The Combined Estimator for Stochastic Equations on Graphs with Fractional Noise
Abstract
1. Introduction
2. Problem Setup
3. Preliminaries
3.1. Fractional Brownian Motion and Its Calculus
3.2. Solution to sEE in Physical and Frequency Domain
4. Combined Estimator
4.1. Combined Estimator in Physical Domain
4.2. Combined Estimator in Diagonal Case
4.3. Consistency of the Combined Estimator in Diagonal Case
5. Simulation Study
5.1. Algorithm for Simulations
- Simulate N-dimensional cylindrical fBm as N independent real-valued fBm.
- Calculate by formula (12).
- Find eigenvalues and eigenvectors of .
- Transform initial condition into frequency domain .
- Calculate the whole solution in the frequency domain by formula (14).
- Transform the solution back to physical domain by .
5.2. Examples
5.3. Results and Discussion
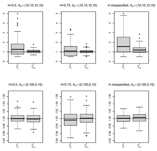
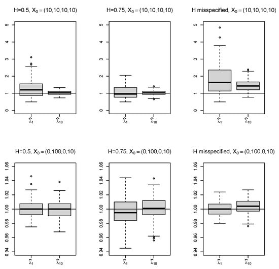
5.3.1. Examples 1 and 2
5.3.2. Example 3
6. Conclusions
Author Contributions
Funding
Acknowledgments
Conflicts of Interest
References
- Mesbahi, M.; Egerstedt, M. Graph Theoretic Methods in Multiagent Networks (Princeton Series in Applied Mathematics); Princeton University Press: Princeton, NJ, USA, 2010. [Google Scholar]
- Bonaccorsi, S.; Mugnolo, D. Existence of strong solutions for neuronal network dynamics driven by fractional Brownian motions. Stoch. Dyn. 2010, 10. [Google Scholar] [CrossRef]
- Mishura, Y. Stochastic Calculus for Fractional Brownian Motion and Related Processes; Springer: Berlin/Heidelberg, Germany, 2008. [Google Scholar]
- Biagini, F.; Hu, Y.; Øksendal, B.; Zhang, T. Stochastic Calculus for Fractional Brownian Motion and Applications; Springer: London, UK, 2008. [Google Scholar]
- Zhang, Z.; Karniadakis, G.E. Numerical Methods for Stochastic Partial Differential Equations with White Noise; Springer International Publishing AG: Cham, Switzerland, 2017. [Google Scholar] [CrossRef]
- Kutoyants, Y. Statistical Inference for Ergodic Diffusion Processes; Springer: London, UK, 2004. [Google Scholar]
- Cialenco, I. Statistical inference for SPDEs: An overview. Stat. Inference Stoch. Process. 2018, 21, 309–329. [Google Scholar] [CrossRef]
- Kubilius, K.; Mishura, Y.; Ralchenko, K. Parameter Estimation in Fractional Diffusion Models; Springer International Publishing AG: Cham, Switzerland, 2017. [Google Scholar]
- Prakasa Rao, B.L.S. Statistical Inference for Fractional Diffusion Processes; John Wiley & Sons: Chichester, UK, 2010. [Google Scholar]
- Estrada, E. d-Path Laplacians and Quantum Transport on Graphs. Mathematics 2020, 8, 527. [Google Scholar] [CrossRef]
- Markussen, B. Likelihood inference for a discretely observed stochastic partial differential equation. Bernoulli 2003, 9, 745–762. [Google Scholar] [CrossRef]
- Cialenco, I.; Delgado-Vences, F.; Kim, H. Drift estimation for discretely sampled SPDEs. Stoch. Partial. Differ. Equ. Anal. Comput. 2020. [Google Scholar] [CrossRef]
- Hildebrandt, F.; Trabs, M. Parameter estimation for SPDEs based on discrete observations in time and space. arXiv 2019, arXiv:1910.01004. [Google Scholar]
- Kříž, P.; Maslowski, B. Central limit theorems and minimum-contrast estimators for linear stochastic evolution equations. Stochastics 2019, 91, 1109–1140. [Google Scholar] [CrossRef]
- Kříž, P.; Szała, L. Least-Squares Estimators of Drift Parameter for Discretely Observed Fractional Ornstein-Uhlenbeck Processes. Mathematics 2020, 8, 716. [Google Scholar] [CrossRef]
- Istas, J.; Lang, G. Quadratic variations and estimation of the local Hölder index of a Gaussian process. Ann. l’Inst. Henri Poincare (B) Probab. Stat. 1997, 33, 407–436. [Google Scholar] [CrossRef]
- Coeurjolly, J. Hurst exponent estimation of locally self-similar Gaussian processes using sample quantiles. Ann. Stat. 2008, 36, 1404–1434. [Google Scholar] [CrossRef]
- Rosenbaum, M. Estimation of the volatility persistence in a discretely observed diffusion model. Stoch. Process. Appl. 2008, 118, 1434–1462. [Google Scholar] [CrossRef]
- Brouste, A.; Iacus, S. Parameter estimation for the discretely observed fractional Ornstein-Uhlenbeck process and the Yuima R package. Comput. Stat. 2013, 28, 1529–1547. [Google Scholar] [CrossRef]
- Pipiras, V.; Taqqu, M. Integration questions related to fractional Brownian motion. Probab. Theory Relat. Fields 2000, 118, 251–291. [Google Scholar] [CrossRef]
- Duncan, T.E.; Pasik-Duncan, B.; Maslowski, B. Fractional Brownian motion and stochastic equations in Hilbert spaces. Stoch. Dyn. 2002, 2, 225–250. [Google Scholar] [CrossRef]
- Pasik-Duncan, B.; Duncan, T.E.; Maslowski, B. Linear stochastic equations in a Hilbert space with a fractional Brownian motion. Int. Ser. Oper. Res. Manag. Sci. 2006, 94, 201–222. [Google Scholar] [CrossRef]
- Tindel, S.; Tudor, C.; Viens, F. Stochastic evolution equations with fractional Brownian motion. Probab. Theory Relat. Fields 2003, 127, 186–204. [Google Scholar] [CrossRef]
- Beran, J.; Feng, Y.; Ghosh, S.; Kulik, R. Long-Memory Processes: Probabilistic Properties and Statistical Methods; Springer: Berlin/Heidelberg, Germany, 2013. [Google Scholar]







| Initial Condition | T | H | Example 1 | Example 2 |
|---|---|---|---|---|
| (0, 100, 0, 10) | 1 | 0.5 | 0.0132944 | 0.0126748 |
| (0, 100, 0, 10) | 1 | 0.75 | 0.0227583 | 0.0201745 |
| (0, 100, 0, 10) | 10 | 0.5 | 0.0134145 | 0.0125359 |
| (0, 100, 0, 10) | 10 | 0.75 | 0.019374 | 0.016389 |
| (0, 100, 0, 10) | 100 | 0.75 | 0.0180549 | 0.016476 |
| (0, 100, 0, 10) | 1 | misspecified | 0.0118246 | 0.0101789 |
| (0, 100, 0, 10) | 10 | misspecified | 0.0128522 | 0.0114258 |
| (10, 10, 10, 10) | 1 | 0.5 | 1.04229 | 0.637036 |
| (10, 10, 10, 10) | 1 | 0.75 | 0.654375 | 0.396853 |
| (10, 10, 10, 10) | 10 | 0.5 | 0.215363 | 0.139379 |
| (10, 10, 10, 10) | 10 | 0.75 | 0.217963 | 0.157472 |
| (10, 10, 10, 10) | 100 | 0.75 | 0.0714899 | 0.0515372 |
| (10, 10, 10, 10) | 1 | misspecified | 1.46259 | 1.18714 |
| (10, 10, 10, 10) | 10 | misspecified | 0.461442 | 0.568978 |
| N | RMSE |
|---|---|
| 3 | 0.999612 |
| 5 | 0.756201 |
| 10 | 0.508276 |
| 20 | 0.472542 |
© 2020 by the authors. Licensee MDPI, Basel, Switzerland. This article is an open access article distributed under the terms and conditions of the Creative Commons Attribution (CC BY) license (http://creativecommons.org/licenses/by/4.0/).
Share and Cite
Kříž, P.; Szała, L. The Combined Estimator for Stochastic Equations on Graphs with Fractional Noise. Mathematics 2020, 8, 1766. https://doi.org/10.3390/math8101766
Kříž P, Szała L. The Combined Estimator for Stochastic Equations on Graphs with Fractional Noise. Mathematics. 2020; 8(10):1766. https://doi.org/10.3390/math8101766
Chicago/Turabian StyleKříž, Pavel, and Leszek Szała. 2020. "The Combined Estimator for Stochastic Equations on Graphs with Fractional Noise" Mathematics 8, no. 10: 1766. https://doi.org/10.3390/math8101766
APA StyleKříž, P., & Szała, L. (2020). The Combined Estimator for Stochastic Equations on Graphs with Fractional Noise. Mathematics, 8(10), 1766. https://doi.org/10.3390/math8101766

