Unsteady Magnetohydrodynamic Convective Fluid Flow of Oldroyd-B Model Considering Ramped Wall Temperature and Ramped Wall Velocity
Abstract
1. Introduction
2. Model Formulation
3. Analytical Solution of the Problem
Laplace and Inverse Laplace Transforms
4. Limiting Models
4.1. Case 1
4.2. Case 2
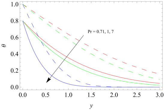
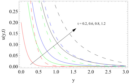
5. Results and Discussion
6. Conclusions
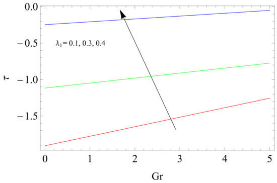
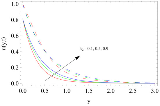
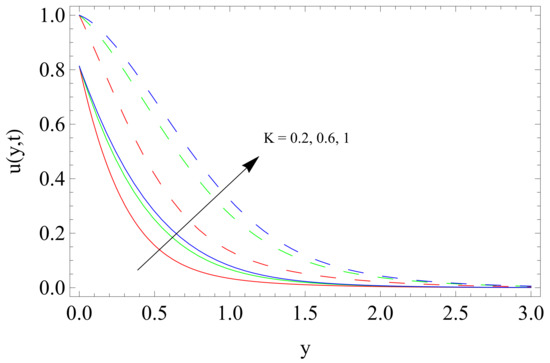
- An increase in the magnetic parameter (M) on velocity causes decrease in the thickness of the momentum boundary layer.Momentum boundary layer increases as parameters values such as, , K, Gr and increase.
 - An increase in relaxation time results in a decrease in velocity (related to skin friction) on the plate.
 
Author Contributions
Funding
Conflicts of Interest
Nomenclature
| B | Total magnetic field | 
| J | Current density | 
| E | Electric field | 
| T | Cauchy Stress Tensor | 
| r | Darcy resistance vector | 
| S | Extra Stress tensor | 
| A1 | Rivlin-Erickson tensor | 
| Velocity components | |
| Space variables | |
| T | Temperature | 
| p | Pressure | 
| g | Acceleration due to gravity | 
| Fluid density | |
| Magnetic permeability | |
| Electrical conductivity of the fluid | |
| Porosity parameter | |
| Viscosity of the fluid | |
| Relaxation, retardation times | |
| Non-dimensional velocity | |
| Non-dimensional time | |
| Non-dimensional temperature | |
| M | Hartmann Number | 
| K | Non-dimensional porosity parameter | 
| Non-dimensional relaxation & retardation times | |
| Gr | Grashof’s number | 
| Pr | Prandtl’s Number | 
| Laplace transform operator | |
| s | Laplace transform parameter | 
References
- Khan, M. Partial slip effects on the oscillatory flows of a fractional Jeffery fluid in a porous medium. J. Porous Media 2007, 10, 473–487. [Google Scholar] [CrossRef]
 - Ghosh, A.K.; Sana, P. On hydromagnetic flow of an Oldroyd-B fluid near a pulsating plate. Acta Astronaut. 2009, 64, 272–280. [Google Scholar] [CrossRef]
 - Nadeem, S.; Mehmood, R.; Akbar, N.S. Non-orthogonal stagnation point flow of a nano non-Newtonian fluid towards a stretching surface with heat transfer. Int. J. Heat Mass Transf. 2013, 57, 679–689. [Google Scholar] [CrossRef]
 - Nadeem, S.; Saleem, S. Analytical study of third grade fluid over a rotating vertical cone in the presence of nanoparticles. Int. J. Heat Mass Transf. 2015, 85, 1041–1048. [Google Scholar] [CrossRef]
 - Sharmilaa, K.; Kaleeswari, S. Dufour effects on unsteady free convection and mass transfer through a porous medium in a slip regime with heat source/sink. Int. J. Sci. Eng. Appl. Sci. (IJSEAS) 2015, 1, 307–320. [Google Scholar]
 - Geindreau, C.; Auriault, J.-L. Magnetohydrodynamic flows in porous media. J. Fluid Mech. 2002, 466, 343–363. [Google Scholar] [CrossRef]
 - Sobral Filho, D.C. A new proposal to guide velocity and inclination in the ramp protocol for the Treadmill Ergometer. Arq. Bras. Cardiol. 2003, 81, 48–53. [Google Scholar]
 - Bruce, R.A. Evaluation of functional capacity and exercise tolerance of cardiac patients. Mod. Concepts Cardiovasc. Dis. 1956, 25, 321–326. [Google Scholar]
 - Ästrand, P.O.; Rodahl, K. Avaliação da capacidade de trabalho físico na base dos testes. In Tratado de Fisiologia do Exercício, 2nd ed.; Interamericana: Rio de Janeiro, Brazil, 1977; pp. 304–336. [Google Scholar]
 - Myers, J.; Bellin, D. Ramp exercise protocol for clinical and cardiopulmonary exercise testing. Sports Med. 2000, 30, 23–29. [Google Scholar] [CrossRef] [PubMed]
 - Hayday, A.A.; Bowlus, D.A.; McGraw, R.A. Free convection from a vertical flat plate with step discontinuities in surface temperature. J. Heat Transf. 1967, 89, 244–249. [Google Scholar] [CrossRef]
 - Schetz, J.A. On the approximate solution of viscous flow problems. ASME J. Appl. Mech. 1963, 30, 263–268. [Google Scholar] [CrossRef]
 - Malhotra, C.P.; Mahajan, R.L.; Sampath, W.S.; Barth, K.L.; Enzenroth, R.A. Control of temperature uniformity during the manufacture of stable thin-film photovoltaic devices. Int. J. Heat Mass Transf. 2006, 49, 2840–2850. [Google Scholar] [CrossRef]
 - Kundu, B. Exact analysis for propagation of heat in a biological tissue subject to different surface conditions for therapeutic applications. Appl. Math. Comput. 2016, 285, 204–216. [Google Scholar] [CrossRef]
 - Seth, G.S.; Hussain, S.M.; Sarkar, S. Hydromagnetic natural convection flow with heat and mass transfer of a chemically reacting and heat absorbing fluid past an accelerated moving vertical plate with ramped temperature and ramped surface concentration through a porous medium. J. Egypt. Math. Soc. 2015, 23, 197–207. [Google Scholar] [CrossRef]
 - Seth, G.S.; Sharma, R.; Sarkar, S. Natural convection heat and mass transfer flow with Hall current, rotation, radiation and heat absorption past an accelerated moving vertical plate with ramped temperature. J. Appl. Fluid Mech. 2015, 8, 7–20. [Google Scholar]
 - Seth, G.S.; Sarkar, S.; Hussain, S.M.; Mahato, G.K. Effects of hall current and rotation on hydromagnetic natural convection flow with heat and mass transfer of a heat absorbing fluid past an impulsively moving vertical plate with ramped temperature. J. Appl. Fluid Mech. 2015, 8, 159–171. [Google Scholar]
 - Seth, G.S.; Sarkar, S. MHD natural convection heat and mass transfer flow past a time dependent moving vertical plate with ramped temperature in a rotating medium with hall effects, radiation and chemical reaction. J. Mech. 2015, 31, 91–104. [Google Scholar] [CrossRef]
 - Seth, G.S.; Sarkar, S. Hydromagnetic natural convection flow with induced magnetic field and nth order chemical reaction of a heat absorbing fluid past an impulsively moving vertical plate with ramped temperature. Bulg. Chem. Commun. 2015, 47, 66–79. [Google Scholar]
 - Chandran, P.; Sacheti, N.C.; Singh, A.K. Natural convection near a vertical plate with ramped wall temperature. Heat Mass Transf. 2005, 41, 459–464. [Google Scholar] [CrossRef]
 - Seth, G.S.; Ansari, M.S. MHD natural convection flow past an impulsively moving vertical plate with ramped wall temperature in the presence of thermal diffusion with heat absorption. Int. J. Appl. Mech. Eng. 2010, 15, 199–215. [Google Scholar]
 - Das, S.; Jana, M.; Jana, R.N. Radiation effect on natural convection near a vertical plate embedded in a porous medium with ramped wall temperature. Open J. Fl. Dyn. 2011, 1, 1. [Google Scholar] [CrossRef][Green Version]
 - Nandkeolyar, R.; Das, M.; Sibanda, P. Exact solutions of unsteady MHD free convection in a heat absorbing fluid flow past a flat plate with ramped wall temperature. Bound. Value Probl. 2013, 2013, 247. [Google Scholar] [CrossRef]
 - Zin, N.A.B.M.; Khan, I.; Shafie, S. Influence of thermal radiation on unsteady MHD free convection flow of Jeffrey fluid over a vertical plate with ramped wall temperature. Math. Probl. Eng. 2016. [Google Scholar] [CrossRef]
 - Ahmed, N.; Dutta, M. Transient mass transfer flow past an impulsively started infinite vertical plate with ramped plate velocity and ramped temperature. Int. J. Phys. Sci. 2013, 8, 254–263. [Google Scholar]
 - Maqbool, K.; Mann, A.B.; Tiwana, M.H. Unsteady MHD convective flow of a Jeffery fluid embedded in a porous medium with ramped wall velocity and temperature. Alex. Eng. J. 2018, 57, 1071–1078. [Google Scholar] [CrossRef]
 - Hayat, T.; Siddiqui, A.M.; Asghar, S. Some simple flows of an Oldroyd-B fluid. Int. J. Eng. Sci. 2001, 39, 135–147. [Google Scholar] [CrossRef]
 - Asghar, S.; Parveen, S.; Hanif, S.; Siddiqui, A.M.; Hayat, T. Hall effects on the unsteady hydromagnetic flows of an Oldroyd-B fluid. Int. J. Eng. Sci. 2003, 41, 609–619. [Google Scholar] [CrossRef]
 - Rajagopal, K.R.; Ruzicka, M.; Srinivasa, A.R. On the Oberbeck-Boussinesq approximation. Math. Mod. Methods Appl. Sci. 1996, 6, 1157–1167. [Google Scholar] [CrossRef]
 - Wilbur, R. Lepage. In Complex Variables and the Laplace Transform for Engineers; McGraw Hill Book Company: New York, NY, USA, 1961. [Google Scholar]
 - Knight, J.H.; Raiche, A.P. Transient electromagnetic calculations using the Gaver-Stehfest inverse Laplace transform method. Geophysics 1982, 47, 47–50. [Google Scholar] [CrossRef]
 - Zakian, V. Numerical inversion of Laplace transform. Electr. Lett. 1969, 5, 120–121. [Google Scholar] [CrossRef]
 - Kenny, S. Crump, Numerical inversion of Laplace transforms using a Fourier series approximation. J. Assoc. Comput. Mach. 1976, 23, 89–96. [Google Scholar]
 - Khan, A.; Khan, I.; Ali, F. Sami ulhaq and S. Shafie, Effects of wall shear stress on unsteady MHD conjugate flow in a porous medium with ramped wall temperature. PLoS ONE 2014, 9, e90280. [Google Scholar]
 - Seth, G.S.; Nandkeolyar, R.; Ansari, M.S. Effect of rotation on unsteady hydromagnetic natural convection flow past an impulsively moving vertical plate with ramped temperature in a porous medium with thermal diffusion and heat absorption. Int. J. Appl. Math. Mech. 2011, 7, 52–69. [Google Scholar]
 - Gargano, F.; Ponetti, G.; Sammartino, M.; Sciacca, V. Route to chaos in the weakly stratified Kolmogorov flow. Phys. Fluids 2019, 31, 024106. [Google Scholar] [CrossRef]
 - Balmforth, N.J.; Young, Y.N. Stratified Kolmogorov flow. J. Fluid Mech. 2002, 450, 131–167. [Google Scholar] [CrossRef]
 - Vadasz, P.; Olek, S. Route to Chaos for Moderate Prandtl Number Convection in a Porous Layer Heated from Below. Transp. Porous Med. 2000, 41, 211–239. [Google Scholar] [CrossRef]
 










© 2019 by the authors. Licensee MDPI, Basel, Switzerland. This article is an open access article distributed under the terms and conditions of the Creative Commons Attribution (CC BY) license (http://creativecommons.org/licenses/by/4.0/).
Share and Cite
Tiwana, M.H.; Mann, A.B.; Rizwan, M.; Maqbool, K.; Javeed, S.; Raza, S.; Khan, M.S. Unsteady Magnetohydrodynamic Convective Fluid Flow of Oldroyd-B Model Considering Ramped Wall Temperature and Ramped Wall Velocity. Mathematics 2019, 7, 676. https://doi.org/10.3390/math7080676
Tiwana MH, Mann AB, Rizwan M, Maqbool K, Javeed S, Raza S, Khan MS. Unsteady Magnetohydrodynamic Convective Fluid Flow of Oldroyd-B Model Considering Ramped Wall Temperature and Ramped Wall Velocity. Mathematics. 2019; 7(8):676. https://doi.org/10.3390/math7080676
Chicago/Turabian StyleTiwana, Mazhar Hussain, Amer Bilal Mann, Muhammad Rizwan, Khadija Maqbool, Shumaila Javeed, Saqlain Raza, and Mansoor Shaukat Khan. 2019. "Unsteady Magnetohydrodynamic Convective Fluid Flow of Oldroyd-B Model Considering Ramped Wall Temperature and Ramped Wall Velocity" Mathematics 7, no. 8: 676. https://doi.org/10.3390/math7080676
APA StyleTiwana, M. H., Mann, A. B., Rizwan, M., Maqbool, K., Javeed, S., Raza, S., & Khan, M. S. (2019). Unsteady Magnetohydrodynamic Convective Fluid Flow of Oldroyd-B Model Considering Ramped Wall Temperature and Ramped Wall Velocity. Mathematics, 7(8), 676. https://doi.org/10.3390/math7080676
        
