Restricted Gompertz-Type Diffusion Processes with Periodic Regulation Functions
Abstract
1. Introduction
2. Time-Inhomogeneous Gompertz-Type Growth
2.1. Deterministic Evolution
2.2. Stochastic Evolution
2.3. First-Passage Time Problem for
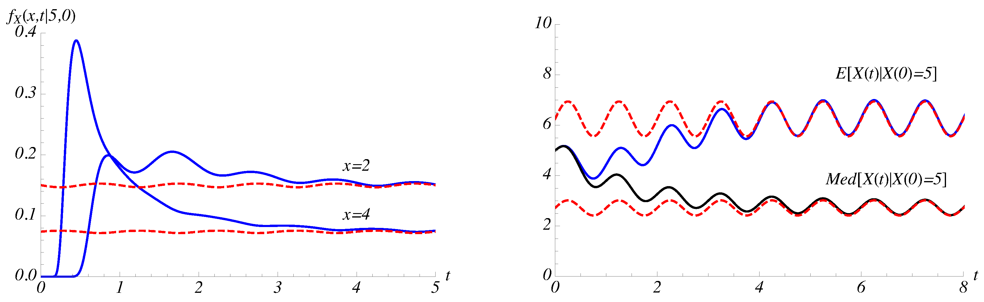
2.4. Asymptotic Behavior for
3. A Special Gompertz-Type Growth with Periodic Carrying Capacity
4. Time-Inhomogeneous Restricted Gompertz-Type Growth
4.1. Deterministic Evolution
4.2. Stochastic Evolution
4.3. First-Passage Time Problem for
4.4. Asymptotic Behavior for
5. A Special Restricted Gompertz-Type Growth with Periodic Regulation Function
6. Conclusions
Author Contributions
Funding
Acknowledgments
Conflicts of Interest
References
- Coleman, B.D.; Hsieh, Y.-H.; Knowles, G.P. On the optimal choice of r for a population in a periodic environment. Math. Biosci. 1979, 46, 71–85. [Google Scholar] [CrossRef]
- Mir, Y. Approximate solutions to some non-autonomous differential equations for growth phenomena. Surv. Math. Its Appl. 2015, 10, 139–148. [Google Scholar]
- Mir, Y.; Dubeau, F. Linear and logistic models with time dependent coefficients. Electron. J. Differ. Equ. 2016, 2016, 1–17. [Google Scholar]
- Tjørve, E.; Tjørve, K.M.C. A unified approach to the Richards-model family for use in growth analyses: Why we need only two model forms. J. Theor. Biol. 2010, 267, 417–425. [Google Scholar] [CrossRef]
- Tjørve, K.M.C.; Tjørve, E. The use of Gompertz models in growth analyses, and new Gompertz-model approach: An addition to the unified-Richards family. PLoS ONE 2017, 12, e0178691. [Google Scholar] [CrossRef]
- Goel, N.S.; Richter-Dyn, N. Stochastic Models in Biology; Academic Press: New York, NY, USA; San Francisco, CA, USA; London, UK, 1974. [Google Scholar]
- Ricciardi, L.M. Diffusion processes and related topics in biology. In Lecture Notes in Biomathematics; Springer: Berlin/Heidelberg, Germany; New York, NY, USA, 1977; Volume 14. [Google Scholar]
- Ricciardi, L.M. Stochastic population theory: Diffusion processes. In Mathematical Ecology. Biomathematics; Hallam, T.G., Levin, S.A., Eds.; Springer: Berlin/Heidelberg, Germany, 1986; Volume 17, pp. 191–238. [Google Scholar]
- Ricciardi, L.M.; Di Crescenzo, A.; Giorno, V.; Nobile, A.G. An outline of theoretical and algorithmic approaches to first-passage time problems with applications to biological modeling. Math. Jpn. 1999, 50, 247–322. [Google Scholar]
- Capocelli, R.M.; Ricciardi, L.M. Growth with regulation in random environment. Kybernetik 1974, 15, 147–157. [Google Scholar] [CrossRef]
- Tuckwell, H.C. A study of some diffusion models of population growth. Theor. Popul. Biol. 1974, 5, 345–357. [Google Scholar] [CrossRef]
- Nobile, A.G.; Ricciardi, L.M. Growth with regulation in fluctuating environments. I. Alternative logistic–like diffusion models. Biol. Cybern. 1984, 49, 179–188. [Google Scholar] [CrossRef]
- Nobile, A.G.; Ricciardi, L.M. Growth with regulation in fluctuating environments. II. Intrinsic lower bounds to population size. Biol. Cybern. 1984, 50, 285–299. [Google Scholar] [CrossRef]
- Skiadas, C.H. Exact solutions of stochastic differential equations: Gompertz, generalized logistic and revised exponential. Meth. Comp. Appl. Prob. 2010, 12, 261–270. [Google Scholar] [CrossRef]
- Kink, P. Some analysis of a stochastic logistic growth model. Stoch. Anal. Appl. 2018, 36, 240–256. [Google Scholar] [CrossRef]
- Di Crescenzo, A.; Spina, S. Analysis of a growth model inspired by Gompertz and Korf laws, and an analogous birth-death process. Math. Biosci. 2016, 282, 121–134. [Google Scholar] [CrossRef] [PubMed]
- Di Crescenzo, A.; Paraggio, P. Logistic growth described by birth-death and diffusion processes. Mathematics 2019, 7, 489. [Google Scholar] [CrossRef]
- Albano, G.; Giorno, V.; Román, P.; Torres Ruiz, F. On the therapy effect for a stochastic growth Gompertz-type model. Math. Biosci. 2012, 235, 148–160. [Google Scholar] [CrossRef]
- Albano, G.; Giorno, V.; Román-Román, P.; Torres-Ruiz, F. On the effect of a therapy able to modify both the growth rates in a Gompertz stochastic model. Math Biosci. 2013, 245, 12–21. [Google Scholar] [CrossRef] [PubMed]
- Ghost, H.; Prajneshu. Gompertz growth model in random environment with time-dependent diffusion. J. Stat. Theory Pract. 2017, 11, 746–758. [Google Scholar]
- Gutiérrez, R.; Gutiérrez-Sanchez, R.; Nafidi, A.; Román, P.; Torres, F. Inference in Gompertz-type nonhomogeneous stochastic systems by means of discrete sampling. Cybern. Syst. 2005, 36, 203–216. [Google Scholar] [CrossRef]
- Moummou, E.K.; Gutiérrez, R.; Gutiérrez-Sanchez, R. A stochastic Gompertz model with logarithmic therapy functions: Parameters estimation. Appl. Math. Comp. 2012, 219, 3729–3739. [Google Scholar] [CrossRef]
- Moummou, E.K.; Gutiérrez-Sanchez, R.; Melchor, M.C.; Ramos-Ábalos, E. A stochastic Gompertz model highlighting internal and external therapy function for tumour growth. Appl. Math. Comp. 2014, 246, 1–11. [Google Scholar] [CrossRef]
- Albano, G.; Giorno, V.; Román-Román, P.; Torres-Ruiz, F. Inference on a stochastic two-compartment model in tumor growth. Comput. Stat. Data Anal. 2012, 56, 1723–1736. [Google Scholar] [CrossRef]
- Albano, G.; Giorno, V.; Román-Román, P.; Román-Román, S.; Torres-Ruiz, F. Estimating and determining the effect of a therapy on tumor dynamics by means of a modified Gompertz diffusion process. J. Theor. Biol. 2015, 107, 18–31. [Google Scholar] [CrossRef]
- Román-Román, P.; Román-Román, S.; Serrano-Pérez, J.J.; Torres-Ruiz, F. Modeling tumor growth in the presence of a therapy with an effect on rate growth and variability by means of a modified Gompertz diffusion process. J. Theor. Biol. 2016, 407, 1–17. [Google Scholar] [CrossRef] [PubMed]
- Spina, S.; Giorno, V.; Román-Román, P.; Torres-Ruiz, F. A stochastic model of cancer growth subject to an intermittent treatment with combined effects: Reduction in tumor size and rise in growth rate. Bull. Math. Biol. 2014, 76, 2711–2736. [Google Scholar] [CrossRef] [PubMed]
- Giorno, V.; Román-Román, P.; Spina, S.; Torres-Ruiz, F. Estimating a non-homogeneous Gompertz process with jumps as model of tumor dynamics. Comput. Stat. Data Anal. 2017, 10, 142–149. [Google Scholar] [CrossRef]
- Goel, N.S.; Maitra, S.C.; Montroll, E.W. On the Volterra and other nonlinear models of interacting populations. Rev. Mod. Phys. 1971, 43, 231–276. [Google Scholar] [CrossRef]
- Buonocore, A.; Caputo, L.; Nobile, A.G.; Pirozzi, E. A non-autonomous stochastic predator–prey model. Math. Biosci. Eng. 2014, 11, 167–188. [Google Scholar] [PubMed]
- Linetsky, V. On the transition densities for reflected diffusions. Adv. Appl. Probl. 2005, 37, 435–460. [Google Scholar] [CrossRef]
- Giorno, V.; Nobile, A.G.; Ricciardi, L.M. On the densities of certain bounded diffusion processes. Ric. Di Mat. 2011, 60, 89–124. [Google Scholar] [CrossRef]
- Giorno, V.; Nobile, A.G.; di Cesare, R. On the reflected Ornstein–Uhlenbeck process with catastrophes. Appl. Math. Comp. 2012, 218, 11570–11582. [Google Scholar] [CrossRef]
- Buonocore, A.; Caputo, L.; Nobile, A.G.; Pirozzi, E. Gauss-Markov processes in the presence of a reflecting boundary and applications in neuronal models. Appl. Math. Comput. 2014, 232, 799–809. [Google Scholar] [CrossRef]
- Buonocore, A.; Caputo, L.; Nobile, A.G.; Pirozzi, E. Restricted Ornstein–Uhlenbeck process and applications in neuronal models with periodic input signals. J. Comp. Appl. Math. 2015, 285, 59–71. [Google Scholar] [CrossRef]
- Di Nardo, E.; Nobile, A.G.; Pirozzi, E.; Ricciardi, L.M. A computational approach to first-passage-time problems for Gauss-Markov processes. Adv. Appl. Probab. 2001, 33, 453–482. [Google Scholar] [CrossRef]
- Buonocore, A.; Nobile, A.G.; Ricciardi, L.M. A new integral equation for the evaluation of first–passage–time probability densities. Adv. Appl. Prob. 1987, 19, 784–800. [Google Scholar] [CrossRef]
- Giorno, V.; Nobile, A.G.; Ricciardi, L.M. On the asymptotic behaviour of first–passage–time densities for one–dimensional diffusion processes and varying boundaries. Adv. Appl. Prob. 1990, 22, 883–914. [Google Scholar] [CrossRef]
- Nobile, A.G.; Pirozzi, E.; Ricciardi, L.M. Asymptotics and evaluations of FPT densities through varying boundaries for Gauss-Markov processes. Sci. Math. Jpn. 2008, 67, 241–266. [Google Scholar]











© 2019 by the authors. Licensee MDPI, Basel, Switzerland. This article is an open access article distributed under the terms and conditions of the Creative Commons Attribution (CC BY) license (http://creativecommons.org/licenses/by/4.0/).
Share and Cite
Giorno, V.; Nobile, A.G. Restricted Gompertz-Type Diffusion Processes with Periodic Regulation Functions. Mathematics 2019, 7, 555. https://doi.org/10.3390/math7060555
Giorno V, Nobile AG. Restricted Gompertz-Type Diffusion Processes with Periodic Regulation Functions. Mathematics. 2019; 7(6):555. https://doi.org/10.3390/math7060555
Chicago/Turabian StyleGiorno, Virginia, and Amelia G. Nobile. 2019. "Restricted Gompertz-Type Diffusion Processes with Periodic Regulation Functions" Mathematics 7, no. 6: 555. https://doi.org/10.3390/math7060555
APA StyleGiorno, V., & Nobile, A. G. (2019). Restricted Gompertz-Type Diffusion Processes with Periodic Regulation Functions. Mathematics, 7(6), 555. https://doi.org/10.3390/math7060555

