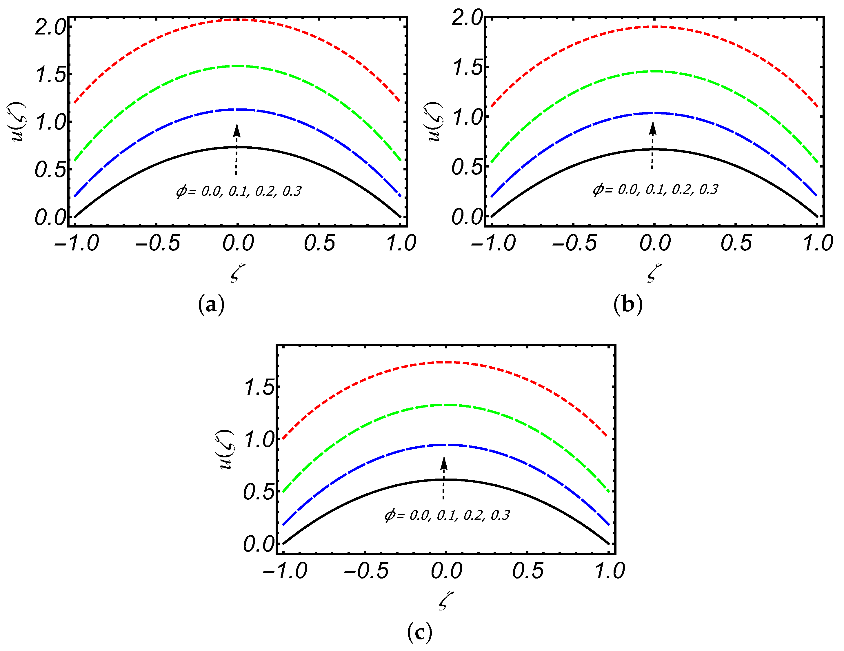
- The axial velocity profile has an increasing behavior near the slit walls and its decreasing trend is observed along the centerline of the slit with increasing .
- The shear thickening and thinning behavior of the Maxwell fluid is observed along centerline and near the walls of the slit, respectively.
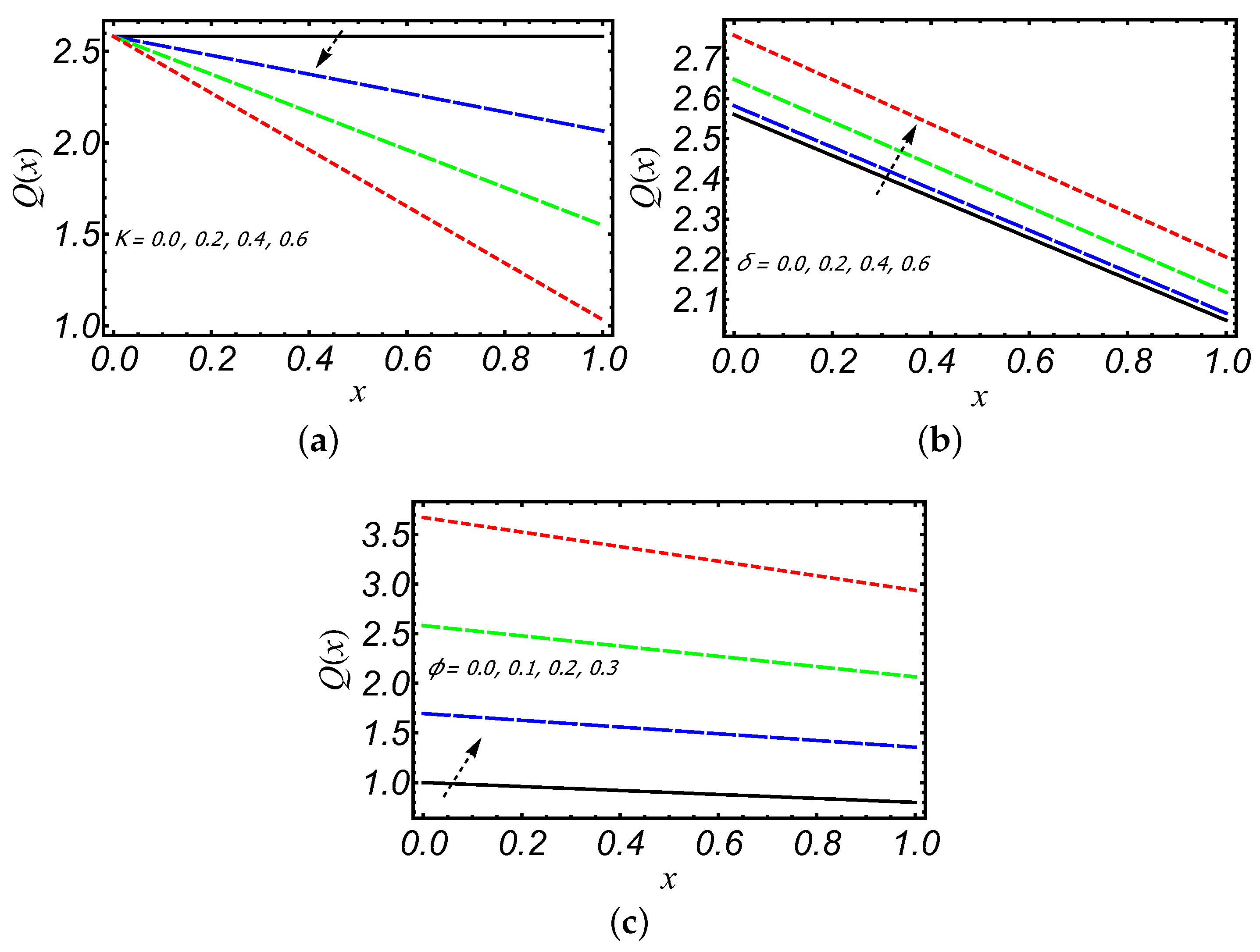
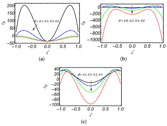
- Along the slit length, the magnitude of decreases as the fluid moves from the entrance to exit region of the slit.
- An increase in axial velocity of a creeping Maxwell fluid is observed due to the increasing value of .
- The slip parameter significantly influenced the magnitude of axial and radial velocities in comparison to other parameters.
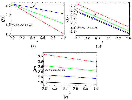
- A decreasing trend in pressure profile for increasing values of and , whereas pressure is increasing with increasing porosity parameter K.
- The wall shear stress is increasing significantly by increasing and , but with K and decreasing.
- The contribution of in axial flow rate and leakage flux is only due to the presence of a slip parameter .
Author Contributions
Funding
Acknowledgments
Conflicts of Interest
Abbreviations
| u, v | Components of velocity field |
| x, y | Cartesian coordinates |
| L | Length of the slit |
| H | Width of slit |
| W | Breadth of slit |
| Uniform velocity | |
| Q | Axial flow rate at any point x |
| Coefficient of viscosity | |
| fluid relaxation time | |
| Maxwell fluid parameter (Deborah number) | |
| K | Porosity parameter |
| Slip parameter | |
| Stream function | |
| Pressure in the slit | |
| Wall shear stress | |
| Normal stresses difference | |
| Leakage flux | |
| Fractional reabsorption |
References
- Nikolay, V. Desalination Engineering: Planning and Design; McGraw-Hill Professional: New York, NY, USA, 2013. [Google Scholar]
- Espedal, M.S.; Mikelic, A. Filtration in Porous Media and Industrial Application: Lectures Given at the 4th Session of the Centro Internazionale Matematico Estivo (CIME) Held in Cetraro, Italy, 24–29 August 1998; Springer: New York, NY, USA, 2007. [Google Scholar]
- Macey, R.I. Pressure flow patterns in a cylinder with reabsorbing walls. Bull. Math. Biophys. 1963, 25, 1–9. [Google Scholar] [CrossRef]
- Macey, R.I. Hydrodynamics in the renal tubule. Bull. Math. Biophys. 1965, 27, 117. [Google Scholar] [CrossRef] [PubMed]
- Marshall, E.; Trowbridge, E. Flow of a Newtonian fluid through a permeable tube: The application to the proximal renal tubule. Bull. Math. Biol. 1974, 36, 457–476. [Google Scholar] [CrossRef]
- Marshall, E.; Trowbridge, E.; Aplin, A. Flow of a Newtonian fluid between parallel flat permeable plates, The application to a flat plate hemodialyzer. Math. Biosci. 1975, 27, 119–139. [Google Scholar] [CrossRef]
- Berman, A.S. Laminar flow in channels with porous walls. J. Appl. Phys. 1953, 24, 1232–1235. [Google Scholar] [CrossRef]
- Sellars, J.R. Laminar flow in channels with porous walls at high suction Reynolds numbers. J. Appl. Phys. 1955, 26, 489–490. [Google Scholar] [CrossRef]
- Yuan, S. Further investigation of laminar flow in channels with porous walls. J. Appl. Phys. 1956, 27, 267–269. [Google Scholar] [CrossRef]
- Wah, T. Laminar flow in a uniformly porous channel. Aeronaut. Q. 1964, 15, 299–310. [Google Scholar] [CrossRef]
- Terrill, R. Laminar flow in a uniformly porous channel with large injection. Aeronaut. Q. 1965, 16, 323–332. [Google Scholar] [CrossRef]
- Karode, S.K. Laminar flow in channels with porous walls revisited. J. Membr. Sci. 2001, 191, 237–241. [Google Scholar] [CrossRef]
- Siddiqui, A.M.; Haroon, T.; Shahzad, A. Hydrodynamics of viscous fluid through porous slit with linear absorption. Appl. Math. Mech. 2016, 37, 361–378. [Google Scholar] [CrossRef]
- Haroon, T.; Siddiqui, A.M.; Shahzad, A. Stokes flow through a slit with periodic reabsorption: An application to renal tubule. Alex. Eng. J. 2016, 55, 1799–1810. [Google Scholar] [CrossRef]
- Haroon, T.; Siddiqui, A.; Shahzad, A. Creeping flow of viscous fluid through a proximal tubule with uniform reabsorption: A mathematical study. Appl. Math. Sci. 2016, 10, 795–807. [Google Scholar] [CrossRef]
- Haroon, T.; Siddiqui, A.; Shahzad, A.; Smeltzer, J. Steady creeping slip flow of viscous fluid through a permeable slit with exponential reabsorption1. Appl. Math. Sci. 2017, 11, 2477–2504. [Google Scholar]
- Rajagopal, K. On the creeping flow of the second-order fluid. J. Non-Newton. Fluid Mech. 1984, 15, 239–246. [Google Scholar] [CrossRef]
- Ullah, H.; Sun, H.; Siddiqui, A.M.; Haroon, T. Creeping flow analysis of slightly non-Newtonian fluid in a uniformly porous slit. J. Appl. Anal. Comput. 2019, 9, 140–158. [Google Scholar] [CrossRef]
- Ullah, H.; Siddiqui, A.M.; Sun, H.; Haroon, T. Slip effects on creeping flow of slightly non-Newtonian fluid in a uniformly porous slit. J. Braz. Soc. Mech. Sci. Eng. 2019, 41, 412. [Google Scholar] [CrossRef]
- Kahshan, M.; Siddiqui, A.; Haroon, T. A micropolar fluid model for hydrodynamics in the renal tubule. Eur. Phys. J. Plus 2018, 133, 546. [Google Scholar] [CrossRef]
- Kahshan, M.; Lu, D.; Siddiqui, A. A Jeffrey fluid model for a porous-walled channel: Application to flat plate dialyzer. Sci. Rep. 2019, 9, 1–18. [Google Scholar] [CrossRef]
- Lu, D.; Kahshan, M.; Siddiqui, A. Hydrodynamical study of micropolar fluid in a porous-walled channel: Application to flat plate dialyzer. Symmetry 2019, 11, 541. [Google Scholar] [CrossRef]
- Langlois, W. A Recursive Approach to the Theory of Slow, Steady-State Viscoelastic Flow. Trans. Soc. Rheol. 1963, 7, 75–99. [Google Scholar] [CrossRef]
- Langlois, W. The recursive theory of slow viscoelastic flow applied to three basic problems of hydrodynamics. Trans. Soc. Rheol. 1964, 8, 33–60. [Google Scholar] [CrossRef]
- Léger, L.; Hervet, H.; Massey, G.; Durliat, E. Wall slip in polymer melts. J. Phys. Condens. Matter 1997, 9, 7719. [Google Scholar] [CrossRef]
- Atwood, B.; Schowalter, W. Measurements of slip at the wall during flow of high-density polyethylene through a rectangular conduit. Rheol. Acta 1989, 28, 134–146. [Google Scholar] [CrossRef]
- Beavers, G.S.; Joseph, D.D. Boundary conditions at a naturally permeable wall. J. Fluid Mech. 1967, 30, 197–207. [Google Scholar] [CrossRef]
- Saffman, P.G. On the boundary condition at the surface of a porous medium. Stud. Appl. Math. 1971, 50, 93–101. [Google Scholar] [CrossRef]
- Beavers, G.S.; Sparrow, E.M.; Magnuson, R.A. Experiments on coupled parallel flows in a channel and a bounding porous medium. J. Basic Eng. 1970, 92, 843–848. [Google Scholar] [CrossRef]
- Kohler, J.T. An Investigation of Laminar Flow through a Porous Walled Channel: I. A Perturbation Solution Assuming Slip at the Permeable Wall. II. An Experimental Measurement of the Velocity Distribution Utilizing a Dye Tracer Technique. Ph.D. Thesis, University of Massachusetts Amherst, Amherst, MA, USA, 1974. [Google Scholar]
- Mikelic, A.; Jäger, W. On the interface boundary condition of Beavers, Joseph, and Saffman. SIAM J. Appl. Math. 2000, 60, 1111–1127. [Google Scholar] [CrossRef]
- Rao, I.; Rajagopal, K. The effect of the slip boundary condition on the flow of fluids in a channel. Acta Mech. 1999, 135, 113–126. [Google Scholar] [CrossRef]
- Elshahed, M. Blood flow in capillary under starling hypothesis. Appl. Math. Comput. 2004, 149, 431–439. [Google Scholar] [CrossRef]
- Singh, R.; Laurence, R.L. Influence of slip velocity at a membrane surface on ultrafiltration performance I. Channel flow system. Int. J. Heat Mass Transf. 1979, 22, 721–729. [Google Scholar] [CrossRef]
- Makinde, O.; Osalusi, E. MHD steady flow in a channel with slip at the permeable boundaries. Rom. J. Phys. 2006, 51, 319. [Google Scholar]
- Eldesoky, I.M. Unsteady MHD pulsatile blood flow through porous medium in a stenotic channel with slip at the permeable walls subjected to time dependent velocity (injection/suction). In Proceedings of the International Conference on Mathematics and Engineering Physics, Kobry Elkobbah, Egypt, 29–31 May 2014; Volume 7, pp. 1–25. [Google Scholar]
- El-Shehawy, E.; El-Dabe, N.; El-Desoky, I. Slip effects on the peristaltic flow of a non-Newtonian Maxwellian fluid. Acta Mech. 2006, 186, 141–159. [Google Scholar] [CrossRef]
- Ellahi, R. Effects of the slip boundary condition on non-Newtonian flows in a channel. Commun. Nonlinear Sci. Numer. Simul. 2009, 14, 1377–1384. [Google Scholar] [CrossRef]
- Hron, J.; Le Roux, C.; Málek, J.; Rajagopal, K. Flows of incompressible fluids subject to Naviers slip on the boundary. Comput. Math. Appl. 2008, 56, 2128–2143. [Google Scholar] [CrossRef]
- Hayat, T.; Khan, M.; Ayub, M. The effect of the slip condition on flows of an Oldroyd 6-constant fluid. J. Comput. Appl. Math. 2007, 202, 402–413. [Google Scholar] [CrossRef][Green Version]
- Rajagopal, K.R.; Srinivasa, A.R. A thermodynamic frame work for rate type fluid models. J. Non-Newton. Fluid Mech. 2000, 88, 207–227. [Google Scholar] [CrossRef]
- Choi, J.; Rusak, Z.; Tichy, J. Maxwell fluid suction flow in a channel. J. Non-Newton. Fluid Mech. 1999, 85, 165–187. [Google Scholar] [CrossRef]
- Sadeghy, K.; Najafi, A.H.; Saffaripour, M. Sakiadis flow of an upper-convected Maxwell fluid. Int. J. Non-Linear Mech. 2005, 40, 1220–1228. [Google Scholar] [CrossRef]
- Abbas, Z.; Sajid, M.; Hayat, T. MHD boundary-layer flow of an upper-convected Maxwell fluid in a porous channel. Theor. Comput. Fluid Dyn. 2006, 20, 229–238. [Google Scholar] [CrossRef]
- Bhatti, K.; Siddiqui, A.M.; Bano, Z. Application of Recursive Theory of Slow Viscoelastic Flow to the Hydrodynamics of Second-Order Fluid Flowing through a Uniformly Porous Circular Tube. Mathematics 2020, 8, 1170. [Google Scholar] [CrossRef]













Publisher’s Note: MDPI stays neutral with regard to jurisdictional claims in published maps and institutional affiliations. |
© 2020 by the authors. Licensee MDPI, Basel, Switzerland. This article is an open access article distributed under the terms and conditions of the Creative Commons Attribution (CC BY) license (http://creativecommons.org/licenses/by/4.0/).
Share and Cite
Ullah, H.; Lu, D.; Siddiqui, A.M.; Haroon, T.; Maqbool, K. Hydrodynamical Study of Creeping Maxwell Fluid Flow through a Porous Slit with Uniform Reabsorption and Wall Slip. Mathematics 2020, 8, 1852. https://doi.org/10.3390/math8101852
Ullah H, Lu D, Siddiqui AM, Haroon T, Maqbool K. Hydrodynamical Study of Creeping Maxwell Fluid Flow through a Porous Slit with Uniform Reabsorption and Wall Slip. Mathematics. 2020; 8(10):1852. https://doi.org/10.3390/math8101852
Chicago/Turabian StyleUllah, Hameed, Dianchen Lu, Abdul Majeed Siddiqui, Tahira Haroon, and Khadija Maqbool. 2020. "Hydrodynamical Study of Creeping Maxwell Fluid Flow through a Porous Slit with Uniform Reabsorption and Wall Slip" Mathematics 8, no. 10: 1852. https://doi.org/10.3390/math8101852
APA StyleUllah, H., Lu, D., Siddiqui, A. M., Haroon, T., & Maqbool, K. (2020). Hydrodynamical Study of Creeping Maxwell Fluid Flow through a Porous Slit with Uniform Reabsorption and Wall Slip. Mathematics, 8(10), 1852. https://doi.org/10.3390/math8101852

