Adaptive Fractional-Order Total Variation and Minimax-Concave Based Image Denoising Model
Abstract
1. Introduction
- 1.
- Higher-order regularization models: Examples include the Lysaker–Lundervold–Tai (LLT) model [7] and the Total Generalized Variation (TGV) model [8,9]. These models incorporate higher-order derivative information to better represent smooth image regions, effectively mitigating staircase effects. However, they often lead to over-smoothed edges or introduce speckle artifacts, compromising detail preservation in texture-rich areas [10].
- 2.
- Fractional-order regularization models: Fractional differential operators with order greater than one possess non-locality and weak singularity [11], enabling them to capture both edge and texture details simultaneously. Models based on fractional-order TV (FOTV) have demonstrated unique advantages in suppressing staircase effects while preserving textures [12,13,14,15]. Moreover, FOTV has been shown to better preserve image contrasts compared to the standard TV model [6]. Nevertheless, as noted by Chen et al. [16], the denoising performance of pure fractional-order TV models on images with high noise levels still requires improvement.
- 3.
- Adaptive and anisotropic models: The core idea of these models is to dynamically adjust the strength or direction of regularization based on local image structure. For instance, the anisotropic TV (ATV) model proposed by Pang et al. [17] introduces an adaptive weighting matrix derived from local gradients, applying weaker smoothing at edges for protection and stronger smoothing in flat regions for noise removal. The works of Wu et al. [18] and Yang et al. [3] also demonstrate the effectiveness of adaptive strategies in image segmentation and denoising. Although the ATV model excels in edge preservation, its performance on images with complex textures remains limited.
- 4.
- Non-convex regularization models: To more accurately estimate signal sparsity (e.g., the sparsity of image gradients), non-convex regularizers are introduced to replace the convex L1-norm. The minimax-concave (MC) penalty is a typical non-convex regularization tool that produces a sharper thresholding function than the L1-norm, leading to more accurate estimation of sparse signals [19]. Chen et al. [16] first combined the MC penalty with fractional-order TV, proposing the MCFOTV model, which achieved superior performance compared to traditional TV and FOTV models. However, this model’s adaptive capability is still insufficient when handling images with high noise levels and complex local structures.
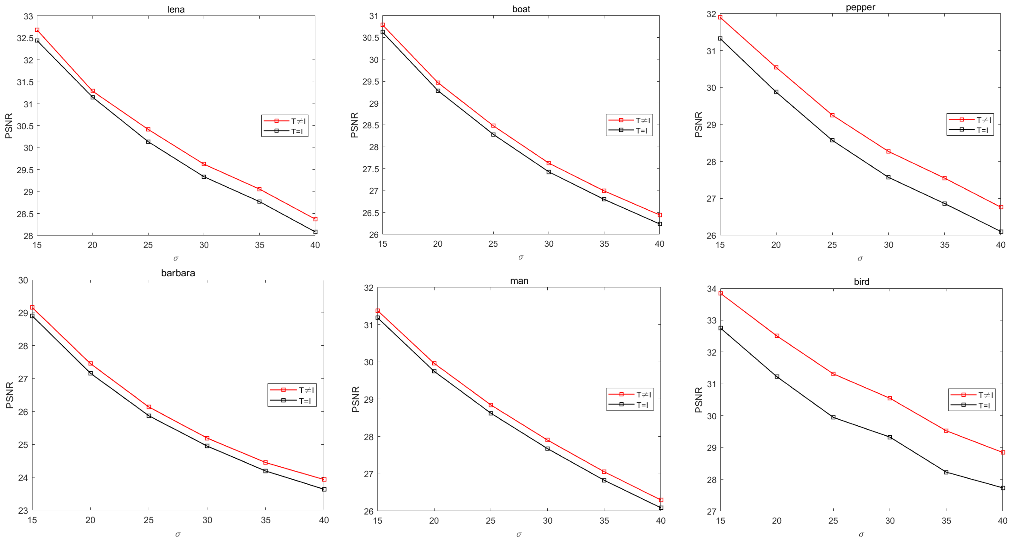
- We employ an adaptive weighting matrix (T) generated from the local gradient information of the noisy image. This allows the model to adaptively adjust the strength of the fractional-order differential operator based on image content (flat areas, edges, textures), enabling finer local control.
- We introduce a fractional-order gradient operator () with order between 1 and 2 as the basis for sparsity measurement. This operator inherently balances edge preservation and staircase effect suppression.
- We apply the minimax-concave (MC) penalty to regularize the weighted fractional-order gradient, aiming for a more accurate estimation of the true image sparsity prior than the traditional L1-norm, thereby enhancing restoration accuracy.
2. The Proposed Model
3. Algorithm
3.1. Preliminaries
3.2. ADMM Strategy
3.2.1. X-Subproblem
3.2.2. W-Subproblem
3.2.3. V-Subproblem
3.2.4. U-Subproblem
4. Numerical Experiments
4.1. Evaluation Criteria
4.2. Benchmark Images for Evaluation
4.3. Parameter Settings
4.4. Image Denoising
4.4.1. Metric Comparison (PSNR, SSIM)
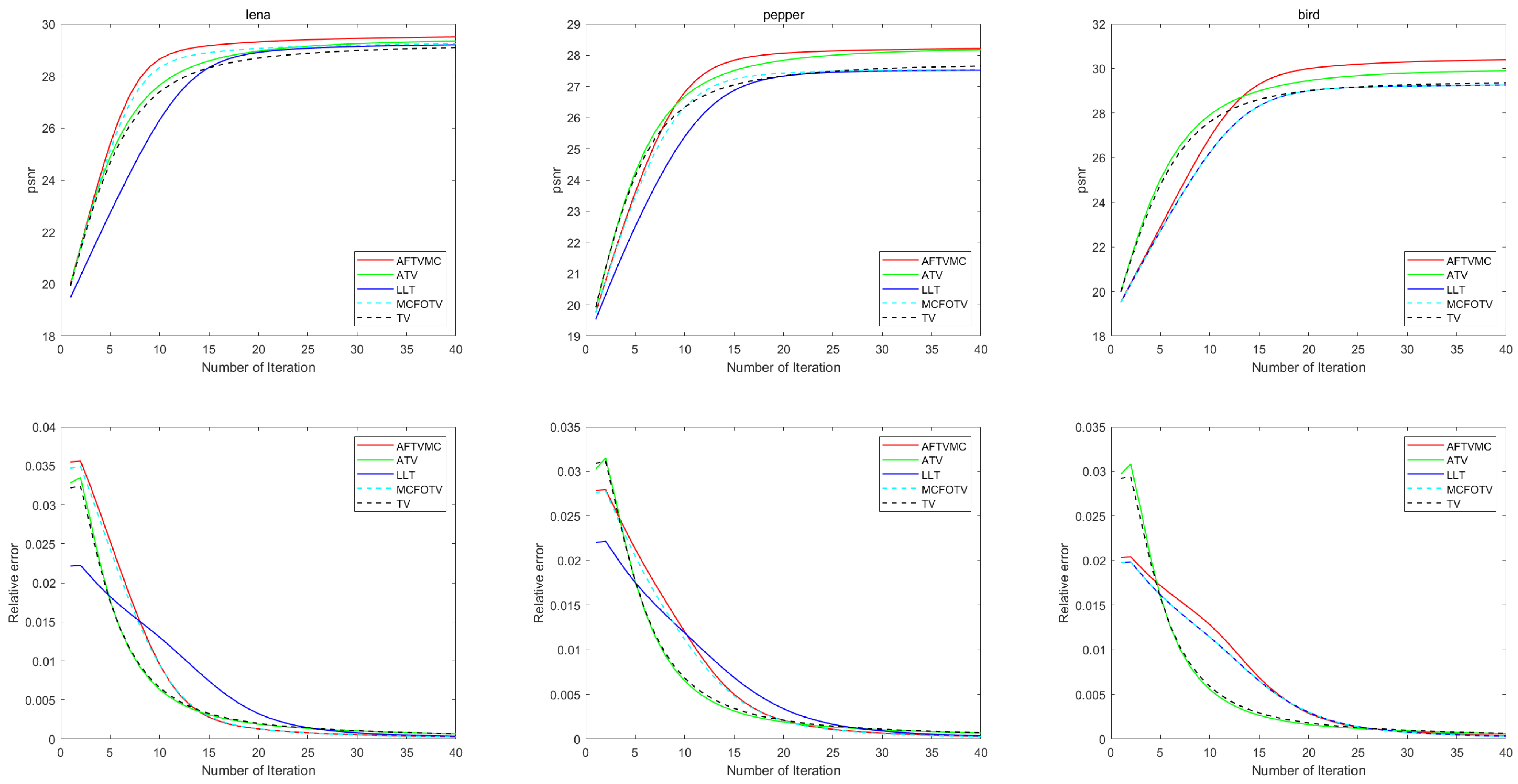
4.4.2. Convergence Rate Comparison (PSNR vs. Iterations; Relative Error vs. Iterations)
4.4.3. Visual Comparison (Profile Plots First, Then Global and Local Views)
- (1)
- Profile comparison.
- (2)
- Global and local visual comparisons.





5. Conclusions
Author Contributions
Funding
Institutional Review Board Statement
Data Availability Statement
Conflicts of Interest
References
- Aubert, G.; Kornprobst, P.; Aubert, G. Mathematical Problems in Image Processing: Partial Differential Equations and the Calculus of Variations; Springer: New York, NY, USA, 2006; p. 147. [Google Scholar]
- Wang, Y.; Wang, Z. Image denoising method based on variable exponential fractional-integer-order total variation and tight frame sparse regularization. IET Image Process. 2021, 15, 101–114. [Google Scholar] [CrossRef]
- Yang, J.; Ma, M.; Zhang, J.; Wang, C. Noise removal using an adaptive euler’s elastica-based model. Vis. Comput. 2023, 39, 5485–5496. [Google Scholar] [CrossRef]
- Willoughby, R.A. Solutions of ill-posed problems (an tikhonov and vy arsenin). SIAM Rev. 1979, 21, 266. [Google Scholar]
- Rudin, L.I.; Osher, S.; Fatemi, E. Nonlinear total variation based noise removal algorithms. Phys. D Nonlinear Phenom. 1992, 60, 259–268. [Google Scholar] [CrossRef]
- Zhang, J.; Chen, K. A total fractional-order variation model for image restoration with nonhomogeneous boundary conditions and its numerical solution. SIAM J. Imaging Sci. 2015, 8, 2487–2518. [Google Scholar] [CrossRef]
- Lysaker, M.; Lundervold, A.; Tai, X.-C. Noise removal using fourth-order partial differential equation with applications to medical magnetic resonance images in space and time. IEEE Trans. Image Process. 2002, 12, 1579–1590. [Google Scholar] [CrossRef]
- Bredies, K.; Kunisch, K.; Pock, T. Total generalized variation. SIAM J. Imaging Sci. 2010, 3, 492–526. [Google Scholar] [CrossRef]
- Bredies, K.; Valkonen, T. Inverse problems with second-order total generalized variation constraints. arXiv 2020, arXiv:2005.09725. [Google Scholar] [CrossRef]
- Rahman Chowdhury, M.; Zhang, J.; Qin, J.; Lou, Y. Poisson image denoising based on fractional-order total variation. Inverse Probl. Imaging 2020, 14, 77–96. [Google Scholar] [CrossRef]
- Podlubny, I. Fractional Differential Equations: An Introduction to Fractional Derivatives, Fractional Differential Equations, to Methods of Their Solution and Some of Their Applications; Elsevier: New York, NY, USA, 1998. [Google Scholar]
- Chen, D.; Chen, Y.; Xue, D. Three fractional-order tv-l2 models for image denoising. J. Comput. Inf. Syst. 2013, 9, 4773–4780. [Google Scholar]
- Tian, D.; Xue, D.; Wang, D. A fractional-order adaptive regularization primal–dual algorithm for image denoising. Inf. Sci. 2015, 296, 147–159. [Google Scholar] [CrossRef]
- Dong, F.; Chen, Y. A fractional-order derivative based variational framework for image denoising. Inverse Probl. Imaging 2016, 10, 27. [Google Scholar] [CrossRef]
- Ben-Loghfyry, A.; Charkaoui, A.; Bouchriti, A.; Alaa, N.E. A novel evolutionary model using the Caputo time-fractional derivative and noise estimator for image denoising and contrast enhancement. Comput. Math. Appl. 2026, 204, 305–346. [Google Scholar] [CrossRef]
- Chen, X.; Zhao, P. Image denoising based on the fractional-order total variation and the minimax-concave. Signal Image Video Process. 2023, 18, 1601–1608. [Google Scholar] [CrossRef]
- Pang, Z.-F.; Zhou, Y.-M.; Wu, T.; Li, D.-J. Image denoising via a new anisotropic total-variation-based model. Signal Process. Image Commun. 2019, 74, 140–152. [Google Scholar] [CrossRef]
- Wu, T.; Gu, X.; Wang, Y.; Zeng, T. Adaptive total variation based image segmentation with semi-proximal alternating minimization. Signal Process. 2021, 183, 108017. [Google Scholar] [CrossRef]
- Du, H.; Liu, Y. Minmax-concave total variation denoising. Signal Image Video Process. 2018, 12, 1027–1034. [Google Scholar] [CrossRef]
- Bai, J.; Feng, X.-C. Fractional-order anisotropic diffusion for image denoising. IEEE Trans. Image Process. 2007, 16, 2492–2502. [Google Scholar] [CrossRef]
- Zhang, H.; Wang, Y. Edge adaptive directional total variation. J. Eng. 2013, 2013, 61–62. [Google Scholar] [CrossRef]
- Grasmair, M.; Lenzen, F. Anisotropic total variation filtering. Appl. Math. Optim. 2010, 62, 323–339. [Google Scholar] [CrossRef]
- Boltt, E.M.; Chartrand, R.; Esedoğlu, S.; Schultz, P.; Vixie, K.R. Graduated adaptive image denoising: Local compromise between total variation and isotropic diffusion. Adv. Comput. Math. 2009, 31, 61–85. [Google Scholar] [CrossRef]
- Pang, Z.-F.; Zhang, H.-L.; Luo, S.; Zeng, T. Image denoising based on the adaptive weighted tvp regularization. Signal Process. 2020, 167, 107325. [Google Scholar] [CrossRef]
- Zhang, J.; Wei, Z.; Xiao, L. Adaptive fractional-order multi-scale method for image denoising. J. Math. Imaging Vis. 2012, 43, 39–49. [Google Scholar] [CrossRef]
- Eckstein, J.; Yao, W. Augmented lagrangian and alternating direction methods for convex optimization: A tutorial and some illustrative computational results. RUTCOR Res. Rep. 2012, 32, 44. [Google Scholar]
- Combettes, P.L.; Wajs, V.R. Signal recovery by proximal forward-backward splitting. Multiscale Model. Simul. 2005, 4, 1168–1200. [Google Scholar] [CrossRef]
- Ilham, W.; Ahmad, A. A comprehensive review of ConvNeXt architecture in image classification: Performance, applications, and prospects. Int. J. Adv. Comput. Inform. 2026, 2, 108–114. [Google Scholar] [CrossRef]



| Image | |||||||||||
|---|---|---|---|---|---|---|---|---|---|---|---|
| 1.1 | 1.2 | 1.3 | 1.4 | 1.5 | 1.6 | 1.7 | 1.8 | 1.9 | 2 | ||
| lena | 15 | 32.0150 | 32.1642 | 32.2931 | 32.4086 | 32.5048 | 32.5804 | 32.6341 | 32.6671 | 32.6831 | 32.6845 |
| 20 | 31.2245 | 31.2181 | 31.2186 | 31.2308 | 31.2501 | 31.2684 | 31.2826 | 31.2882 | 31.2837 | 31.2685 | |
| 25 | 29.9022 | 30.0252 | 30.1219 | 30.2083 | 30.2804 | 30.3387 | 30.3795 | 30.4044 | 30.4155 | 30.4118 | |
| 30 | 29.5136 | 29.5232 | 29.5307 | 29.5531 | 29.5792 | 29.6019 | 29.6181 | 29.6252 | 29.6221 | 29.6067 | |
| 35 | 28.9406 | 28.9432 | 28.9485 | 28.9656 | 28.9909 | 29.0187 | 29.0430 | 29.0564 | 29.0567 | 29.0419 | |
| 40 | 28.2809 | 28.2903 | 28.2959 | 28.3109 | 28.3344 | 28.3549 | 28.3694 | 28.3739 | 28.3687 | 28.3495 | |
| boat | 15 | 30.6809 | 30.7453 | 30.7794 | 30.7900 | 30.7816 | 30.7570 | 30.7170 | 30.6649 | 30.6016 | 30.5318 |
| 20 | 29.4218 | 29.4636 | 29.4760 | 29.4682 | 29.4441 | 29.4069 | 29.3610 | 29.3062 | 29.2452 | 29.1790 | |
| 25 | 28.3858 | 28.4466 | 28.4741 | 28.4815 | 28.4717 | 28.4477 | 28.4129 | 28.3705 | 28.3227 | 28.2682 | |
| 30 | 27.4005 | 27.5019 | 27.5670 | 27.6073 | 27.6268 | 27.6287 | 27.6151 | 27.5901 | 27.5581 | 27.5198 | |
| 35 | 26.8944 | 26.9548 | 26.9838 | 26.9926 | 26.9856 | 26.9684 | 26.9414 | 26.9064 | 26.8692 | 26.8279 | |
| 40 | 26.4076 | 26.4378 | 26.4430 | 26.4317 | 26.4100 | 26.3820 | 26.3478 | 26.3095 | 26.2708 | 26.2300 | |
| pepper | 15 | 31.8172 | 31.8304 | 31.8256 | 31.8282 | 31.8431 | 31.8566 | 31.8562 | 31.8407 | 31.8101 | 31.7573 |
| 20 | 30.2425 | 30.3138 | 30.3628 | 30.4130 | 30.4597 | 30.4994 | 30.5273 | 30.5438 | 30.5451 | 30.5230 | |
| 25 | 29.0004 | 29.0650 | 29.0982 | 29.1279 | 29.1569 | 29.1824 | 29.2072 | 29.2304 | 29.2475 | 29.2526 | |
| 30 | 28.0025 | 28.0659 | 28.0971 | 28.1219 | 28.1504 | 28.1857 | 28.2230 | 28.2538 | 28.2698 | 28.2696 | |
| 35 | 27.2813 | 27.3449 | 27.3744 | 27.3999 | 27.4244 | 27.4524 | 27.4835 | 27.5097 | 27.5326 | 27.5466 | |
| 40 | 26.6106 | 26.6678 | 26.6777 | 26.6802 | 26.6873 | 26.6980 | 26.7126 | 26.7312 | 26.7475 | 26.7598 | |
| barbara | 15 | 28.1651 | 28.3136 | 28.4536 | 28.5868 | 28.7131 | 28.8309 | 28.9384 | 29.0317 | 29.1079 | 29.1640 |
| 20 | 26.7034 | 26.8447 | 26.9725 | 27.0890 | 27.1933 | 27.2829 | 27.3559 | 27.4099 | 27.4429 | 27.4545 | |
| 25 | 25.5283 | 25.6545 | 25.7649 | 25.8628 | 25.9495 | 26.0226 | 26.0792 | 26.1174 | 26.1361 | 26.1347 | |
| 30 | 24.6202 | 24.7366 | 24.8396 | 24.9327 | 25.0140 | 25.0820 | 25.1342 | 25.1694 | 25.1882 | 25.1910 | |
| 35 | 24.0048 | 24.1009 | 24.1857 | 24.2605 | 24.3250 | 24.3767 | 24.4147 | 24.4379 | 24.4480 | 24.4450 | |
| 40 | 23.6436 | 23.7134 | 23.7717 | 23.8222 | 23.8641 | 23.8967 | 23.9199 | 23.9310 | 23.9302 | 23.9182 | |
| man | 15 | 30.7079 | 30.8562 | 30.9838 | 31.0928 | 31.1833 | 31.2554 | 31.3105 | 31.3489 | 31.3721 | 31.3809 |
| 20 | 29.4806 | 29.6058 | 29.7081 | 29.7912 | 29.8554 | 29.9031 | 29.9361 | 29.9547 | 29.9619 | 29.9590 | |
| 25 | 28.4486 | 28.5547 | 28.6377 | 28.7037 | 28.7554 | 28.7945 | 28.8221 | 28.8384 | 28.8460 | 28.8452 | |
| 30 | 27.6053 | 27.6857 | 27.7465 | 27.7962 | 27.8344 | 27.8635 | 27.8845 | 27.8968 | 27.9030 | 27.9025 | |
| 35 | 26.7526 | 26.8277 | 26.8844 | 26.9305 | 26.9684 | 27.0006 | 27.0254 | 27.0403 | 27.0500 | 27.0537 | |
| 40 | 26.0632 | 26.1182 | 26.1596 | 26.1944 | 26.2244 | 26.2504 | 26.2708 | 26.2836 | 26.2921 | 26.2956 | |
| bird | 15 | 32.9145 | 32.9772 | 33.0805 | 33.2178 | 33.3593 | 33.4964 | 33.6159 | 33.7186 | 33.8028 | 33.8453 |
| 20 | 31.8634 | 31.8124 | 31.8500 | 31.9392 | 32.0521 | 32.1652 | 32.2760 | 32.3801 | 32.4687 | 32.5038 | |
| 25 | 30.8911 | 30.8039 | 30.7820 | 30.8171 | 30.9071 | 31.0114 | 31.1165 | 31.2108 | 31.2788 | 31.3121 | |
| 30 | 29.9077 | 29.8697 | 29.9073 | 29.9796 | 30.0720 | 30.1900 | 30.3067 | 30.4125 | 30.4997 | 30.5480 | |
| 35 | 29.1492 | 28.9984 | 28.9337 | 28.9606 | 29.0477 | 29.1588 | 29.2799 | 29.3874 | 29.4696 | 29.5246 | |
| 40 | 28.3207 | 28.3018 | 28.3132 | 28.3550 | 28.4065 | 28.4934 | 28.5983 | 28.7033 | 28.7878 | 28.8426 | |
| Noise Image | Models | ||||||||||||
|---|---|---|---|---|---|---|---|---|---|---|---|---|---|
| PSNR | SSIM | PSNR | SSIM | PSNR | SSIM | PSNR | SSIM | PSNR | SSIM | PSNR | SSIM | ||
| lena | TV | 32.2737 | 0.8573 | 30.9751 | 0.8296 | 30.0408 | 0.8104 | 29.2534 | 0.7894 | 28.6340 | 0.7674 | 27.9789 | 0.7640 |
| LLT | 32.4521 | 0.8567 | 31.1233 | 0.8319 | 30.1334 | 0.8113 | 29.2943 | 0.7898 | 28.7330 | 0.7755 | 28.0409 | 0.7628 | |
| ATV | 32.4256 | 0.8597 | 31.1337 | 0.8349 | 30.2252 | 0.8154 | 29.4507 | 0.7964 | 28.8399 | 0.7782 | 28.1688 | 0.7584 | |
| MCFOTV | 32.4717 | 0.8581 | 31.1446 | 0.8308 | 30.1737 | 0.8116 | 29.3398 | 0.7901 | 28.7714 | 0.7764 | 28.0836 | 0.7647 | |
| AFTVMC | 32.6845 | 0.8618 | 31.2882 | 0.8426 | 30.4155 | 0.8132 | 29.6252 | 0.8024 | 29.0564 | 0.7917 | 28.3739 | 0.7738 | |
| boat | TV | 30.5012 | 0.8140 | 29.1690 | 0.7754 | 28.1442 | 0.7437 | 27.3797 | 0.7158 | 26.7040 | 0.6931 | 26.1434 | 0.6715 |
| LLT | 30.5139 | 0.8126 | 29.1363 | 0.7730 | 28.1021 | 0.7394 | 27.2752 | 0.7127 | 26.5839 | 0.6882 | 25.9928 | 0.6660 | |
| ATV | 30.6820 | 0.8172 | 29.3788 | 0.7801 | 28.4014 | 0.7486 | 27.6172 | 0.7227 | 26.9460 | 0.7000 | 26.3848 | 0.6799 | |
| MCFOTV | 30.6242 | 0.8158 | 29.2868 | 0.7779 | 28.2854 | 0.7453 | 27.4293 | 0.7161 | 26.7982 | 0.6910 | 26.2378 | 0.6704 | |
| AFTVMC | 30.7900 | 0.8194 | 29.4760 | 0.7817 | 28.4815 | 0.7506 | 27.6287 | 0.7225 | 26.9926 | 0.6981 | 26.4430 | 0.6779 | |
| pepper | TV | 31.3150 | 0.8820 | 29.8609 | 0.8530 | 28.7007 | 0.8322 | 27.6987 | 0.8049 | 26.9277 | 0.7862 | 26.1661 | 0.7620 |
| LLT | 31.2961 | 0.8805 | 29.8454 | 0.8521 | 28.5695 | 0.8187 | 27.5487 | 0.7925 | 26.8589 | 0.7675 | 26.1027 | 0.7554 | |
| ATV | 31.7219 | 0.8911 | 30.3094 | 0.8700 | 29.1729 | 0.8450 | 28.1438 | 0.8207 | 27.3618 | 0.8019 | 26.5427 | 0.7796 | |
| MCFOTV | 31.3298 | 0.8834 | 29.8771 | 0.8544 | 28.5696 | 0.8187 | 27.5679 | 0.7914 | 26.8582 | 0.7772 | 26.1028 | 0.7554 | |
| AFTVMC | 31.8566 | 0.8999 | 30.5451 | 0.8783 | 29.2526 | 0.8496 | 28.2698 | 0.8244 | 27.5466 | 0.8054 | 26.7598 | 0.7878 | |
| barbara | TV | 28.5862 | 0.8100 | 26.9629 | 0.7603 | 25.8187 | 0.7169 | 25.0373 | 0.6831 | 24.3833 | 0.6592 | 23.9037 | 0.6431 |
| LLT | 28.9141 | 0.8133 | 27.1623 | 0.7549 | 25.8664 | 0.6987 | 24.9474 | 0.6673 | 24.1913 | 0.6285 | 23.6374 | 0.6101 | |
| ATV | 28.8497 | 0.8275 | 27.1908 | 0.7770 | 25.9690 | 0.7359 | 25.0591 | 0.6912 | 24.3919 | 0.6673 | 23.9083 | 0.6361 | |
| MCFOTV | 28.9091 | 0.8150 | 27.1626 | 0.7552 | 25.8695 | 0.7034 | 24.9476 | 0.6673 | 24.1914 | 0.6285 | 23.6375 | 0.6101 | |
| AFTVMC | 29.1640 | 0.8196 | 27.4545 | 0.7776 | 26.1361 | 0.7267 | 25.1910 | 0.6947 | 24.4480 | 0.6617 | 23.9310 | 0.6447 | |
| man | TV | 30.8834 | 0.7877 | 29.4651 | 0.7401 | 28.3854 | 0.7011 | 27.4545 | 0.6691 | 26.6395 | 0.6367 | 25.9203 | 0.6167 |
| LLT | 31.1876 | 0.8004 | 29.7420 | 0.7554 | 28.6161 | 0.7183 | 27.6650 | 0.6853 | 26.8249 | 0.6571 | 26.0854 | 0.6322 | |
| ATV | 31.0585 | 0.7913 | 29.6495 | 0.7452 | 28.5643 | 0.7073 | 27.6194 | 0.6746 | 26.7790 | 0.6458 | 26.0311 | 0.6205 | |
| MCFOTV | 31.1877 | 0.8004 | 29.7480 | 0.7549 | 28.6246 | 0.7179 | 27.6736 | 0.6850 | 26.8249 | 0.6571 | 26.0855 | 0.6322 | |
| AFTVMC | 31.3809 | 0.8041 | 29.9619 | 0.7608 | 28.8460 | 0.7246 | 27.9030 | 0.6934 | 27.0537 | 0.6651 | 26.2956 | 0.6409 | |
| bird | TV | 32.9522 | 0.9006 | 31.5693 | 0.8777 | 30.4361 | 0.8520 | 29.4807 | 0.8323 | 28.6358 | 0.8235 | 27.9817 | 0.8055 |
| LLT | 32.7531 | 0.8740 | 31.2190 | 0.8472 | 29.9444 | 0.8164 | 29.3278 | 0.8071 | 28.2246 | 0.7881 | 27.7324 | 0.7808 | |
| ATV | 33.3542 | 0.9109 | 32.0309 | 0.8890 | 30.9539 | 0.8753 | 29.9178 | 0.8485 | 29.2357 | 0.8443 | 28.2889 | 0.8159 | |
| MCFOTV | 32.7533 | 0.8740 | 31.2230 | 0.8433 | 29.9446 | 0.8164 | 29.3279 | 0.8071 | 28.2246 | 0.7881 | 27.7325 | 0.7808 | |
| AFTVMC | 33.8453 | 0.9070 | 32.5038 | 0.8915 | 31.3121 | 0.8716 | 30.5480 | 0.8582 | 29.5246 | 0.8457 | 28.8426 | 0.8287 | |
Disclaimer/Publisher’s Note: The statements, opinions and data contained in all publications are solely those of the individual author(s) and contributor(s) and not of MDPI and/or the editor(s). MDPI and/or the editor(s) disclaim responsibility for any injury to people or property resulting from any ideas, methods, instructions or products referred to in the content. |
© 2026 by the authors. Licensee MDPI, Basel, Switzerland. This article is an open access article distributed under the terms and conditions of the Creative Commons Attribution (CC BY) license.
Share and Cite
Qin, Y.; Du, C.; Yin, Y. Adaptive Fractional-Order Total Variation and Minimax-Concave Based Image Denoising Model. Mathematics 2026, 14, 1105. https://doi.org/10.3390/math14071105
Qin Y, Du C, Yin Y. Adaptive Fractional-Order Total Variation and Minimax-Concave Based Image Denoising Model. Mathematics. 2026; 14(7):1105. https://doi.org/10.3390/math14071105
Chicago/Turabian StyleQin, Yaping, Chaoxiong Du, and Yimin Yin. 2026. "Adaptive Fractional-Order Total Variation and Minimax-Concave Based Image Denoising Model" Mathematics 14, no. 7: 1105. https://doi.org/10.3390/math14071105
APA StyleQin, Y., Du, C., & Yin, Y. (2026). Adaptive Fractional-Order Total Variation and Minimax-Concave Based Image Denoising Model. Mathematics, 14(7), 1105. https://doi.org/10.3390/math14071105

