On the Stability of Linear Incommensurate Fractional-Order Difference Systems
Abstract
1. Introduction
2. Preliminaries
3. Stability Analysis of the Linear Incommensurate FoDS
- If all roots of the following characteristic equation:lie inside the unit disk, then the zero solution of system (5) is asymptotically stable.
- If there exists a zero, say , of (9) such that , then the zero solution of system (5) is not stable.
- Asymptotically stable if any zero solution of the polynomial:lies inside the setwhere and where
- Not stable, furthermore, if there is a zero, say ξ, of (22) such that .
- Step 1: (Defining the stability boundary). Consider the following curve:which defines the stability boundary for system (5) and also describes its structure. Suppose and , for and , and also suppose , where . Then,This equation, after the imaginary and real parts are equated, will be turned into the following two components:Observe that, when , then . Otherwise, we have:In view of the fact that:we can write r and as and , respectively. From here, we obtain:Observe that setting will turn to be as follows:One can use the polar form represented by ), where , to obtain:
- Step 2: (Showing that maps the set onto , with noting that ). In view of the Open Mapping Theorem, and since is nonconstant holomorphic on , then it maps to an open set. In other words, we have a neighborhood of included in , . This implies that the boundary of can not be mapped by any point of . This means that . Similarly, one can prove that , where . In view of (see the previous step), and also in view of the continuity of , the above arguments imply that .
- Step 3: For the purpose of showing the other part this theorem, we first assume that there is a solution of (22) with . This implies that is a solution of (9) with . Thus, we can deduce, in view of Theorem 3, that there is an instability of the zero solution of system (5). On the other hand, if each solution of (22) belongs to , then all solutions of (9) will belong to , which makes the zero solution of system (5), via Theorem 3, asymptotically stable, as required.
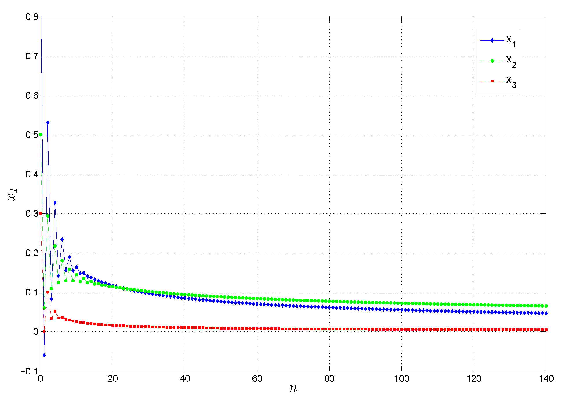
4. Numerical Simulations
5. Conclusions and Future Works
Author Contributions
Funding
Conflicts of Interest
References
- Sun, H.; Chen, W.; Chen, Y. Variable–order fractional differential operators in anomalous diffusion modeling. Phys. Stat. Mech. Its Appl. 2009, 388, 4586–4592. [Google Scholar] [CrossRef]
- Wang, Y.; Gu, L.; Xu, Y.; Cao, X. Practical tracking control of robot manipulators with continuous fractional-order nonsingular terminal sliding mode. IEEE Trans. Ind. Electron. 2016, 63, 6194–6204. [Google Scholar] [CrossRef]
- Machado, J.; Mata, M.E. A fractional perspective to the bond graph modeling of world economies. Nonlinear Dyn. 2015, 80, 1839–1852. [Google Scholar] [CrossRef]
- Mozyrska, D.; Wyrwas, M. Stability analysis of discrete-time fractional-order Caputo-type Lorenz system. In Proceedings of the 2019 42nd International Conference on Telecommunications and Signal Processing (TSP), Budapest, Hungary, 3–5 July 2019. [Google Scholar]
- May, R.M. Simple mathematical models with very complicated dynamics. Nature 1976, 261, 459–467. [Google Scholar] [CrossRef] [PubMed]
- Diaz, J.B.; Olser, T.J. Differences of fractional order. Math. Comput. 1974, 28, 185–202. [Google Scholar] [CrossRef]
- Srivastava, H.M.; Owa, S. Univalent Functions, Fractional Calculus, and Their Applications; Ellis Horwood Ltd.: Hertfordshire, UK, 1989. [Google Scholar]
- Jarad, F.; Taş, K. On Sumudu transform method in discrete fractional calculus. Abstr. Appl. Anal. 2012, 2012, 270106. [Google Scholar] [CrossRef]
- Hilfer, R. Applications of Fractional Calculus in Physics; World Scientific Publishing Company: Singapore, 2000. [Google Scholar]
- Kilbas, A.A.; Srivastava, H.M.; Trujillo, J.J. Theory and Applications of Fractional Differential Equations; North-Holland Mathematics Studies, 204; Elsevier: Amsterdam, The Netherlands, 2006. [Google Scholar]
- Podlubny, I. Fractional Differential Equations; Academic Press: San Diego, CA, USA, 1999. [Google Scholar]
- Mozyrska, D.; Wyrwas, M. Solutions of fractional linear difference systems with Riemann–Liouville–type operator via transform method. In Proceedings of the ICFDA’14 International Conference on Fractional Differentiation and Its Applications, Catania, Italy, 23–25 June 2014. [Google Scholar]
- Mozyrska, D.; Ostalczyk, P.; Wyrwas, M. Stability conditions for fractional-order linear equations with delays. Bull. Pol. Acad. Sci. Tech. Sci. 2018, 66, 449–454. [Google Scholar]
- Mozyrska, D.; Wyrwas, M. The Z-transform method and delta type fractional difference operators. Discret. Dyn. Nat. Soc. 2015, 2015, 852734. [Google Scholar] [CrossRef]
- Abu-Saris, R.; Al-Mdallal, Q. On the asymptotic stability of linear system of fractional-order difference equations. Int. J. Theory Appl. Fract. Calc. Appl. Anal. 2013, 16, 613–629. [Google Scholar] [CrossRef]
- Mozyrska, D.; Wyrwas, M. Explicit criteria for stability of two-dimensional fractional difference systems. Int. J. Dynam. Control 2017, 5, 4–9. [Google Scholar] [CrossRef]
- Čermák, J.; Gyori, I.; Nechvátal, L. On explicit stability conditions for a linear farctional difference system. Fract. Calc. Appl. Anal. 2015, 18, 651–672. [Google Scholar] [CrossRef]
- Atici, F.M.; Eloe, P.W. Linear systems of fractional nabla difference equations. Rocky Mt. J. Math. 2011, 41, 353–370. [Google Scholar] [CrossRef]
- Chen, F. Fixed points and asymptotic stability of nonlinear fractional difference equations. El. J. Qualit. Theory Differ. Equ. 2011, 39, 1–18. [Google Scholar] [CrossRef]
- Abdeljawad, T. On Riemann and Caputo fractional differences. Comput. Math. Appl. 2011, 62, 1602–1611. [Google Scholar] [CrossRef]
- Elaydi, S.; Murakami, S. Asymptotic stability versus exponential stability in linear volterra difference equations of convolution type. J. Differ. Equ. Appl. 1996, 940, 35–46. [Google Scholar] [CrossRef]


© 2020 by the authors. Licensee MDPI, Basel, Switzerland. This article is an open access article distributed under the terms and conditions of the Creative Commons Attribution (CC BY) license (http://creativecommons.org/licenses/by/4.0/).
Share and Cite
Djenina, N.; Ouannas, A.; Batiha, I.M.; Grassi, G.; Pham, V.-T. On the Stability of Linear Incommensurate Fractional-Order Difference Systems. Mathematics 2020, 8, 1754. https://doi.org/10.3390/math8101754
Djenina N, Ouannas A, Batiha IM, Grassi G, Pham V-T. On the Stability of Linear Incommensurate Fractional-Order Difference Systems. Mathematics. 2020; 8(10):1754. https://doi.org/10.3390/math8101754
Chicago/Turabian StyleDjenina, Noureddine, Adel Ouannas, Iqbal M. Batiha, Giuseppe Grassi, and Viet-Thanh Pham. 2020. "On the Stability of Linear Incommensurate Fractional-Order Difference Systems" Mathematics 8, no. 10: 1754. https://doi.org/10.3390/math8101754
APA StyleDjenina, N., Ouannas, A., Batiha, I. M., Grassi, G., & Pham, V.-T. (2020). On the Stability of Linear Incommensurate Fractional-Order Difference Systems. Mathematics, 8(10), 1754. https://doi.org/10.3390/math8101754

