Optimal Cooperative Guidance Algorithm for Active Defense of EWA Under Dual Fighter Escort
Abstract
1. Introduction
1.1. Background and Motivation
1.2. Literature Review
1.2.1. Active Defense and Engagement Modeling
1.2.2. Methodological Foundations: Optimal Control and Variational Methods
1.2.3. Cooperative Guidance Laws for Multi-Agent Systems
1.3. Proposed Approaches
1.3.1. Four-Body Engagement Model and Dimensionality Reduction
1.3.2. Multi-Objective Optimal Control Formulation
- Terminal Accuracy: Minimizing the zero-effort miss (ZEM) distances for both interceptors.
- Interception Geometry: Enforcing desired impact angles to maximize lethality and minimize the attacker’s escape probability.
- Control Effort: Penalizing the integrated lateral acceleration of the EWA and both interceptors to ensure feasibility within physical actuator limits and conserve energy.
- Interceptor Coordination: Incorporating terms to mitigate potential interferences between the two interceptors.
1.3.3. Derivation of the Variational-Based Cooperative Guidance Law
1.3.4. Simulation-Based Validation and Robustness Analysis
2. Problem Formulation
2.1. Dual-Escort Cooperative Active Defense Scenario
2.2. Four-Body Confrontation Model
- Missile (M) and Target (T)—represented by the subsystem.
- Missile (M) and Interceptor Missile 1 ()—represented by the subsystem.
- Missile (M) and Interceptor Missile 2 ()—represented by the subsystem.
2.3. Time-to-Go Analysis
2.4. Guidance Law of the Attacking Missile
3. Design of Optimal Cooperative Interception Guidance Law
3.1. Formulation of the Optimization Problem
3.2. Problem Solution
4. Simulation Verification
4.1. Simulation Setup and Parameter Configuration
4.2. Typical Case Comparison and Power System Analysis
4.3. Comparison with Classical Guidance Laws
4.4. Analysis of Overall Interception Performance
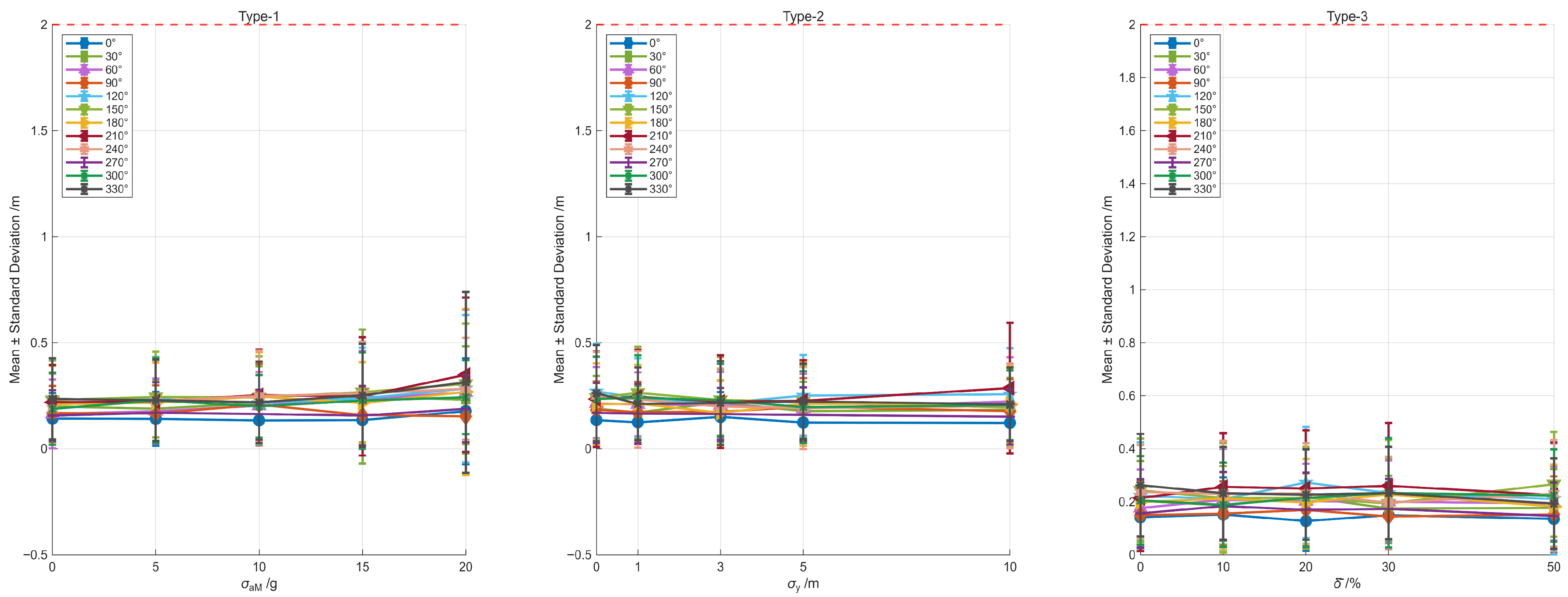
4.5. Robustness Analysis
4.5.1. Uncertainty Modeling and Simulation Setup
4.5.2. Simulation Results and Analysis
5. Conclusions
- 1.
- The proposed guidance law achieves an average miss distance <2 m and an overall interception success rate of across 12 attack directions and multiple engagement ranges.
- 2.
- Compared with PN, APN, and classical CPNG laws, the new algorithm yields a substantial improvement in miss accuracy.
- 3.
- Robustness tests confirm effective interception under uncertainties up to g in target maneuver, 10 m sensor noise, and modeling error, with the success rate remaining above .
- 4.
- The centralized control structure allows continued defense capability even if one escort platform or interceptor fails, demonstrating operational resilience.
Author Contributions
Funding
Data Availability Statement
Acknowledgments
Conflicts of Interest
References
- Ye, H.; Feng, B. Evaluation modeling on survivability of AWACS. Fire Control Command Control 2017, 42, 40–44. [Google Scholar]
- Wang, B.; Wang, G.; Yang, R.; Li, Y.; Zhao, Y. Research on methods to enhance the survivability of AWACS with FDA against anti-ARMs on a battlefield. IET Microwaves Antennas Propag. 2025, 19, e12541. [Google Scholar] [CrossRef]
- Wang, B.; Wang, G.; Li, Y.; Yang, R.; Zhao, Y. Deception mechanisms of FDA-AWACS against passive monopulse angle measurements. IET Radar Sonar Navig. 2024, 18, 2264–2280. [Google Scholar] [CrossRef]
- Soykurum, E.; Pakfiliz, A.G. Usage of Noise Jamming Techniques for the Unmanned Aerial Vehicle Self-Protection Electronic Warfare System against Frequency Agile Radars. Frankl. Open 2025, 12, 100306. [Google Scholar] [CrossRef]
- Yang, Z.; Yuan, Z.; Wang, X.; Huang, J.; Zhou, D. Autonomous control of UAV trajectory based on RHC-Radau method in complex penetration combat environment. Aerosp. Sci. Technol. 2024, 146, 108915. [Google Scholar] [CrossRef]
- Yin, H.; Fan, J.; Hou, T.; Li, D.; Wang, Y.; Chen, H. Efficiency analysis of typical application based on manned/unmanned aerial vehicle cooperative combat. In Proceedings of the 2020 3rd International Conference on Unmanned Systems (ICUS), Harbin, China, 27–28 November 2020; IEEE: Piscataway, NJ, USA, 2020; pp. 314–319. [Google Scholar]
- Sun, X. Application research for cooperative detection combat of unmanned/manned aerial vehicles. J. CAEIT 2014, 9, 331–334. [Google Scholar]
- Zhou, W.; Zhu, J.H.; Kuang, M.C. An unmanned air combat system based on swarm intelligence. Sci. Sin. Inf. 2020, 50, 363–374. [Google Scholar] [CrossRef]
- Liu, X.; Yin, Y.; Su, Y.; Ming, R. A multi-UCAV cooperative decision-making method based on an MAPPO algorithm for beyond-visual-range air combat. Aerospace 2022, 9, 563. [Google Scholar] [CrossRef]
- Wang, X.; Wang, Y.; Su, X.; Wang, L.; Lu, C.; Peng, H.; Liu, J. Deep reinforcement learning-based air combat maneuver decision-making: Literature review, implementation tutorial and future direction. Artif. Intell. Rev. 2024, 57, 1. [Google Scholar]
- Yang, S.; Hou, Z.; Chen, H. Evaluation of vulnerability of MAV/UAV collaborative combat network based on complex network. Chaos Solitons Fractals 2023, 172, 113500. [Google Scholar] [CrossRef]
- Yamasaki, T.; Balakrishnam, S.; Takano, H. Modified CLOS Intercept Guidance for Aircraft Defense Against a Guided Missile. AIAA Guid. Navig. Control Conf. 2006, 2011–6421. [Google Scholar]
- Ratnoo, A.; Shima, T. Line-of-Sight Interceptor Guidance for Defending an Aircraft. J. Guid. Control Dyn. 2011, 34, 522–532. [Google Scholar] [CrossRef]
- Ratnoo, A.; Shima, T. Guidance Strategies Against Defended Aerial Targets. J. Guid. Control Dyn. 2012, 35, 1059–1068. [Google Scholar] [CrossRef]
- Shima, T. Optimal Cooperative Pursuit and Evasion Strategies Against a Homing Missile. J. Guid. Control Dyn. 2011, 34, 414–425. [Google Scholar] [CrossRef]
- Garcia, E.; Casbeer, D.W.; Pachter, M. Active target defense using first order missile models. Automatica 2017, 78, 139–143. [Google Scholar] [CrossRef]
- Rusnak, I.; Weiss, H.; Hexner, G. Guidance Laws in Target-Missile-Defender Scenario with an Aggressive Defender. IFAC World Congr. 2011, 44, 9349–9354. [Google Scholar] [CrossRef]
- Weiss, M.; Shima, T.; Castaneda, D.; Rusnak, I. Minimum Effort Intercept and Evasion Guidance Algorithms for Active Aircraft Defense. J. Guid. Control Dyn. 2016, 39, 2297–2311. [Google Scholar]
- Rubinsky, S.; Gutman, S. Three-Player Pursuit and Evasion Conflict. J. Guid. Control Dyn. 2014, 37, 98–110. [Google Scholar] [CrossRef]
- Zhang, H.; Zhang, Y.; Zhang, P. Interception guidance law for active defense targets based on differential game. Syst. Eng. Electron. 2021, 43, 1335–1345. [Google Scholar]
- Liu, Z.; Wang, X.; Cheng, J.; Di, F. Design of optimal pursuit-evasion guidance law for active defense. Flight Dyn. 2014, 32, 432–436. [Google Scholar] [CrossRef]
- Wang, X.; Zhou, W.; Liu, B. Optimal cooperative guidance algorithm for AWACS active defense in three-body confrontation strategy. J. Air Force Eng. Univ. (Natural Sci. Ed.) 2020, 21, 16–23. [Google Scholar]
- Ioffe, A.D. Towards the theory of strong minimum in calculus of variations and optimal control: A view from variational analysis. Calc. Var. Partial. Differ. Equ. 2020, 59, 83. [Google Scholar] [CrossRef]
- Rockafellar, R.T. Optimal Trajectories and the Neoclassical Calculus of Variations. Set-Valued Var. Anal. 2025, 33, 12. [Google Scholar] [CrossRef]
- Younis, M.G. Optimal control of dynamical systems using calculus of variations. Babylon. J. Math. 2023, 2023, 1–6. [Google Scholar] [CrossRef]
- Prach, A.; Tekinalp, O.; Bernstein, D.S. Infinite-horizon linear-quadratic control by forward propagation of the differential Riccati equation [lecture notes]. IEEE Control Syst. Mag. 2015, 35, 78–93. [Google Scholar]
- Liu, X.; Liu, L.; Wang, Y. Minimum time state consensus for cooperative attack of multi-missile systems. Aerosp. Sci. Technol. 2017, 69, 87–96. [Google Scholar] [CrossRef]
- Yi, X.; Wang, C.; Dong, W.; Wang, J.; Deng, F.; Xin, M. Wide-Envelope Cooperative Guidance with Constrained Field-of-View and Varying Speed Against Maneuvering Targets. IEEE Trans. Aerosp. Electron. Syst. 2025, 61, 9021–9035. [Google Scholar] [CrossRef]
- Li, H.; He, S.; Wang, J.; Lee, C.H. Optimal encirclement guidance. IEEE Trans. Aerosp. Electron. Syst. 2022, 58, 4327–4341. [Google Scholar] [CrossRef]
- Nikusokhan, M.; Nobahari, H. Closed-form optimal cooperative guidance law against random step maneuver. IEEE Trans. Aerosp. Electron. Syst. 2016, 52, 319–336. [Google Scholar] [CrossRef]
- Shalumov, V. Optimal cooperative guidance laws in a multiagent target–missile–defender engagement. J. Guid. Control Dyn. 2019, 42, 1993–2006. [Google Scholar] [CrossRef]
- Fang, F.; Cai, Y. Optimal cooperative guidance with guaranteed miss distance in three-body engagement. Proc. Inst. Mech. Eng. Part G J. Aerosp. Eng. 2018, 232, 492–504. [Google Scholar]
- Li, Y.; Liu, X.; He, X.; Zhang, F. Cooperative optimal guidance of hypersonic glide vehicles by real-time optimization and deep learning. Proc. Inst. Mech. Eng. Part G J. Aerosp. Eng. 2023, 237, 2266–2283. [Google Scholar]
- Zhao, M.; Zhao, Y.; Liu, Z. Dynamic mode decomposition analysis of flow characteristics of an airfoil with leading edge protuberances. Aerosp. Sci. Technol. 2020, 98, 105684. [Google Scholar] [CrossRef]
- Zhao, K.; Song, J.; Yu, J.; Liu, Y. Integrated assignment and guidance with multi-objective function in a three-dimensional scenario. Eng. Optim. 2025, 58, 472–487. [Google Scholar]
- Dao, T.K.; Ngo, T.G.; Pan, J.S.; Nguyen, T.T.T.; Nguyen, T.T. Enhancing path planning capabilities of automated guided vehicles in dynamic environments: Multi-objective pso and dynamic-window approach. Biomimetics 2024, 9, 35. [Google Scholar]
- Zhan, G.; Gong, Z.; Lv, Q.; Zhou, Z.; Wang, Z.; Yang, Z.; Zhou, D. Flight test of autonomous formation management for multiple fixed-wing uavs based on missile parallel method. Drones 2022, 6, 99. [Google Scholar] [CrossRef]
- Karelahti, J.; Virtanen, K.; Raivio, T. Near-optimal missile avoidance trajectories via receding horizon control. J. Guid. Control. Dyn. 2007, 30, 1287–1298. [Google Scholar] [CrossRef]
- Shaferman, V.; Shima, T. Cooperative multiple-model adaptive guidance for an aircraft defending missile. J. Guid. Control. Dyn. 2010, 33, 1801–1813. [Google Scholar] [CrossRef]
- Wang, Y.; Fan, S.; Wu, G.; Wang, J.; He, S. Rapid identification method of enemy interceptor missile guidance law based on GRU. Acta Aeronaut. Astronaut. Sin. 2022, 43, 398–409. [Google Scholar]

















| References | Description | Four-Body Engagement | Dual-Interceptor Coordination | Explicit Analytical Law | Dedicated Robustness Evaluation | Explicit Real-Time Discussion |
|---|---|---|---|---|---|---|
| Yamasaki et al. [12] | Modified intercept guidance for aircraft defense | ✗ | ✗ | △ | ✗ | ✗ |
| Ratnoo and Shima [13,14,15] | Three-body active defense guidance | ✗ | ✗ | ✓ | ✗ | ✗ |
| Garcia et al. [16] | Active target defense with first-order missile models | ✗ | ✗ | △ | ✗ | ✗ |
| Weiss et al. [18] | Minimum-effort active defense guidance | ✗ | ✗ | △ | ✗ | ✗ |
| Wang et al. [22] | Three-body AWACS cooperative active defense | ✗ | ✗ | ✓ | ✗ | ✗ |
| Shalumov [31] | Multi-agent cooperative guidance | ✗ | △ | △ | ✗ | ✗ |
| Fang and Cai [32] | Three-body guidance with guaranteed miss distance | ✗ | ✗ | △ | ✗ | ✗ |
| Li et al. [33] | Cooperative optimal guidance with real-time optimization and deep learning | ✗ | △ | ✗ | ✗ | △ |
| This work | Four-body dual-interceptor cooperative active defense for EWA | ✓ | ✓ | ✓ | ✓ | ✓ |
| Object | Parameter Name | Parameter Value |
|---|---|---|
| Early Warning (T) | Detection Range (m) | 40,000 |
| Cruise Velocity (m/s) | 200 | |
| Escort Fighters (Dual) | Escort Radius (m) | 500 |
| Relative Bearing (°) | 0 | |
| Flight Velocity (m/s) | 300 | |
| Attack Missile (M) | Guidance Law | PN |
| Maximum Overload (g) | 40 | |
| Guidance Loop Time Constant (s) | 0.1 | |
| Flight Velocity (m/s) | 1200 | |
| Interceptor Missiles (, ) | Maximum Overload (g) | 40 |
| Guidance Loop Time Constant (s) | 0.1 | |
| Flight Velocity (m/s) | 1000 |
| Guidance Law | Sample Size | Mean Miss (m) | Median Miss (m) | <50 m (%) | Average Joint Prob. p | (%) | ||
|---|---|---|---|---|---|---|---|---|
| PN | 2880 | 7311.08 | 6536.17 | 14.26 | 14.69 | 51.46 | 0.5675 | 56.28 |
| APN | 2640 | 8133.24 | 7168.30 | 1297.52 | 1126.16 | 48.54 | 0.5251 | 52.35 |
| CPNG | 2880 | 7444.95 | 6459.93 | 899.10 | 843.72 | 46.48 | 0.5077 | 50.38 |
| Proposed | 2880 | 1.46 | 0.55 | 0.75 | 0.54 | 100.0 | 0.9999 | 99.99 |
| Uncertainty Type | Perturbation Level | Direction | Success Rate (%) |
|---|---|---|---|
| Type-1 | 15 g | 60° | 98.0 |
| 15 g | 180° | 98.0 | |
| 20 g | 0° | 99.0 | |
| 20 g | 150° | 99.0 | |
| 20 g | 180° | 99.0 |
Disclaimer/Publisher’s Note: The statements, opinions and data contained in all publications are solely those of the individual author(s) and contributor(s) and not of MDPI and/or the editor(s). MDPI and/or the editor(s) disclaim responsibility for any injury to people or property resulting from any ideas, methods, instructions or products referred to in the content. |
© 2026 by the authors. Licensee MDPI, Basel, Switzerland. This article is an open access article distributed under the terms and conditions of the Creative Commons Attribution (CC BY) license.
Share and Cite
Yang, Y.; Li, J.; Wang, X.; Huang, G. Optimal Cooperative Guidance Algorithm for Active Defense of EWA Under Dual Fighter Escort. Mathematics 2026, 14, 1187. https://doi.org/10.3390/math14071187
Yang Y, Li J, Wang X, Huang G. Optimal Cooperative Guidance Algorithm for Active Defense of EWA Under Dual Fighter Escort. Mathematics. 2026; 14(7):1187. https://doi.org/10.3390/math14071187
Chicago/Turabian StyleYang, Yali, Jiajin Li, Xiaoping Wang, and Guorong Huang. 2026. "Optimal Cooperative Guidance Algorithm for Active Defense of EWA Under Dual Fighter Escort" Mathematics 14, no. 7: 1187. https://doi.org/10.3390/math14071187
APA StyleYang, Y., Li, J., Wang, X., & Huang, G. (2026). Optimal Cooperative Guidance Algorithm for Active Defense of EWA Under Dual Fighter Escort. Mathematics, 14(7), 1187. https://doi.org/10.3390/math14071187
