Exact Time-Dependent Queue-Length Solution to a Discrete-Time Geo/D/1 Queue
Abstract
1. Introduction
2. Main Results
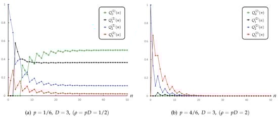
3. Numerical Examples
Author Contributions
Funding
Conflicts of Interest
References
- Griffiths, G.D.; Leonenko, G.M.; Williams, J.E. Time-dependent analysis of non-Empty M/Ek/1 queue. Qual. Technol. Quant. Manag. 2008, 5, 309–320. [Google Scholar] [CrossRef]
- Luchak, G. The continuous time solution of the equations of the single channel queue with a general class of service-time distributions by the method of generating functions. J. R. Stat. Soc. Ser. B (Methodol.) 1958, 20, 176–181. [Google Scholar] [CrossRef]
- Saaty, L.T. Elements of Queueing Theory; Mcgraw Hill: New York, NY, USA, 1961. [Google Scholar]
- Al-Seedy, R.O.; El-Sherbiny, A.A.; El-Shehawy, S.A.; Ammar, S.I. Transient solution of the M/M/c queue with balking and reneging. Comput. Math. Appl. 2009, 57, 1280–1285. [Google Scholar] [CrossRef]
- Cheon, G.-S.; Choi, B.D.; Jin, S.-T. An application of Riordan arrays to the transient analysis of M/M/1 queues. Appl. Math. Comput. 2014, 237, 659–671. [Google Scholar] [CrossRef]
- Kijima, M. The transient solution to a class of Markovian queues. Comput. Math. Appl. 1992, 24, 17–24. [Google Scholar] [CrossRef]
- Sharma, O.P.; Gupta, U.C. Transient Behaviour of an M/M/1/N queue. Stoch. Process. Their Appl. 1982, 13, 327–331. [Google Scholar] [CrossRef]
- Tarabia, A.M.K. A new formula for the transient behaviour of a non-empty M/M/1/∞ queue. Appl. Math. Comput. 2002, 132, 1–10. [Google Scholar] [CrossRef]
- Griffiths, G.D.; Leonenko, G.M.; Williams, J.E. The transient solution to M/Ek/1 queue. Oper. Res. Lett. 2006, 34, 349–354. [Google Scholar] [CrossRef]
- Leonenko, G.M. A new formula for the transient solution of the Erlang queueing Model. Stat. Probab. Lett. 2009, 79, 400–406. [Google Scholar] [CrossRef]
- Baek, J.W.; Lee, H.W.; Moon, S.K. A time-dependent busy period queue length formula for the M/Ek/1 queue. Stat. Probab. Lett. 2014, 87, 98–104. [Google Scholar] [CrossRef]
- Kapodistria, S.; Phung-Duc, T.; Resing, J. Linear Birth/Immigration-Death Process with Binomial Catastrophes. Probab. Eng. Inf. Sci. 2016, 30, 79–111. [Google Scholar] [CrossRef]
- Garcia, J.M.; Brun, O.; Gauchard, D. Transient analytical solution of M/D/1/N queues. J. Appl. Probab. 2002, 39, 853–864. [Google Scholar] [CrossRef]
- Franx, G.J. A simple solution for the M/D/c waiting time distribution. Oper. Res. Lett. 2001, 29, 221–229. [Google Scholar] [CrossRef]
- Baek, J.W.; Lee, H.W.; Ahn, S.; Bae, Y.H. Exact timedependent solutions for the M/D/1 queue. Oper. Res. Lett. 2016, 44, 692–695. [Google Scholar] [CrossRef]
- Parthasarathy, P.R.; Sudhesh, R. Exact transient solution of a discrete time queue with state-dependent rates. Am. J. Math. Manag. Sci. 2006, 26, 253–276. [Google Scholar] [CrossRef]
- Kim, J. Transient analysis of the Geo/Goe/1 queue. J. Chungcheong Math. Soc. 2008, 21, 385–393. [Google Scholar]
- Takagi, H. Queueing Analysis: A Foundation of Performance Evaluation; North Holland: Amsterdam, The Netherlands, 1993. [Google Scholar]
- Gravey, A.; Louvion, J.-R.; Boyer, P. On the Geo/D/1 and Geo/D/1/n queues. Perform. Eval. 1990, 11, 117–125. [Google Scholar] [CrossRef]

© 2019 by the authors. Licensee MDPI, Basel, Switzerland. This article is an open access article distributed under the terms and conditions of the Creative Commons Attribution (CC BY) license (http://creativecommons.org/licenses/by/4.0/).
Share and Cite
Baek, J.W.; Bae, Y.H. Exact Time-Dependent Queue-Length Solution to a Discrete-Time Geo/D/1 Queue. Mathematics 2019, 7, 717. https://doi.org/10.3390/math7080717
Baek JW, Bae YH. Exact Time-Dependent Queue-Length Solution to a Discrete-Time Geo/D/1 Queue. Mathematics. 2019; 7(8):717. https://doi.org/10.3390/math7080717
Chicago/Turabian StyleBaek, Jung Woo, and Yun Han Bae. 2019. "Exact Time-Dependent Queue-Length Solution to a Discrete-Time Geo/D/1 Queue" Mathematics 7, no. 8: 717. https://doi.org/10.3390/math7080717
APA StyleBaek, J. W., & Bae, Y. H. (2019). Exact Time-Dependent Queue-Length Solution to a Discrete-Time Geo/D/1 Queue. Mathematics, 7(8), 717. https://doi.org/10.3390/math7080717

