Abstract
In this paper, we applied the Riemann-Liouville approach and the fractional Euler-Lagrange equations in order to obtain the fractional nonlinear dynamic equations involving two classical physical applications: “Simple Pendulum” and the “Spring-Mass-Damper System” to both integer order calculus (IOC) and fractional order calculus (FOC) approaches. The numerical simulations were conducted and the time histories and pseudo-phase portraits presented. Both systems, the one that already had a damping behavior (Spring-Mass-Damper) and the system that did not present any sort of damping behavior (Simple Pendulum), showed signs indicating a possible better capacity of attenuation of their respective oscillation amplitudes. This implication could mean that if the selection of the order of the derivative is conveniently made, systems that need greater intensities of damping or vibrating absorbers may benefit from using fractional order in dynamics and possibly in control of the aforementioned systems. Thereafter, we believe that the results described in this paper may offer greater insights into the complex behavior of these systems, and thus instigate more research efforts in this direction.
1. Introduction
The theory of fractional order calculus (FOC) dates back to the birth of the theory of differential calculus, but its inherent complexity delayed the application of its associated concepts. In fact, fractional calculus is a natural extension of classical mathematics. Perhaps, this backwardness is due to the FOC’s inherent complexity and to the current lack of meaning regarding its physical and geometric interpretation. The basic aspects regarding the fractional order calculus and fractional differential equations can be found in [1,2,3,4,5]. It is worth mentioning that FOC can count on an additional degree of freedom since the order of the derivatives can be arbitrary changed to match a specific behavior. This advantage may enable the FOC to represent systems with high order dynamics and complex nonlinear phenomena, making use of only a few coefficients. In fact, numerous mathematicians contributed to the history of fractional calculus [6] with every researcher using different approaches and solutions. A survey of useful formulas involving different definitions about FOC is provided by [7,8]. FOC is applied in order to derive Lagrangian mechanics of nonconservative systems by [9]. Fractional Hamilton and fractional Euler-Lagrange equations were considered in [10]. Linear Lagrangians in velocities were analyzed using the fractional calculus and the Euler-Lagrange equations were derived by [11]. Here, the authors investigated two examples, the explicit solutions of Euler-Lagrange equations were obtained and the recovery of the classical results was discussed. In [12], the authors deduced that the fractional Hamiltonian systems of Stanilavsky from a particular least action principle, said to be causal and in this case, the fractional embedding becomes coherent. In this paper, motivated by the recent development of the fractional Euler-Lagrange equations, we modeled two classical physics applications and we presented the numerical simulations results in order to provide a possible comparison between integer and fractional dynamic behavior. This paper is divided into four sections. In Section 2, we show the methodology using fractional Euler-Lagrange equations, the analytical modeling of two physical examples and conditions and parameters used in numerical simulations. In Section 3, we present some numerical simulations results obtained and in the final section, discussions and conclusions are presented.
2. Methodology
2.1. Fractional Euler-Lagrange Equations
In this paper, we considered the Riemann-Liouville approach and an action function was used in the form [9,13,14]:
Where 0 ≤ β ≤ 1, 0 < γ < 1, 0 ≤ α ≤ 1. If ε indicates the variation of the function S, then
The Equation (2) may be rewritten [14] as
Or also,
Thus, the Euler-Lagrange equations are written with fractional derivatives, as the following
For β = γ = 1 and assuming that the Lagrangian depends only on or on , the following is obtained:
2.2. Applications
The aforementioned fractional Euler-Lagrange equations were used as a tool to investigate through modeling and simulation the following applications: simple pendulum and the spring-mass-damper systems.
2.2.1. The Simple Pendulum—Modeling
We considered a simple pendulum whose “classical” and known Lagrangian may be written as:
In this system, “L” is the Lagrangian, “m” is the mass of the pendulum, “l” represents the length of the wire and, finally, θ is the angle. The application of the Euler-Lagrange equation to this Lagrangian also provides the equation also known as the motion equation
Applying the Lagrangian from Eq. (7) and the Eq. (6) and knowing that q ↔ θ, it is possible to notice that
Thus, from the Eq. (6) one obtains
It can be observed as well that, for analogy and assuming that the Lagrangian depends only on , we can write:
Thus, the fractional Euler-Lagrange equation, in this case, will be
With
Therewith, the fractional equation for free systems becomes:
It is well known, for the IOC case, that in systems excited by external forces the right side of Eq. (15) is not null. We can apply the same situation for FOC. Thus, if we consider Q1 as an external force that may influence this system (which in Eq. (15) is zero), we can also write:
It is worth highlighting that if β = 1 (integer order), it can be easily verified that Eq. (15) is reduced to Eq. (10). Besides, in the Eq. (10), if α = 1 (integer order), we obtain back, as expected, the motion equation, Eq. (8).
2.2.2. Spring-Mass-Damper System-Modeling
Now, we considered a dissipative system, regarding mass (represented by “m”), spring (stiffness constant “k”) and damper (damping constant “c”). The “classical” and known Lagrangian is given by
Applying the Euler-Lagrange equation for non-conservative systems
Where represents the dissipative(s) force(s), the following is obtained:
So that,
Will provide the known motion equation
where Q1 is the dissipative force.
Using the Lagrangian , in the equation (6) and (18), so that q ↔ x one can obtain:
Applying the Lagrangian that depends only on , written as
The fractional Euler-Lagrange equation will be:
and now
so that,
Therewith, the fractional equation becomes:
Or also,
Again, if β = 1 (integer order), it can be easily verified that Eq. (26) is reduced to Eq. (22) and in the Eq. (22), if α = 1 (integer order) we obtain back, as expected, the known integer motion equation—Eq. (21).
2.3. Conditions and Parameters of the Simulations
The previously mentioned equations were numerically simulated with the intention of studying their dynamic behavior and establishing comparisons between the results of the fractional order systems and the integer order systems. These equations were simulated through Matlab Simulink®. The solver (method/algorithm of solution) used in all cases was “ode113 (Adams)”. Table 1 illustrates the three different cases simulated, which involve the absence and presence of external forces acting in the system.
Table 1.
Simulated cases.
| Simple Pendulum | Spring-Mass-Damper System | |
|---|---|---|
| Case | External force | External force |
| Case A | Q1 = 0 | Q1 = 0 |
| Case B | Q1 = A cos(wt) | Q1 = A cos(wt) |
| Case C | Q1 = A cos (wt) l1 sin (θ) | Q1 = Impulsive function |
On the other hand, Table 2 describes the pre-established values of parameters and coefficients used in the simulations.
Table 2.
Simulations parameters for all the three cases.
| Simple Pendulum | Spring-Mass-Damper System | ||
|---|---|---|---|
| Mass | m = 1kg | Mass | m = 1kg |
| Acceleration of gravity | g = 9.81m/s² | Acceleration of gravity | g = 9.81m/s² |
| Length of the string | l1 = 1m | Stiffness and damping constants | k = 5; c = 0.1 |
| Coefficient tau | τ = 1 | Coefficient tau | τ = 1 |
| Coefficient α (with β = α) | τ = 1; α = 0.4; α = 0.6; α = 0.9; α = 1.0; α = 1.1; α = 1.2 | Coefficient α (with β = α) | τ = 1; α = 0.4; α = 0.6; α = 0.9; α = 1.0; α = 1.1; α = 1.2 |
3. Simulation Results
3.1. Results Regarding the Simple Pendulum
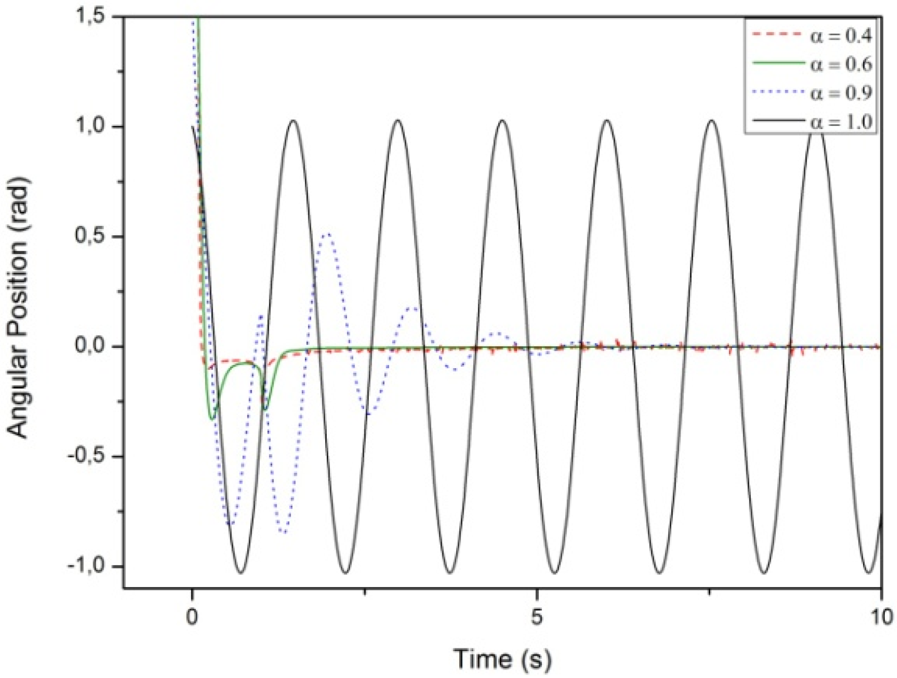
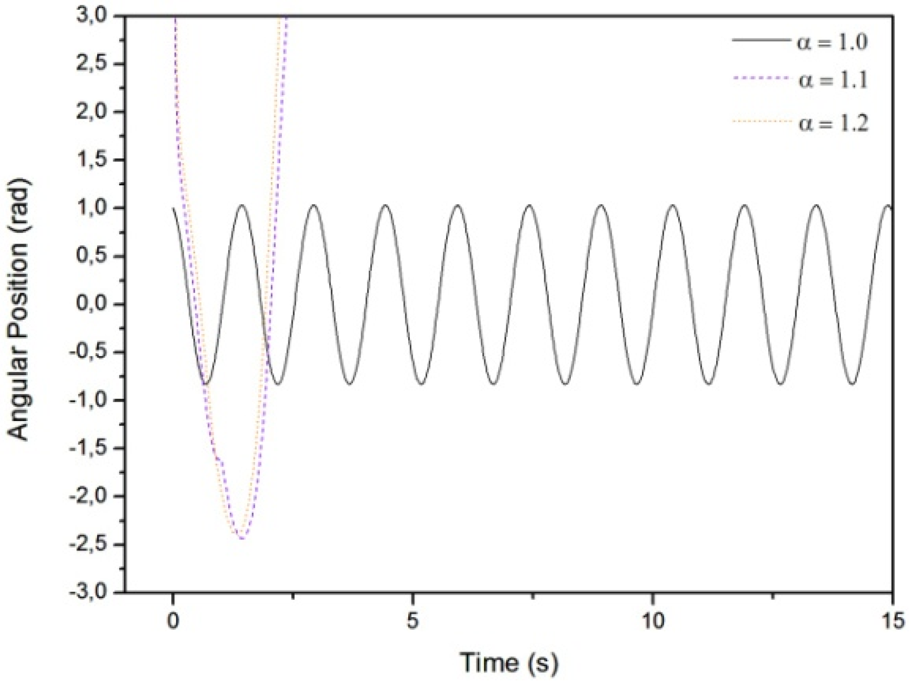
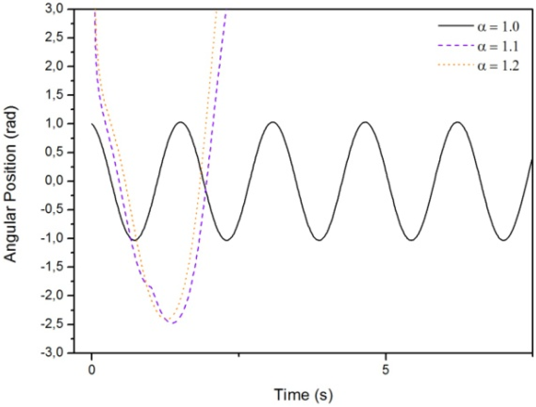
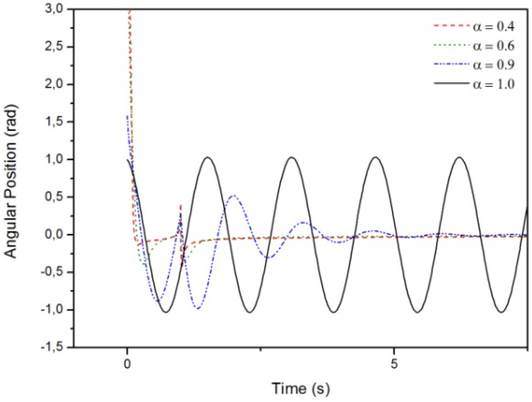
The results of the numerical simulations of the Eq. (16) regarding the simple pendulum are presented below, with different values of α and β (α = β), according to Table 2 and different external excitations in crescent order of intensity, from case A to case C (aforementioned in Table 1). The first graph of each case compares the curves obtained with α smaller or equal to 1.0 and the second one compares the curves obtained with α bigger or equal to 1.0.
- Case A:
Figure 1. Time history (values of α ≤ 1).Figure 1. Time history (values of α ≤ 1).
Figure 2. Time history (values of α ≥ 1).Figure 2. Time history (values of α ≥ 1).
- Case B:
Figure 3. Time history (values of α ≤ 1).Figure 3. Time history (values of α ≤ 1).
Figure 4. Time history (values of α ≥ 1).Figure 4. Time history (values of α ≥ 1).
- Case C:
Figure 5. Time history (values of α ≤ 1).Figure 5. Time history (values of α ≤ 1).
Figure 6. Time history (values of α ≥ 1).Figure 6. Time history (values of α ≥ 1).
Besides the graphs containing the simulations of the angular positions for all the three cases of the simple pendulum, it is presented in Figure 7, Figure 8 and Figure 9 the pseudo-phase portraits for Case B, with different values of α.
Figure 7.
Pseudo-phase portrait (Case B for α = 0.9).
Figure 7.
Pseudo-phase portrait (Case B for α = 0.9).

Figure 8.
Pseudo-phase portrait (Case B for α = 1.0).
Figure 8.
Pseudo-phase portrait (Case B for α = 1.0).

Figure 9.
Pseudo-phase portrait (Case B for α = 1.1).
Figure 9.
Pseudo-phase portrait (Case B for α = 1.1).

3.2. Results Regarding The Spring-Mass-Damper System
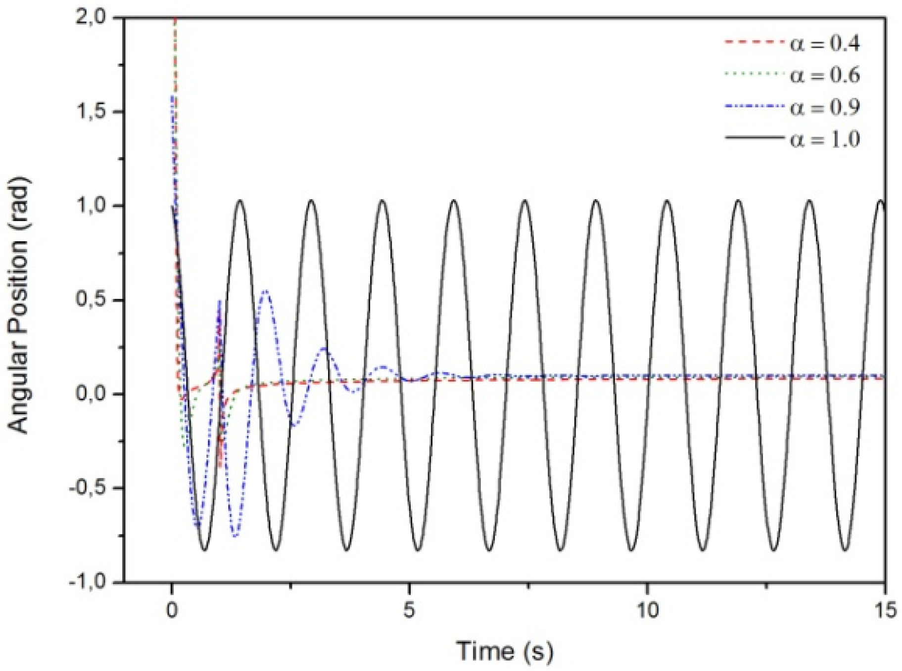
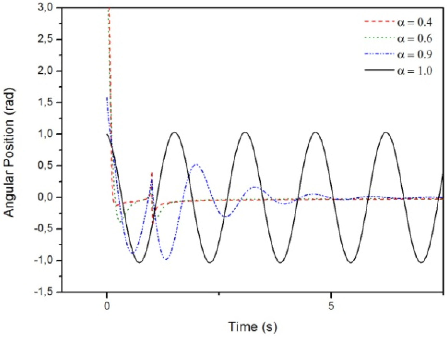
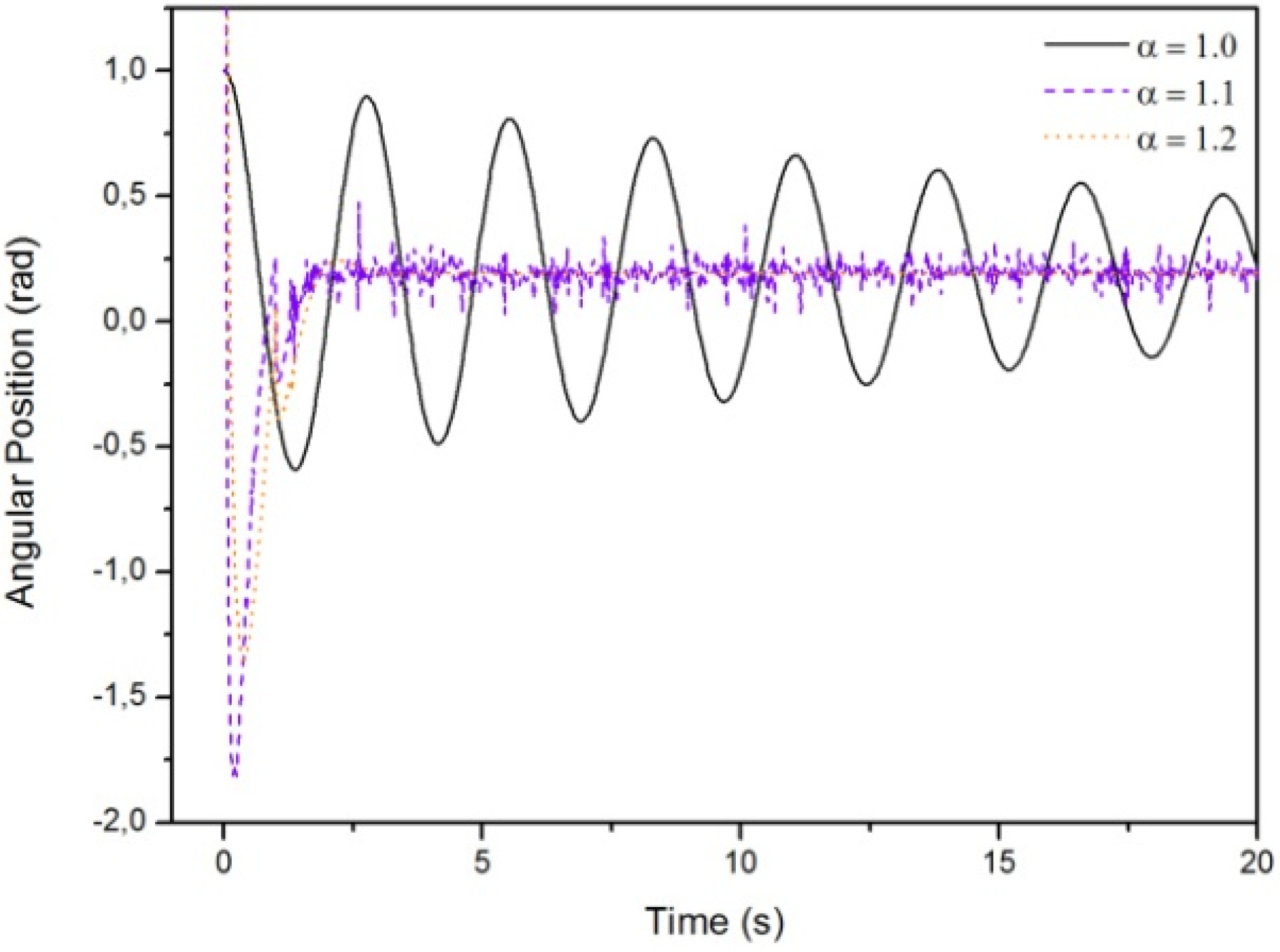
The results of the numerical simulations of the Eq. (28) regarding the spring-mass-damper system are presented below, with different values of α and β (α = β), according to Table 2 and different external excitations in crescent order of intensity, from case A to case C (aforementioned in Table 1). Once again, the first graph of each case compares the curves obtained with α smaller or equal to 1.0 and the second one compares the curves obtained with α bigger or equal to 1.0.
- Case A:
Figure 10. Time history (values of α ≤ 1).Figure 10. Time history (values of α ≤ 1).
Figure 11. Time history (values of α ≥ 1).Figure 11. Time history (values of α ≥ 1).
- Case B:
Figure 12. Time history (values of α ≤ 1).Figure 12. Time history (values of α ≤ 1).
Figure 13. Time history (values of α ≥ 1).Figure 13. Time history (values of α ≥ 1).
- Case C:
Figure 14. Time history (values of α ≤ 1).Figure 14. Time history (values of α ≤ 1).
Figure 15. Time history (values of α ≥ 1).Figure 15. Time history (values of α ≥ 1).
Besides the graphs containing the simulations of the angular positions for all three cases of the spring-mass-damper system, it is presented in Figure 16, Figure 17 and Figure 18 the pseudo-phase portraits for Case B, with different values of α.
Figure 16.
Pseudo-phase portrait (Case B for α = 0.9).
Figure 16.
Pseudo-phase portrait (Case B for α = 0.9).

Figure 17.
Pseudo-phase portrait (Case B for α = 1.0).
Figure 17.
Pseudo-phase portrait (Case B for α = 1.0).

Figure 18.
Pseudo-phase portrait (Case B for α = 1.1).
Figure 18.
Pseudo-phase portrait (Case B for α = 1.1).

4. Discussion and Conclusions
The obtained results point to curious and instigating aspects of the effects that arise from using fractional orders in the differential equations that represent the dynamics of the studied systems.
It is worth noting in the first case (simple pendulum) that, in first instance, the problem deals with a free oscillatory system (vibratory) without the presence of damping. When its motion equation is simulated, taking into account the general form of the dynamic that involves derivatives of arbitrary order (integer or fractional), the results gathered in Figure 1, Figure 2, Figure 3, Figure 4, Figure 5, Figure 6, Figure 7, Figure 8 and Figure 9 briefly show that: (a) For α = 1 (integer order), the system displays the expected behavior, that is, an oscillation whose amplitude is maintained due to the absence of damping. (b) For values of α > 1, the system loses its oscillatory characteristics and its amplitudes seem to grow very fast and indefinitely—as shown in Figure 2, Figure 4, and Figure 6. (c) However, for values of α < 1, Figure 1, Figure 3 and Figure 5 imply that the system acquires a “damping capacity,” which is indirectly proportional to the value of α. For example, the smaller the value of α, the bigger the “damping capacity”. Thus, the system that is not damped will display characteristics that go from “under damping” (α = 0.9) to “super damping” (α = 0.4).
On the other hand, observing the second case (spring-mass-damper system), it is possible to notice that: (a) for α = 1, the dynamic motion equation of arbitrary order (integer or fractional), represented by Figure 10, Figure 11, Figure 12, Figure 13, Figure 14 and Figure 15, presents again an expected behavior for integer order systems. Figure 10, Figure 12 and Figure 14 also display a greater “damping capacity” in the system for values of α < 1—as already happened in the first case. It is noticed in this case that Figure 11, Figure 13 and Figure 15, which involve values of α < 1, not only seem to decrease even more drastically the amplitudes of the oscillations (vibrations), but can present signs of nonlinear phenomena, which can be object of future investigations. Another particularity gathered from the results of the simulations is the presence, in some cases, of certain instability in the behavior of the system (Figure 7, Figure 9, Figure 16 and Figure 18) and even an indicative of possible occurrence of chaos under some conditions. In a future work, we would like investigate about chaos presence in these fractional dynamical systems using the Largest Lyapunov Exponent (LLE) based on the Wolf’s algorithm.
In this paper, besides the method employed here is different, we can conclude that the decreasing value of alpha provides a better or greater attenuation of the amplitudes of the oscillations.
We believe that the main results found in this work involve the observation that when the value of alpha decreases, the response of the system evolves from an under-damped behavior into an over-damped behavior, i.e., there is an increase in the “damping capacity” of the systems. These conclusions are a new contribution of this work.
That means that if the choice of the order α of the derivative is conveniently made, models that need bigger intensities of damping or vibrating absorbers may benefit from the use of the fractional order in dynamics and possibly in control of the aforementioned systems. It is expected that the results described in this paper may offer further insights into the complex behavior of these systems, and thus instigate more research efforts in this direction.
Acknowledgments
This project was supported by Sao Paulo Research Foundation (FAPESP) and by a fellowship of the Dean’s Office for Research of the University of Sao Paulo (USP).
Author Contributions
All authors have contributed equally.
Conflicts of Interest
The authors declare no conflict of interest.
References
- Oldham, K.B.; Spanier, J. The Fractional Calculus: Theory and Applications of Differentiation and Integration to Arbitrary Order 1974.
- Kilbas, A.A.; Srivastava, H.M.; Trujillo, J.J. Theory and Applications of Fractional Differential Equations; Elsevier Science Limited: Amsterdam, the Netherlands, 2007; pp. 154–196. [Google Scholar]
- David, S.A.; Linares, J.L.; Pallone, E.M.J.A. Fractional order calculus: historical apologia, basic concepts and some applications. Rev. Bras. Ensino Fís. 2011, 33, 4302–4302. [Google Scholar] [CrossRef]
- Podlubny, I. Fractional Differential Equations; Academic Press: Waltham, MA, USA, 1993. [Google Scholar]
- Balachandran, K.; Trujillo, J.J. The nonlocal Cauchy problem for nonlinear fractional integrodifferential equations in Banach Spaces. Nonlinear Anal. Theory Methods Appl. 2010, 72, 4587–4593. [Google Scholar] [CrossRef]
- Machado, J.A.T.; Kiryakova, V.; Mainardi, F. A Poster About the Old History of Fractional Calculus. Fract. Calc. Appl. Anal. 2010, 13, 447–454. [Google Scholar]
- Valerio, D.; Trujillo, J.J.; Rivero, M.; Machado, J.A.T.; Baleanu, D. Fractional calculus: A survey of useful formulas. Eur. Phys. J. Special Topics 2013, 222, 1827–1846. [Google Scholar] [CrossRef]
- de Oliveira, E.C.; T.Machado, J.A. A Review of Definitions for Fractional Derivatives and Integral. Math. Probl. Eng. 2014, 1–6. [Google Scholar] [CrossRef]
- Ahmad-Rami, E.N. A fractional approach to nonconservative Lagrangian dynamical systems. FIZIKA A 2005, 14, 290–298. [Google Scholar]
- Tarasov, E. T. Fractional variations for dynamical systems: Hamilton and Lagrange approaches. J. Phys. A: Math. Gen. 2006, 39, 8409–8425. [Google Scholar] [CrossRef]
- Baleanu, D.; Avkar, T. Lagrangians with linear velocities within Riemann-Liouville fractional derivatives. Nuovo Cim. 2004, B119, 73–79. [Google Scholar]
- Cresson, J.; Inizan, P. About fractional Hamiltonian systems. Phys. Scr. 2009. T136. [Google Scholar] [CrossRef]
- Agrawal, O.P. Fractional variational calculus and the transversality conditions. J. Phys. A 2006, 39, 10375–10384. [Google Scholar] [CrossRef]
- Muslih, S.M.; Baleanu, D. Fractional Euler-Lagrange Equations of Motion in Fractional Space. J. Vib. Control 2007, 13, 1209–1216. [Google Scholar] [CrossRef]
© 2015 by the authors; licensee MDPI, Basel, Switzerland. This article is an open access article distributed under the terms and conditions of the Creative Commons Attribution license (http://creativecommons.org/licenses/by/4.0/).