The Training and Use of ICT in Teaching Perceptions of Melilla’s (Spain) Mathematics Teachers
Abstract
1. Introduction
1.1. The Teaching of Mathematics
1.2. ICT in the Teaching of Mathematics
1.3. ICT Training for Mathematics Teachers
1.4. ICT Use by Mathematics Teachers
1.5. Justification
2. Materials and Methods
2.1. Procedure
2.2. Statistical Analyses
- The inflated value of the variance was analyzed. Since no vif was greater than 0.8, no variables needed to be removed.
- The data were standardized for the PCA.
- To optimally represent a set of variables and individuals (or cases);
- To transform original variables that are generally correlated into new uncorrelated variables, facilitating the interpretation of the data (reducing the dimensionality of the data);
- To define which variables contribute the most as a source of variability;
- To determine which variables are related to each other and which ones are not;
- To identify if the set of variables describes an important structure or is only random noise.
3. Results
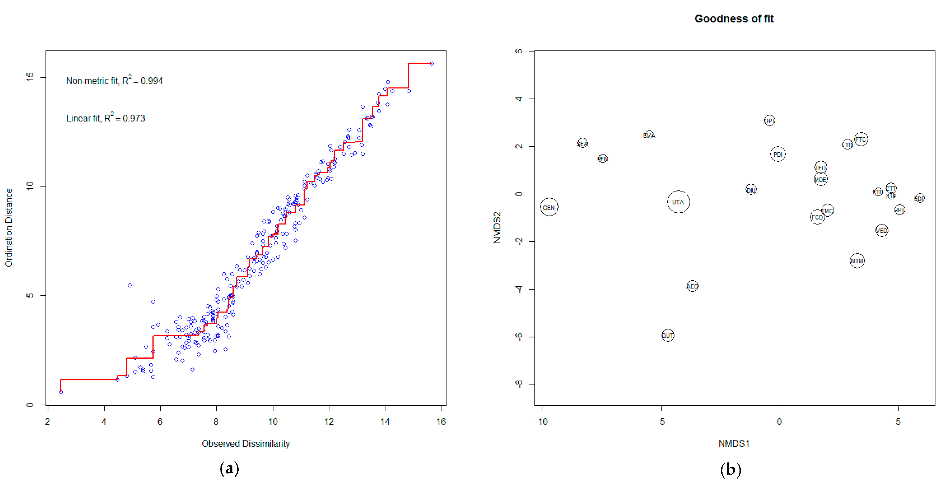
- If there were no dependent variables, the metaMDS package was used, which is applicable to unsupervised regressions.
- The NMDS goodness of fit was multiplied by 200 for graphical representation.
4. Discussion
5. Conclusions
Author Contributions
Funding
Conflicts of Interest
References
- Alonso-Garcia, S.; Aznar-Diaz, I.; Caceres-Reche, M.P.; Trujillo-Torres, J.M.; Romero-Rodriguez, J.M. Systematic Review of Good Teaching Practices with ICT in Spanish Higher Education. Trends and Challenges for Sustainability. Sustainability 2019, 11, 7150. [Google Scholar] [CrossRef]
- Fernandes, G.W.R.; Rodrigues, A.M.; Ferreira, C.A. Professional development and use of digital technologies by science teachers: A review of theoretical frameworks. Res. Sci. Educ. 2018, 50, 1–36. [Google Scholar] [CrossRef]
- Ahmad, N.; Hoda, N.; Alahmari, F. Developing a Cloud-Based Mobile Learning Adoption Model to Promote Sustainable Education. Sustainability 2020, 12, 3126. [Google Scholar] [CrossRef]
- Prendes-Espinosa, M.-P.; Garcia-Tudela, P.-A.; Solano-Fernandez, I.-M. Gender equality and ICT in the context of formal education: A systematic review. Comunicar 2020, 28, 9–20. [Google Scholar] [CrossRef]
- Gui, M.; Parma, A.; Comi, S. Does Public Investment in ICTs Improve Learning Performance? Evidence from Italy. Policy Internet 2018, 10, 141–163. [Google Scholar] [CrossRef]
- INE. Estadística de la Sociedad de la Información y la Comunicación en los Centros Educativos no Universitarios. Curso 2018–2019; Instituto Nacional de Estadística: Madrid, Spain, 2020.
- Nevado Pena, D.; Lopez Ruiz, V.R.; Alfaro Navarro, J.L. An analysis of the key role of human and technological development in the smart specialization of smart European regions. Inf. Technol. Dev. 2019. [Google Scholar] [CrossRef]
- Griffith, S.F.; Hagan, M.B.; Heymann, P.; Heflin, B.H.; Bagner, D.M. Apps as Learning Tools: A Systematic Review. Pediatrics 2020, 145. [Google Scholar] [CrossRef]
- Dalby, D. Professional learning through collaborative research in mathematics. Prof. Dev. Educ. 2019, 15. [Google Scholar] [CrossRef]
- Andersen, S.C.; Beuchert, L.; Nielsen, H.S.; Thomsen, M.K. The Effect of Teacher’s Aides in the Classroom: Evidence from a Randomized Trial. J. Eur. Econ. Assoc. 2020, 18, 469–505. [Google Scholar] [CrossRef]
- Mikropoulos, T.A. Research on E-Learning and ICT in Education: Technological, Pedagogical and Instructional Perspectives; Springer: Berlin, Germany, 2018. [Google Scholar]
- Alemayehu, G.; Natarajan, M. Impact of ICT facility on student’s academic performance in Jimma University, Ethiopia. Int. J. Inf. Dissem. Technol. 2018, 8, 136–142. [Google Scholar] [CrossRef]
- Guillén-Gámez, F.D.; Mayorga-Fernández, M.J. Identification of Variables that Predict Teachers’ Attitudes toward ICT in Higher Education for Teaching and Research: A Study with Regression. Sustainability 2020, 12, 1312. [Google Scholar] [CrossRef]
- Chen, I.H.; Gamble, J.H.; Lee, Z.-H.; Fu, Q.-L. Formative assessment with interactive whiteboards: A one-year longitudinal study of primary students’ mathematical performance. Comp. Educ. 2020, 150. [Google Scholar] [CrossRef]
- Mercader, C. Explanatory model of barriers to integration of digital technologies in higher education institutions. Educ. Inf. Technol. 2020. [Google Scholar] [CrossRef]
- Podolsky, A.; Kini, T.; Darling-Hammond, L. Does teaching experience increase teacher effectiveness? A review of US research. J. Prof. Cap. Community 2019, 4, 286–308. [Google Scholar] [CrossRef]
- Sánchez-Prieto, J.C.; Huang, F.; Olmos-Miguelanez, S.; Garcia-Penalvo, F.J.; Teo, T. Exploring the unknown: The effect of resistance to change and attachment on mobile adoption among secondary pre-service teachers. Br. J. Educ. Technol. 2019, 50, 2433–2449. [Google Scholar] [CrossRef]
- Gispert, H. Mathematics education in France: 1800–1980. In Handbook on the History of Mathematics Education; Springer: Berlin, Germany, 2014; pp. 229–240. [Google Scholar]
- Flegas, K.; Charalampos, L. Exploring Logical Reasoning and Mathematical Proof in Grade 6 Elementary School Students. Can. J. Sci. Math. Technol. Educ. 2013, 13, 70–89. [Google Scholar] [CrossRef]
- Butlen, D.; Masselot, P. Challenges and modalities of formation for the teachers of the schools in didactics of mathematics. Can. J. Sci. Math. Technol. Educ. 2019, 19, 91–106. [Google Scholar] [CrossRef]
- Chevallard, Y. La Transposición Didáctica, 2ª Reimp; Aique Grupo Editor: Buenos Aires, Argentina, 2005. [Google Scholar]
- Chevallard, Y. La Transposición Didáctica, Del Saber Sabio al Saber Enseñado; Aique Grupo Editor: Buenos Aires, Argentina, 1991; Volume 3. [Google Scholar]
- Cardelli, J. Reflexiones críticas sobre el concepto de Transposición Didáctica de Chevallard. Cuad. Antropol. Soc. 2004. [Google Scholar] [CrossRef]
- Brousseau, G. The Study of the Didactical Conditions of School Learning in Mathematics. In Activity Sign; Springer: Boston, MA, USA, 2005; pp. 159–168. [Google Scholar] [CrossRef]
- Trouche, L.; Monaghan, J.; Borwein, J.M. Didactics of Mathematics: Concepts, Roots, Interactions and Dynamics from France; Springer: Berlin, Germany, 2016; Volume 110, pp. 219–256. [Google Scholar]
- Ferraro, S. Is information and communication technology satisfying educational needs at school? Comp. Educ. 2018, 122, 194–204. [Google Scholar] [CrossRef]
- Konnova, L.; Lipagina, L.; Postovalova, G.; Rylov, A.; Stepanyan, I. Designing Adaptive Online Mathematics Course Based on Individualization Learning. Educ. Sci. 2019, 9, 182. [Google Scholar] [CrossRef]
- Mora, H.; Signes-Pont, M.T.; Fuster-Guillo, A.; Pertegal-Felices, M.L. A collaborative working model for enhancing the learning process of science & engineering students. Comp. Human Behav. 2020, 103, 140–150. [Google Scholar] [CrossRef]
- Sánchez-Prieto, J.; Trujillo-Torres, J.M.; Gómez-García, M.; Gómez-García, G. Gender and Digital Teaching Competence in Dual Vocational Education and Training. Educ. Sci. 2020, 10, 84. [Google Scholar] [CrossRef]
- Hershkovitz, A.; Baruch, A.F. La relación profesor-alumno y la comunicación en Facebook: Percepciones de los alumnos. Comunicar: Rev. Cient. Iberoam. Comun. Educ. 2017, 53, 91–101. [Google Scholar]
- Trouche, L.; Rocha, K.; Gueudet, G.; Pepin, B. Transition to digital resources as a critical process in teachers’ trajectories: The case of Anna’s documentation work. Zdm-Math. Educ. 2020. [Google Scholar] [CrossRef]
- Moreno-Armella, L.; Hegedus, S. From static to dynamic mathematics: Historical and representational perspectives. In The SimCalc Vision and Contributions; Springer: Berlin, Germany, 2013; pp. 27–45. [Google Scholar]
- Moyer-Packenham, P.S.; Westenskow, A. Effects of virtual manipulatives on student achievement and mathematics learning. Int. J. Virtual Pers. Learn. Environ. 2013, 4, 35–50. [Google Scholar] [CrossRef]
- Fiorella, L.; Kuhlmann, S.; Vogel-Walcutt, J.E.J. Effects of Playing an Educational Math Game That Incorporates Learning by Teaching. J. Educ. Comp. Res. 2019, 57, 1495–1512. [Google Scholar] [CrossRef]
- Gomez, T.; Moron, C.; Ferrandez, D.; Saiz, P.; Garrido, R. Gamification in the Education: The Benefits of Learning through Play. In Proceedings of the Inted2017: 11th International Technology, Education and Development Conference, Valencia, Spain, 6–8 March 2017; pp. 1051–1060. [Google Scholar]
- Sinclair, N. Generations of research on new technologies in mathematics education. Teach. Math. Appl.: Int. J. IMA 2014, 33, 166–178. [Google Scholar] [CrossRef]
- Birgin, O.; Acar, H. The effect of computer-supported collaborative learning using GeoGebra software on 11th grade students’ mathematics achievement in exponential and logarithmic functions. Int. J. Math. Educ. Sci. Technol. 2020. [Google Scholar] [CrossRef]
- Angeli, C.; Giannakos, M. Computational thinking education: Issues and challenges. Comp. Human Behav. 2020, 105. [Google Scholar] [CrossRef]
- DeJarnette, A.F. Students’ challenges with symbols and diagrams when using a programming environment in mathematics. Digit. Exp. Math. Educ. 2019, 5, 36–58. [Google Scholar] [CrossRef]
- Korkmaz, Ö. The effect of scratch-and lego mindstorms Ev3-Based programming activities on academic achievement, problem-solving skills and logical-mathematical thinking skills of students. Malays. Online J. Educ. Sci. 2018, 4, 73–88. [Google Scholar]
- Smith, C.P.; Neumann, M.D. Scratch it out! Enhancing geometrical understanding. Teach. Child. Math. 2014, 21, 185–188. [Google Scholar] [CrossRef]
- Anderson-Pence, K.L. Examining the Impact of DIfferent Virtual Manipulative Types on the Nature of Students’ SMall-Group Discussions: An Exploratory Mixed-Methods Case Study of Techno-Mathematical Discourse. Ph.D. Thesis, Utah State University, Logan, UT, USA, 2014. [Google Scholar]
- Liu, Q.; Geertshuis, S.; Grainger, R. Understanding academics’ adoption of learning technologies: A systematic review. Comp. Educ. 2020, 151. [Google Scholar] [CrossRef]
- Semerci, A.; Aydin, M.K. Examining High School Teachers’ Attitudes towards ICT Use in Education. Int. J. Prog. Educ. 2018, 14, 93–105. [Google Scholar] [CrossRef]
- Silva, J.B.; Silva, I.N.; Bilessimo, S. Technological Structure for Technology Integration in the Classroom, Inspired by the Maker Culture. J. Inf. Technol. Educ.-Res. 2020, 19, 167–204. [Google Scholar] [CrossRef]
- Lavicza, Z.; Prodromou, T.; Fenyvesi, K.; Hohenwarter, M.; Juhos, I.; Koren, B.; Diego-Mantecon, J.M. Integrating STEM-related Technologies into Mathematics Education at a Large Scale. Int. J. Technol. Math. Educ. 2020, 27, 3–11. [Google Scholar] [CrossRef]
- Baya’a, N.; Daher, W.; Anabousy, A. The Development of In-Service Mathematics Teachers’ Integration of ICT in a Community of Practice: Teaching-in-Context Theory. Int. J. Emerg. Technol. Learn. 2019, 14, 125–139. [Google Scholar] [CrossRef]
- Hsu, L.W.; Chen, Y.J. Examining teachers’ technological pedagogical and content knowledge in the era of cloud pedagogy. S. Afr. J. Educ. 2019, 39. [Google Scholar] [CrossRef]
- Avila, C.M.V.; Borges, A.L.A. The Process of Teaching-Learning of the Didactics of the Mathematics from the Science, Technology and Society Approach. Rev. Conrado 2019, 15, 259–262. [Google Scholar]
- Nousiainen, T.; Kangas, M.; Rikala, J.; Vesisenaho, M. Teacher competencies in game-based pedagogy. Teach. Teacher Educ. 2018, 74, 85–97. [Google Scholar] [CrossRef]
- McCulloch, A.W.; Hollebrands, K.; Lee, H.; Harrison, T.; Mutlu, A. Factors that influence secondary mathematics teachers’ integration of technology in mathematics lessons. Comp. Educ. 2018, 123, 26–40. [Google Scholar] [CrossRef]
- Gómez-García, M.; Soto-Varela, R.; Morón-Marchena, J.A.; del Pino-Espejo, M.J. Using Mobile Devices for Educational Purposes in Compulsory Secondary Education to Improve Student’s Learning Achievements. Sustainability 2020, 12, 3724. [Google Scholar]
- Zbiek, R.M. Contemporary Framing of Technology in Mathematics Teaching. In Educating Prospective Secondary Mathematics Teachers: Knowledge, Identity, and Pedagogical Practices; Strutchens, M.E., Huang, R., Potari, D., Losano, L., Eds.; Springer International Publishing Ag: Cham, Switzerland, 2018; pp. 109–124. [Google Scholar]
- Hinojo Lucena, F.J.; López Belmonte, J.; Fuentes Cabrera, A.; Trujillo Torres, J.M.; Pozo Sánchez, S. Academic effects of the use of flipped learning in physical education. Int. J. Environ. Res. Public Health 2020, 17, 276. [Google Scholar] [CrossRef] [PubMed]
- Zahorec, J.; Nagyova, A.; Haskova, A. Teachers’ Attitudes to Incorporation Digital Means in Teaching Process in Relation to the Subjects They Teach. Int. J. Eng. Pedag. 2019, 9, 101–120. [Google Scholar] [CrossRef]
- Ozudogru, M. The Factors Predicting Pre-Service Teachers’ Achievement in Teacher Training Classrooms. Eurasian J. Educ. Res. 2020, 87, 157–178. [Google Scholar] [CrossRef]
- Galimullina, E.; Ljubimova, E.; Ibatullin, R. SMART education technologies in mathematics teacher education—Ways to integrate and progress that follows integration. Open Learn. 2020, 35, 4–23. [Google Scholar] [CrossRef]
- Holdsworth, S.; Maynes, N. “But What If I Fail?” A Meta-Synthetic Study of the Conditions Supporting Teacher Innovation. Can. J. Educ./Revue Can. L’Éduc. 2017, 40, 665–703. [Google Scholar]
- Fernández Batanero, J.M.; López Meneses, E.; Cabero Almenara, J. Knowledge and degree of training of primary education teachers in relation to ICT taught to disabled students. Br. J. Educ. Technol. 2019, 50, 1961–1978. [Google Scholar] [CrossRef]
- Burke, P.F.; Schuck, S.; Aubusson, P.; Kearney, M.; Frischknecht, B. Exploring teacher pedagogy, stages of concern and accessibility as determinants of technology adoption. Technol. Pedag. Educ. 2018, 27, 149–163. [Google Scholar] [CrossRef]
- Gordon, A.; Young-Jones, A.; Hayden, S.; Fursa, S.; Hart, B. Dispositional mindfulness, perceived social support, and academic motivation: Exploring differences between Dutch and American students. New Ideas Psychol. 2020, 56. [Google Scholar] [CrossRef]
- Lazarides, R.; Gaspard, H.; Dicke, A.-L. Dynamics of classroom motivation: Teacher enthusiasm and the development of math interest and teacher support. Learn. Instr. 2019, 60, 126–137. [Google Scholar] [CrossRef]
- Ma, J.K.H.; Vachon, T.E.; Cheng, S. National Income, Political Freedom, and Investments in R&D and Education: A Comparative Analysis of the Second Digital Divide Among 15-Year-Old Students. Soc. Indic. Res. 2019, 144, 133–166. [Google Scholar] [CrossRef]
- INTEF. Competencia Digital Docente Septiembre 2017; INTEF: Madrid, Spain, 2017. [Google Scholar]
- Gudmundsdottir, G.B.; Hatlevik, O.E. Newly qualified teachers’ professional digital competence: Implications for teacher education. Eur. J. Teacher Educ. 2018, 41, 214–231. [Google Scholar] [CrossRef]
- Pettersson, F. On the issues of digital competence in educational contexts—A review of literature. Educ. Inf. Technol. 2018, 23, 1005–1021. [Google Scholar] [CrossRef]
- Touron, J.; Martin, D.R.; Navarro Asencio, E.; Pradas, S.; Inigo, V. Construct validation of a questionnaire to measure teachers’ digital competence (TDC). Rev. Esp. Pedag. 2018, 76, 25–54. [Google Scholar] [CrossRef]
- Presby, R.E. Barriers to Reducing the Digital-Use Divide as Perceived by Middle School Principals. Ph.D. Thesis, Brandmane University, Irvine, CA, USA, 2017. [Google Scholar]
- Engen, B.K. Understanding social and cultural aspects of teachers’ digital competencies. Comunicar 2019, 27, 9–19. [Google Scholar] [CrossRef]
- Daniels, J.; Jacobsen, M.; Varnhagen, S.; Friesen, S. Barriers to systemic, effective, and sustainable technology use in high school classrooms. Can. J. Learn. Technol./Revue Can. L’Apprentissage Technol. 2013, 39. [Google Scholar] [CrossRef]
- OECD. Panorama de la Educación 2015: Indicadores de la OCDE; Organisation for Economic Co-Operation and Development: Paris, France, 2016. [Google Scholar]
- Çekmez, E. Using dynamic mathematics software to model a real-world phenomenon in the classroom. Interact. Learn. Environ. 2019, 28, 526–538. [Google Scholar] [CrossRef]
- Acikgul, K.; Aslaner, R. Effects of Geogebra supported micro teaching applications and technological pedagogical content knowledge (TPACK) game practices on the TPACK levels of prospective teachers. Educ. Inf. Technol. 2020, 25, 2023–2047. [Google Scholar] [CrossRef]
- Donnelly-Hermosillo, D.F.; Gerard, L.F.; Linn, M.C. Impact of graph technologies in K-12 science and mathematics education. Comp. Educ. 2020, 146. [Google Scholar] [CrossRef]
- Verschaffel, L.; Depaepe, F.; Mevarech, Z. Learning Mathematics in Metacognitively Oriented ICT-Based Learning Environments: A Systematic Review of the Literature. Educ. Res. Int. 2019, 2019. [Google Scholar] [CrossRef]
- Garcia, F.Y.H.; Rangel, E.G.H.; Mera, N.A.G. Gamification in mathematics education: A systematic review. Telos-Rev. Interdiscip. Cienc. Soc. 2020, 22, 62–75. [Google Scholar] [CrossRef]
- Esfijani, A.; Zamani, B.E. Factors influencing teachers’ utilisation of ICT: The role of in-service training courses and access. Res. Learn. Technol. 2020, 28. [Google Scholar] [CrossRef]
- Botuzova, Y.V. Experience of Using ICT Tools for Teaching Mathematical Analysis to Future Teachers of Mathematics. Inf. Technol. Learn. Tools 2020, 75, 153–169. [Google Scholar]
- Roanes-Lozano, E.; Galan-Garcia, J.L.; Solano-Macias, C. Some Reflections About the Success and Impact of the Computer Algebra System DERIVE with a 10-Year Time Perspective. Math. Comp. Sci. 2019, 13, 417–431. [Google Scholar] [CrossRef]
- Nunes, P.S.; Nascimento, M.M.; Catarino, P.; Martins, P. Factors that Influence the Use of Educational Software in Mathematics Teaching. Rev. Iberoam. Sobre Calid. Efic. Cambio Educ. 2020, 18, 113–129. [Google Scholar] [CrossRef]
- Kearney, M.; Schuck, S.; Aubusson, P.; Burke, P.F. Teachers’ technology adoption and practices: Lessons learned from the IWB phenomenon. Teacher Dev. 2018, 22, 481–496. [Google Scholar] [CrossRef]
- Cabus, S.J.; Haelermans, C.; Franken, S. SMART in Mathematics? Exploring the effects of in-class-level differentiation using SMART board on math proficiency. Br. J. Educ. Technol. 2017, 48, 145–161. [Google Scholar] [CrossRef]
- Drijvers, P. Empirical Evidence for Benefit? Reviewing Quantitative Research on the Use of Digital Tools in Mathematics Education. In Uses of Technology in Primary and Secondary Mathematics Education—Tools, Topics and Trends; Ball, L., Ladel, S., Tabach, M., Drijvers, P., Siller, H.S., Vale, C., Eds.; Springer: Berlin, Germany, 2018; pp. 161–175. [Google Scholar]
- Salles, F.; Dos Santos, R.; Keskpaik, S. When didactics meet data science: Process data analysis in large-scale mathematics assessment in France. Large-Scale Assess. Educ. 2020, 8. [Google Scholar] [CrossRef]
- Aflalo, E.; Zana, L.; Huri, T. The interactive whiteboard in primary school science and interaction. Interact. Learn. Environ. 2018, 26, 525–538. [Google Scholar] [CrossRef]
- Li, Y.; Yang, H.H.; MacLeod, J. Preferences toward the constructivist smart classroom learning environment: Examining pre-service teachers’ connectedness. Interact. Learn. Environ. 2019, 27, 349–362. [Google Scholar] [CrossRef]
- Hsu, C.-Y.; Tsai, M.-J.; Chang, Y.-H.; Liang, J.-C. Surveying in-service teachers’ beliefs about game-based learning and perceptions of technological pedagogical and content knowledge of games. J. Educ. Technol. Soc. 2017, 20, 134–143. [Google Scholar]
- Spiteri, M.; Rundgren, S.-N.C. Literature Review on the Factors Affecting Primary Teachers’ Use of Digital Technology. Technol. Knowl. Learn. 2020, 25, 115–128. [Google Scholar] [CrossRef]
- Hatlevik, O.E.; Throndsen, I.; Loi, M.; Gudmundsdottir, G.B. Students’ ICT self-efficacy and computer and information literacy: Determinants and relationships. Comp. Educ. 2018, 118, 107–119. [Google Scholar] [CrossRef]
- Cussó-Calabuig, R.; Farran, X.C.; Bosch-Capblanch, X. Effects of intensive use of computers in secondary school on gender differences in attitudes towards ICT: A systematic review. Educ. Inf. Technol. 2018, 23, 2111–2139. [Google Scholar] [CrossRef]
- Bosch, H.E.; Bergero, M.S.; Nasso, C.; Pérez, M.M.; Rampazzi, M.C. Innovaciones didácticas para ciencias y matemática asistida por TIC. TE ET 2017, 19, 60–64. [Google Scholar]
- De Vita, M.; Verschaffel, L.; Elen, J. Towards a better understanding of the potential of interactive whiteboards in stimulating mathematics learning. Learn. Environ. Res. 2018, 21, 81–107. [Google Scholar] [CrossRef]
- Loong, E.Y.-K.; Herbert, S. Primary school teachers’ use of digital technology in mathematics: The complexities. Math. Educ. Res. J. 2018, 30, 475–498. [Google Scholar] [CrossRef]
- Consejo Escolar del Estado. Informe 2019 Sobre el Estado del Sistema Educativo; Ministerio de Educación y Formación Profesional: Madrid, Spain, 2019.
- Kim, H.-K. Meta analysis on the improvement of academic performance by the teaching method for underachievers of learning mathematics. Math. Educ. 2020, 59, 31–45. [Google Scholar]
- Vallés Martínez, M.S.; D’Ancona, C.; Angeles, M.; Izquierdo Escribano, A. Las Encuestas Sobre Inmigración en España y en Europa. Tópicos, Medios de Comunicación y Política Migratoria; Informe sobre els gitanos romanesos a Barcelona Inédito; Ministerio de Trabajo y Asuntos Sociales, Observatorio Permanente de la Inmigración: Madrid, Spain; Vincle: Barcelona, Spain, 1999.
- Cisneros-Cohernour, E.J.; Jorquera Jaramillo, M.C.; Aguilar Pereyra, Á.M. Validación de instrumentos de evaluación docente en el contexto de una universidad española. Voces Silenc. Rev. Latinoam. Educ. 2012, 3, 41–55. [Google Scholar] [CrossRef]
- Rosenbluth, A.; Cruzat-Mandich, C.; Ugarte, M.L. Methodology to Validate a Competencies Assessment Tool for Psychology Students. Univ. Psychol. 2016, 15, 303–314. [Google Scholar]
- Dalby, D.; Swan, M. Using digital technology to enhance formative assessment in mathematics classrooms. Br. J. Educ. Technol. 2019, 50, 832–845. [Google Scholar] [CrossRef]
- Park, J.-H.; Kim, C.; Ham, J. High-school students’ understanding and use of mathematics textbooks. Math. Educ. 2019, 58, 589–607. [Google Scholar]
- Wyss, C.; Rosenberger, K.; Buehrer, W. Student Teachers’ and Teacher Educators’ Professional Vision: Findings from an Eye Tracking Study. Educ. Psychol. Rev. 2020. [Google Scholar] [CrossRef]






| Dimension A. Teacher Data | ||
| Variables Used in Indicator A.1 General Data | ||
| ID | Code | Items |
| A.11 | QUT | How old are you? |
| A.12 | GEN | Gender. |
| A.16 | AED | How many years of teaching experience do you have? |
| Dimension B. Mathematics and Teaching training | ||
| ID | Code | Variables Used in Indicator B.2 Teaching practice |
| B.23 | VED | I use a wide variety of teaching approaches in the classroom environment. |
| B.26 | EDP | I select teaching approaches effectively to guide students’ thinking and learning in mathematics. |
| B.27 | MTM | I consider my methodological techniques to be improved. |
| Dimension C. ICT In the Teachers’ Environment | ||
| ID | Code | Variables Used in Indicator C.1 ICT Training |
| C.11 | FTP | I consider ICT training indispensable for personal use. |
| C.12 | FTC | I consider ICT training essential to improve my curriculum. |
| C.13 | FTD | I consider ICT training to be essential for teaching practices. |
| C.15 | DIU | I consider proficiency in English necessary for the proper use of ICT. |
| ID | Code | Variables Used in Indicator C.2 ICT and Teaching |
| C.22 | TED | I select technologies that improve student learning in lessons. |
| C.24 | LTD | I can teach lessons that adequately combine mathematics, technology, and teaching approaches. |
| C.25 | TMC | I select technologies to use in the classroom that improve the presentation of the content I teach. |
| C.26 | MDE | For classroom teaching materials, I use strategies that combine content, technologies, and teaching approaches that I have learned. |
| Dimension D. ICT Uses, Resources and Mastery | ||
| ID | Code | Variables Used in Indicator D.3 ICT in the classroom |
| D.31 | UTA | I often use the ICT resources in the classroom (projectors, whiteboard, etc.) to teach. |
| D.32 | PDI | I use the tools or software on the digital interactive whiteboards to teach math. |
| D.33 | EVA | I use virtual learning environments (Moodle, Webct, etc.) to teach math. |
| D.34 | PEM | I use educational platforms (Tutor Factory, Wepack, etc.) to teach math. |
| D.35 | SEA | I use author educational software (Cuadernia, Edilim, Jclic, etc.) to teach math. |
| D.36 | OPT | In class we use computers, laptops, tablets, etc., to learn or review math. |
| ID | Code | Variables Used in Indicator D.5. ICT Mastery |
| D.51 | RPT | I know how to solve my technical problems. |
| D.53 | FCD | I train and upgrade in digital competence (I keep up with important new technologies). |
| D.55 | CTT | I have the technical knowledge I need to use the technology. |
© 2020 by the authors. Licensee MDPI, Basel, Switzerland. This article is an open access article distributed under the terms and conditions of the Creative Commons Attribution (CC BY) license (http://creativecommons.org/licenses/by/4.0/).
Share and Cite
Gómez-García, M.; Hossein-Mohand, H.; Trujillo-Torres, J.M.; Hossein-Mohand, H. The Training and Use of ICT in Teaching Perceptions of Melilla’s (Spain) Mathematics Teachers. Mathematics 2020, 8, 1641. https://doi.org/10.3390/math8101641
Gómez-García M, Hossein-Mohand H, Trujillo-Torres JM, Hossein-Mohand H. The Training and Use of ICT in Teaching Perceptions of Melilla’s (Spain) Mathematics Teachers. Mathematics. 2020; 8(10):1641. https://doi.org/10.3390/math8101641
Chicago/Turabian StyleGómez-García, Melchor, Hossein Hossein-Mohand, Juan Manuel Trujillo-Torres, and Hassan Hossein-Mohand. 2020. "The Training and Use of ICT in Teaching Perceptions of Melilla’s (Spain) Mathematics Teachers" Mathematics 8, no. 10: 1641. https://doi.org/10.3390/math8101641
APA StyleGómez-García, M., Hossein-Mohand, H., Trujillo-Torres, J. M., & Hossein-Mohand, H. (2020). The Training and Use of ICT in Teaching Perceptions of Melilla’s (Spain) Mathematics Teachers. Mathematics, 8(10), 1641. https://doi.org/10.3390/math8101641
