Next Article in Journal
Some Novel Formulas of the Telephone Polynomials Including New Definite and Indefinite Integrals
Previous Article in Journal
Oscillation Results for Difference Equations with Several Non-Monotone Advanced Arguments
Previous Article in Special Issue
Interpretable Binary Classification Under Constraints for Financial Compliance Modeling
 
 
Font Type:
Arial Georgia Verdana
Font Size:
Aa Aa Aa
Line Spacing:
Column Width:
Background:
Article

Optimal Dividend and Capital Injection Strategies with Exit Options in Jump-Diffusion Models

Department of Financial and Actuarial Mathematics, Xi’an Jiaotong-Liverpool University, Suzhou 215123, China
*
Author to whom correspondence should be addressed.
Mathematics 2026, 14(3), 447; https://doi.org/10.3390/math14030447
Submission received: 8 December 2025 / Revised: 21 January 2026 / Accepted: 23 January 2026 / Published: 27 January 2026

Abstract

This paper studies optimal dividend and capital injection strategies with active exit options under a jump-diffusion model. We introduce a piecewise terminal payoff function to capture stop-loss exits (for deficits) and profit-taking exits (for surpluses), enabling shareholders to dynamically balance risk and return. Using the dynamic programming principle, we derive the associated quasi-variational inequalities (QVIs) and characterize the value function as the unique viscosity solution. To address analytical challenges, we employ the Markov chain approximation method, constructing a controlled Markov chain that closely approximates the jump-diffusion dynamics. Numerical solutions of the approximated problem are obtained via value iteration. The numerical results demonstrate how the value function and optimal strategies respond to different claim distributions (comparing Exponential and Pareto cases), key model parameters, and exit payoff functions. The numerical study further validates the algorithm’s convergence and examines the stability of solutions with respect to domain truncation in the QVI formulation.

1. Introduction

The optimal dividend problem has long been a cornerstone of research in mathematical finance and actuarial science. Traditional studies focus primarily on maximizing shareholder value through dividend distributions. Seminal work by [1] first introduced the classical framework of such an optimal dividend problem, demonstrating that under a discrete-time random walk model, the optimal dividend strategy follows a barrier strategy. Subsequent extensions to continuous-time frameworks, including foundational contributions by [2,3,4], established that band strategies often emerge as the optimal dividend strategy. Specifically, Gerber [2] first resolved the optimal dividend problem under the Cramér–Lundberg model, while [4] incorporated reinsurance contracts and characterized the value function as the smallest viscosity solution of the associated Hamilton–Jacobi–Bellman (HJB) equation. Further refinements of the classical optimal dividend problem include diffusion models (see [5,6]) and dual jump-diffusion frameworks (see, e.g., [7,8,9,10]).
While dividends directly impact shareholder returns, capital injections serve as a critical mechanism for maintaining solvency. Together, they constitute the core of corporate financial decision-making. When a company faces financial distress or bankruptcy risks, shareholders must balance dividend payouts against capital injections to sustain operations. Existing literature typically restricts capital injection to the scenarios with deficits in the firm’s surplus, see [11,12,13]. In practice, shareholders may proactively inject capital even with a positive surplus to pursue higher dividends by expanding the operational scale. In addition, transaction costs are an inevitable issue in real company operation scenarios, which typically consist of two components: proportional transaction costs and fixed transaction costs. Therefore, many scholars have considered the optimal dividend distribution and capital injection strategy under the constraint of certain transaction costs in their research. For example, Thonhauser and Albrecher [14] studied the optimal dividend problem with strictly positive transaction costs under a compound Poisson model, and Yao et al. [15] explored the optimal dividend and capital injection problem in the presence of both proportional and fixed transaction costs. For other recent literature on optimal dividend and capital injection problems with transaction costs, see e.g., [16,17,18,19,20] and references therein.
An alternative approach to managing solvency in optimal dividend problems involves penalty payments at ruin. This framework was pioneered by [6], who introduced a penalty function to discourage early ruin of the controlled risk process. Their work characterized optimal dividend strategies for both the Cramér–Lundberg model and diffusion processes. In recent works, Xu and Woo [18] studied the optimal dividend and capital injection problem with a penalty payment at ruin when dividends are paid continuously throughout the time, and the study has been extended to singular dividend control by [21] as well.
A common limitation of existing models is their passive approach to solvency management, for example, penalties are imposed only at ruin. This framework fails to capture the proactive exit strategies, such as stop-loss (to limit downside losses) and/or profit-taking (to lock in gains), as appearing in real-world investment and corporate finance.
Profit-taking and stop-loss strategies originate in financial markets as fundamental risk management tools. As noted by [22], traders widely employ these strategies to mitigate uncertainty in stock, futures, and other asset classes. Profit-taking allows traders to lock in gains by exiting positions when prices reach favorable levels, often anticipating market corrections or overvaluation. Conversely, stop-loss strategies limit losses by triggering exits when prices fall below predefined thresholds. Recent research further suggests that stop-loss mechanisms offer benefits beyond risk mitigation. For instance, Kaminski and Lo [23] demonstrates that implementing a stop-loss strategy may generate a positive “stopping premium”, where the expected return exceeds those of unconstrained strategies.
These insights motivate our investigation into integrating profit-taking and stop-loss mechanisms into corporate finance, particularly within the framework of De Finetti’s optimal dividend problem with capital injection. For shareholders, these strategies translate into dynamic decision rules: (1) Stop-loss exits replace capital injections when financial performance deteriorates irreversibly, for instance, a startup facing sustained losses in a declining market; (2) Profit-taking exits maximize shareholder value by distributing surplus and liquidating positions at peak valuations, as seen in mature firms proactively exiting to avoid market downturns. Our contributions to the related literature are summarized as follows:
  • We revise De Finetti’s optimal dividend and capital injection problem from a shareholder’s investment perspective and introduce profit-taking and stop-loss exit mechanisms, enabling decision-makers to actively manage risk exposure and exhibit behaviors that cannot arise under conventional frameworks. In the existing literature, the ruin penalty mechanism typically operates in a passive manner, where firms are often compelled to inject capital, or the penalty is automatically triggered upon bankruptcy. Such a framework reduces flexibility in adjusting shareholders’ corporate investment position proactively, as the firm must continue operating until ruin, and exit is never a strategic choice. However, in real corporate investment environments, decision-makers frequently employ proactive exit mechanisms, such as stop-loss rules to limit downside risk or profit-taking exits to lock in gains. These widely used strategies cannot be captured by traditional penalty at ruin or mandatory capital injection frameworks. Hence, our study bridges the gap by introducing active exit options into the optimal dividend and capital injection problem.
  • We introduce a class of piecewise affine exit payoff functions that captures stop-loss (for deficits) and profit-taking (for surpluses), enabling shareholders to actively manage risk-return tradeoffs. The payoff function is designed to have an economic connection to the classical optimal dividend and capital injection problem without existing options.
  • Using the dynamic programming principle, we derive the quasi-variational inequalities (QVIs) and characterize the value function as the unique viscosity solution to the QVIs. To solve the resulting mixed singular-impulse control problem with stopping, we employ the Markov chain approximation method combined with value iteration, which offers computational tractability. The flexibility of this numerical approach allows us to explore optimal strategies across diverse scenarios, demonstrate the roles of exit thresholds and model parameters, and claim distributions in shaping the optimal decision-making.
    A key insight that emerges from our study is the identification of an intermediate no-action region. As detailed in Examples 2 and 3, we demonstrate that within a specific surplus range for certain scenarios, shareholders may exhibit a preference for inaction over dividend payouts or profit-taking exits. This phenomenon arises from a strategic trade-off, i.e., retaining surpluses to mitigate future liabilities (e.g., costly capital injections), while simultaneously avoiding a premature exit that would reject potential gains from continued business operations. This insight underscores the significant value of incorporating flexible exit options in the classical optimal dividend and capital injection problems.
The rest of the paper is organized as follows. The model and the formulation of the optimal dividend and capital injection control problem with exit options are introduced in Section 2; some properties of the optimal value function and characterization of a bound of the stop-loss exit threshold are also presented in Section 2. In Section 3, we derive (heuristically) the QVIs associated with the optimization problem together with a stronger version of the dynamic programming principle satisfied by the value function. Section 4 is dedicated to presenting a verification theorem and some sufficient conditions for the optimality of certain exit options. We also provide viscosity characterization of the value function. Section 5 introduces the detailed procedures for applying the Markov chain approximation method and derives the dynamic programming equations for solving the approximated problem numerically. In Section 6, various numerical examples are provided to illustrate the results of optimal dividend, capital injection, and exit strategies. Finally, a short conclusion is provided in Section 7.

2. The Problem Formulation

We consider the uncontrolled surplus process X = ( X t ) t 0 of an insurance company to be defined on a complete filtered probability space ( Ω , F , F = ( F t ) t 0 , P ) satisfying the usual condition, which is a jump-diffusion process as
X t = x + c t + σ B t i = 1 N t Y i ,
where F is the augmented natural filtration generated by X. Note that x 0 and c > 0 are the initial surplus and the constant premium rate, respectively. ( B t ) t 0 is a standard Brownian motion, where σ > 0 is the corresponding volatility, which may describe the small fluctuations of the surplus dynamics. ( N t ) t 0 is a homogeneous Poisson process with intensity λ > 0 . { Y i } i 1 are independent and identically distributed random claims with common density function f and finite mean μ = 0 y f ( y ) d y < . We assume that ( N t ) t 0 and { Y i } i 1 are independent. In the following, we use P x and E x to denote the law of X and corresponding expectation, respectively, when the surplus process starts at x. We shall suppress the subscript when x = 0 .
Let L = ( L t ) t 0 be the cumulative dividends paid up to time t and I = ( I t ) t 0 be the cumulative capital amount injected by time t. When paying dividends, we assume that there exist proportional transaction costs; whenever the company pays one unit of dividend, the shareholders can only receive ϕ 1 ( 0 < ϕ 1 1 ) units. On the other hand, for capital injection, we assume that there exist both proportional and fixed transaction costs. To be specific, if the shareholders inject one unit of capital into the surplus, the proportional transaction cost to be paid is ϕ 2 1 ( 1 < ϕ 2 2 ), and the fixed transaction cost to be paid is κ > 0 , then the actual payment needed from the shareholders is κ + ϕ 2 z to achieve the capital injection of amount z. Due to the positive fixed transaction costs, it is never optimal to inject capital continuously; hence, one can rewrite the capital injection process as I t = j = 1 η j 1 { τ j t } , where { τ j , j = 1 , 2 , } is a sequence of injection time points and { η j , j = 1 , 2 , } are the corresponding capital injection amounts, and  1 { · } denotes the indicator function. Note that the problem under consideration is essentially a mixed singular (dividend) and impulse (capital injection) control problem. Let ( U t ) t 0 denote the controlled surplus process with both dividend and capital injection controls,
U t = X t L t + I t .
A strategy π = ( L , I ) is said to be admissible if: (i) ( L t ) t 0 is a non-decreasing, F -adapted càdlàg process, such that L t U t and L 0 = 0 ; (ii) { τ j } j 1 is a sequence of stopping times with respect to F and 0 τ 1 < τ 2 < < τ n < almost surely; (iii) { η j } j 1 are non-negative and measurable with respect to F τ j for j = 1 , 2 , ; (iv) P lim j τ j T = 0 for all T 0 ; and (v) U t 0 for all t 0 . We let Π denote the set of all such admissible controls.
Then, the performance function under an arbitrary dividend and capital injection strategy π = ( L , I ) Π can be expressed as
J ( x ; π ) = E x 0 e r t ϕ 1 d L t τ n < e r τ n ( κ + ϕ 2 η n ) ,
where r > 0 is the discounting factor. Then, the associated value function of (3) is defined as
V ( x ) : = sup π Π J ( x ; π ) .
Problem (4) is the classical framework of optimal dividend and capital injection problems. However, as discussed in [20], it can be unreasonable for the shareholders to inject capital under a severe deficit scenario. On the other hand, it is also important to allow shareholders to exit the business with a large profit at hand.
Hence, in this study, we further consider the optimal exit options in such a dividend and capital injection optimization framework. To be specific, we introduce a stop-loss exit (in case of negative surplus) and a profit-taking exit (in the case of positive surplus). Whenever the controlled surplus U t is below zero at time t, the decision-maker can choose to exit the firm instead of continuing the business with capital injection (note that we silently assume that the company cannot run with a negative surplus). Similarly, whenever the controlled surplus U t is above zero at time t, the decision-maker can choose to exit the firm and receive an immediate payoff instead of continuing the business. To capture the trade-offs between exit options and continuing the business, we introduce a piecewise affine payoff function to mimic the terminal payoff upon exit. To be specific, let P : R R be defined as
P ( x ) = ψ + θ 1 x x > 0 , ψ + θ 2 x x 0 ,
where θ 1 ( 0 , 1 ] represents the proportion of surplus the shareholders can receive after a profit-taking exit, and θ 2 ( 0 , 1 ] denotes the proportion of deficit that must be borne by shareholders in a stop-loss exit. θ 2 plays a similar role as the penalties that are proportional to the deficit, that is, the shareholders are held responsible for paying at least partially into the deficit (see, e.g., [24]). On the other hand, θ 1 accounts for the potential “discount” on the current surplus if shareholders choose to stop the business and take the profit immediately. We will see in the following analysis that the values of θ 1 , θ 2 and the values of the proportional transaction costs for dividend ϕ 1 and capital injection ϕ 2 play important roles in defining the stop-loss and profit-taking exit boundaries.
One shall pay close attention to the value P ( 0 ) = ψ in (5), which represents the exit payoff for zero surplus/deficit, and differentiates our stop-loss exit for the classical penalty at ruin. Instead of choosing the value ψ arbitrarily, in this study, we focus on the case that ψ = α V ( 0 ) V ( 0 ) for some α [ 0 , 1 ] , where V ( 0 ) is the value function given in (4) with initial surplus zero and without exit options. Since one may interpret V ( 0 ) as the firm’s value (under some optimal dividend and capital injection strategies in problem (4)), it is reasonable to assume that the fixed exit payoff is less than such a value.
Hence, following a similar analysis as in [20], in Proposition 1 below, we first provide a boundary for the stop-loss exit level. In particular, for any x < 0 , the value with an immediate capital injection that brings the surplus level back to some post-capital injection level a > 0 is V ( a ) ( κ + ϕ 2 ( a x ) ) , which should be no less than the immediate exit value P ( x ) = ψ + θ 2 x . However, unlike the stop-loss, which is mandatory due to negative surplus, the profit-taking exit is an optional strategic decision that shall compare with both immediate dividend payout and continuing operations; hence, we shall keep it as an optimal stopping in the dividend and capital injection control problem.
Proposition 1. 
Assume that θ 2 < ϕ 2 , let a > 0 be an optimal post-capital injection level in problem (4), and  x ̲ < 0 be a stop-loss exit threshold, then, we have
x ̲ c r + σ 2 2 r ψ ϕ 2 θ 2 .
Proof. 
When the surplus drops to x ̲ , it is worth injecting capital only if V ( a ) ϕ 2 ( x ̲ + a ) κ ψ θ 2 x ̲ . Hence, we have
x ̲ V ( a ) ϕ 2 a κ ψ ϕ 2 θ 2 = V ( 0 ) ψ ϕ 2 θ 2 .
Consider the initial surplus x = 0 in problem (4), one arrives at
L t I t c t + σ B t + ,
where B t + = max { B t , 0 } denotes the positive part of the Brownian motion B t . Then,
 
V ( 0 ) = E 0 e r t ϕ 1 d L t τ n < e r τ n ( κ + ϕ 2 η n ) E 0 e r t d ( L t I t ) r E 0 e r t ( c t + σ B t + ) d t = r 0 e r t c t + σ t ( 2 π ) 1 d t = c r + 1 2 2 r σ .
By plugging the above inequality for V ( 0 ) into (7), we complete (6).    □
Remark 1. 
Since we are interested in the case ψ V ( 0 ) , it is obvious that when the condition θ 2 < ϕ 2 holds, the right hand side of the inequality (6) is non-negative. On the other hand, when θ 2 ϕ 2 and ψ V ( 0 ) , stop-loss exit cannot be an optimal strategy for any x < 0 ; hence, the problem reduces to the classical capital injection scenario. In addition, stop-loss exit may also result in a penalty at ruin whenever the surplus drops into the range ( , 0 ] , if  ψ > V ( 0 ) and θ 2 < ϕ 2 . However, this study shall focus on the scenario when ψ V ( 0 ) and θ 2 < ϕ 2 .
To proceed, we modify the problem (4) by adding the exit options. According to Proposition 1, we are safe to first define the stop-loss exit time, which is characterized by a stop-loss exit threshold x ̲ . For any π Π , let
τ ̲ π : = inf { t 0 : U t < x ̲ } .
We keep the profit-taking exit as a strategic optimal stopping time τ , taking values in the set of F -stopping times T . Then, the value function of the modified problem can be expressed as
V ( x ) : = sup π Π , τ T J ( x ; π , τ ) = E x 0 τ τ ̲ π e r t ϕ 1 d L t τ n < τ τ ̲ π e r τ n ( κ + ϕ 2 η n ) + e r ( τ τ ̲ π ) P ( U τ τ ̲ π ) .
Proposition 2. 
(i) 
The function x V ( x ) defined by (9) is increasing and continuous on [ 0 , ) , and satisfies
ϕ 1 ( x y ) V ( x ) V ( y ) ϕ 2 ( x y ) + κ , 0 y x
(ii) 
V ( x ) is linearly bounded for all x R , that is, there exists a constant C > 0 such that
V ( x ) C ( 1 + | x | ) , for all x R .
Proof. 
See Appendix A.    □

3. Dynamic Programming Principle and Quasi-Variational Inequality

In the following, we state the dynamic programming principle for our mixed singular-impulse control and optimal stopping problem. For any T that belongs to the set of F -stopping times and x R , we have that
V ( x ) = sup π Π , τ T E x [ 0 τ τ ̲ π T e r t ϕ 1 d L t τ n < τ τ ̲ π T e r τ n ( κ + ϕ 2 η n ) + e r ( τ τ ̲ π ) P ( U τ τ ̲ π ) 1 { τ τ ̲ π < T } + e r T V ( U T ) 1 { T τ τ ̲ π } ] .
However, we need to introduce a stronger statement of the dynamic programming principle, as given in the following proposition, which plays a key role in the proof of viscosity solution theory.
Proposition 3. 
For ε > 0 , x ( 0 , ) , and each pair of admissible dividend and capital injection control π Π , define the stopping time (recall that the profi-taking exit payoff is P ( · ) = ψ + θ 1 ( · )
τ ε π : = inf { t 0 : V ( U t ) ψ + θ 1 U t + ε } ,
Then, let h π be a F -stopping time for each π, if  h π τ ε π for all π Π , we have
V ( x ) = sup π Π E x 0 h π τ ̲ π e r t ϕ 1 d L t τ n < h π τ ̲ π e r τ n ( κ + ϕ 2 η n ) + e r ( h π τ ̲ π ) V ( U h π τ ̲ π ) .
Proof. 
The proof of a similar statement under the diffusion process is given by [25] and the proof for jump-diffusion processes can refer to, e.g., [26] (Proposition 3.2), where such dynamic programming principles can be proved for the controls only (no stopping) and then generalized to the case with stopping using the randomized stopping method developed by [25].    □
Next, we introduce two operators L and M . For any sufficiently smooth function v, let
L v ( x ) : = σ 2 2 v ( x ) + c v ( x ) ( λ + r ) v ( x ) + λ 0 v ( x y ) f ( y ) d y ,
in addition, define the operator M associated with immediate capital injection as
M v ( x ) : = sup y 0 { v ( x + y ) ϕ 2 y κ } .
Then, by the classical stochastic control theory (see, e.g., [4] (Proposition 3.1)) and Proposition 1, the quasi-variational inequalities (QVIs) associated with our mixed singular-impulse control and optimal stopping problem are given by
max L V ( x ) , ϕ 1 V ( x ) , M V ( x ) V ( x ) , P ( x ) V ( x ) = 0 , x ( 0 , )
with boundary conditions,
V ( x ) = M V ( x ) , x [ x ̲ , 0 ] and V ( x ) = P ( x ) , x ( , x ̲ ) ,
where
x ̲ = ( M V ( 0 ) ψ ) / ( ϕ 2 θ 2 ) .
Heuristically, one can argue that, for any x > 0 , when it is optimal to inject capital immediately, one shall have V ( x ) = M V ( x ) . If it is optimal for the decision-maker to apply a profit-taking exit strategy for some x > 0 , one has V ( x ) = P ( x ) ; furthermore, when it is optimal to pay dividends immediately, one has the first order condition V ( x ) = ϕ 1 . If the decision-maker takes no action, one shall arrive at L V ( x ) = 0 . The boundary conditions are obvious from Remark 1 and the definition of the value function given in (9).

4. Verification Theorem and Viscosity Solution

In this section, we prove a (local) verification theorem that will help us identify certain sufficient conditions for the optimality of some exit strategies.
Proposition 4. 
(i) 
Let v ( x ) be an increasing and sufficiently smooth function on ( 0 , ) satisfying
max { L v ( x ) , ϕ 1 v ( x ) , M v ( x ) v ( x ) , P ( x ) v ( x ) } 0 , for x ( 0 , ) ,
with v ( x ) P ( x ) and v ( x ) M v ( x ) for all x 0 . Then we have v ( x ) V ( x ) for all x.
(ii) 
For any closed interval I ( 0 , ) , let v ( x ) be an increasing and sufficiently smooth function on I , where the derivatives on the boundaries of I are understand as right or left derivatives. Then, if  v ( x ) satisfies
max { L v ( x ) , ϕ 1 v ( x ) , M v ( x ) v ( x ) , P ( x ) v ( x ) } 0 for x I ,
with boundary conditions v ( x ) = V ( x ) for x ( , a ] { b } , where a = inf ( I ) and b = sup ( I ) . Then we have v ( x ) V ( x ) for x I .
Proof. 
See Appendix B.    □
In the following proposition, we provide a sufficient condition under which the profit-taking exit strategy is optimal when the surplus is sufficiently large.
Proposition 5. 
If ϕ 1 θ 1 ϕ 2 , then, there exists a sufficiently large x ¯ > 0 , such that the profit-taking exit strategy is optimal on [ x ¯ , ) .
Proof. 
See Appendix C.    □
According to Proposition 2, the value function in our problem is not necessarily smooth on ( 0 , ) . Hence, to ensure the numerical solutions are plausible, we adopt the concept of viscosity solution introduced by [27] and characterize the value function as the unique viscosity solution of (17).
Definition 1. 
Let f : R R be an increasing and Lipschitz continuous function that is linearly bounded.
(i) 
f is a local viscosity supersolution (subsolution) of (17) at x 0 ( 0 , ) if for any test function h, which is twice-continuously differentiable on ( 0 , ) such that f h has a local minimum (maximum) at x 0 , then
max L h ( x 0 ) , ϕ 1 h ( x 0 ) , M h ( x 0 ) h ( x 0 ) , P ( x 0 ) h ( x 0 ) ( ) 0 .
(ii) 
f is a viscosity solution of (17) if it is both a viscosity supersolution and subsolution of (17) at any x ( 0 , ) satisfying the boundary condition (18).
Proposition 6. 
The value function in (9) is the unique viscosity solution of (17) that is increasing, continuous, and linearly bounded.
Proof. 
See Appendix D.    □
To end this section, we consider a scenario when ψ > V ( 0 ) . We provide a sufficient condition under which it is optimal to implement exit strategies immediately for all x R .
Proposition 7. 
Assume that ψ > V ( 0 ) , and if further
max ϕ 1 , θ 2 θ 1 min r ψ + λ θ 2 μ c , ϕ 2 ,
then we have V ( x ) = P ( x ) for all x R , that is, the optimal strategy is the profit-taking exit strategy for all x > 0 , and the stop-loss exit strategy for all x 0 .
Proof. 
See Appendix E.    □

5. Numerical Algorithm

In this section, we solve the control problem (9) numerically using the Markov chain approximation (MCA) method. The MCA method has been widely applied to various stochastic control problems, including optimal dividend problems. For instance, Jin et al. [28] employed this approach to study optimal reinsurance and dividend payout strategies under regime-switching diffusion models. Their work involved constructing a locally consistent discrete-time controlled Markov chain to approximate the underlying risk process. By discretizing the associated Hamilton–Jacobi–Bellman (HJB) equation via finite differences and applying the dynamic programming principle, they developed a value iteration algorithm to compute the value function and optimal strategies. The convergence of these approximations was rigorously established using weak convergence theory. Similar applications can be found in [28,29] for problems involving capital injection and investment strategies, respectively. More recent extensions and applications are discussed in [30,31] and references therein.
Given the well-established theoretical foundations of the MCA method, including its proven convergence properties (see, e.g., [32]), we adapt this framework to solve our optimal dividend and capital injection problem with exit options. Specifically, our numerical approach involves three key steps:
1.
Surplus dynamics approximation
We approximate the continuous-time jump-diffusion control problem with a discrete-time controlled Markov chain, ensuring local consistency with the original dynamics (Equation (26) and Definition 2). This involves the following:
Discretizing the state space with step size h.
Deriving transition probabilities and interpolation intervals that match the drift and diffusion terms (Equations (32)–(34)).
Incorporating Poisson claim jumps via properties of the Poisson process (Definition 2).
2.
Dynamic programming equation
Using finite differences, we derive the discretized dynamic programming equation (Equation (35)) for the approximate value function (Equation (27)).
3.
Numerical solution via value iteration
For a given step size h, we iteratively compute the value function V n h until convergence using value iteration method.
To proceed, let us recall some facts that are useful for constructing the approximating Markov chain. Let v 0 = 0 , and  { v n , n 1 } denote the sequence of the claim arrival times in surplus process X given by (1), and  { Y n , n 1 } is the associated claim amounts. Let w n = v n v n 1 for n 1 be the waiting time of the n-th claim, and  { w n , n 1 } is a sequence of mutually independent random variables following a common exponential distribution with mean 1 / λ , and is independent of { Y n , n 1 } . Meanwhile, we assume that { w k , Y k , k n } is independent of X s for all s < v n , and  w k , Y k , for all k < n . Then, the aggregate claim amounts S t can be written as
S t = v n t Y n .
We focus on the local properties of the claims for the surplus process (1). Because the waiting time w n is exponentially distributed, we obtain
P ( claim occurs on [ t , t + Δ t ) X s , N s , s t ) = λ Δ t + o ( Δ t ) .
By the independence and the definition of Y n , for any y R + , we have
P ( X t X t [ y , y + d y ) t = v n for some n ; X s , N s , s < t ; X t = x ) = f ( y ) d y .
Then, we consider the local behavior of the controlled surplus process (2) until the next claim, the dynamic is given by
d U t = c d t + σ d B t d L t + d ( τ n t η n ) , v n 1 t < v n , n = 0 , 1 , 2 , .
According to Proposition 5, we assume that ϕ 1 θ 1 ϕ 2 holds, and we let u be a sufficiently large boundary for the QVIs (17), where the optimal strategy is profit-taking exit for any x exceeding u. Therefore, we impose an upper boundary condition at x = u as V ( u ) = P ( u ) .
Hence, the value function V shall solve
max L V ( x ) , ϕ 1 V ( x ) , M V ( x ) V ( x ) , P ( x ) V ( x ) = 0 , x ( 0 , u ) , V ( u ) = P ( u ) ,
with V ( x ) = sup 0 y u x { V ( x + y ) ϕ 2 y ˜ κ } for x [ x ̲ , 0 ] , and  V ( x ) = P ( x ) for x ( , x ̲ ) .
We construct a discrete-time controlled Markov chain that is locally consistent with (2). Let h > 0 be a discretization parameter representing the step size of the surplus. Define S h = { x : x = k h , k = 0 , ± 1 , ± 2 , } and S h = S h G h , where G h = ( , u ] . Without loss of generality, we assume that u is divisible by h. Let { ξ n h , n 0 } be a controlled discrete-time Markov chain on S h and denote by p D h ( x , y | π h ) the transition probability from a state x to another state y under the control π h . Our objective is to identify suitable values for p D h ( x , y | π h ) so that the constructed discrete-time Markov chain can approximate the local nature of the controlled diffusion process (22) arbitrarily closely when h 0 . The one-step increment of the discrete-time Markov chain ξ n h can be denoted as Δ ξ n h = ξ n + 1 h ξ n h . At any discrete time n, when ξ n h > 0 , we can either choose dividend, capital injection, profit-taking exit, or no action. In this case, the one-step increment can be denoted as
Δ ξ n h = Δ ξ n h 1 { dividend at n } + Δ ξ n h 1 { capital injection at n } + Δ ξ n h 1 { profit-taking exit at n } + Δ ξ n h 1 { no action at n } ,
and when ξ n h 0 , we can either choose capital injection or stop-loss exit, then
Δ ξ n h = Δ ξ n h 1 { inject capital at n } + Δ ξ n h 1 { stop-loss exit at n } .
The Markov chain and the control will be chosen so that there is only one nonzero term in (24) and (25). Denote by { A n h : n = 0 , 1 , } the sequence of control actions, where A n h = 0, 1, 2 or 3 correspond to no action, capital injection, dividend, and exit at time n, respectively. If  A n h = 1 , let Δ g n h denote the capital injection amount at time n, where Δ ξ n h = Δ g n h . If  A n h = 2 , we denote Δ l n h as the amount of dividend paid out at time n, then Δ ξ n h = Δ l n h = h . If  A n h = 3 , we take the profit-taking exit (resp. stop-loss exit) strategy, the surplus will stop at ξ n h > 0 (resp. ξ n h 0 ). If  A n h = 0 , the decision-maker will take no action, let Δ ˜ t h ( · ) > 0 be the interpolation interval on S h , assume that inf x Δ ˜ t h ( x ) > 0 for each h > 0 and all x S h , and  lim h 0 sup x S h Δ ˜ t h ( x ) 0 .
Let E x , n h , 0 and Var x , n h , 0 denote the conditional expectation and variance of Δ ξ n h given { ξ k h , k n ; A k h , k n 1 } , ξ n h = x and A n h = 0 , respectively. The sequence { ξ n h , n 0 } is said to be locally consistent with respect to (22), if it satisfies
E x , n h , 0 ( Δ ξ n h ) = c Δ ˜ t h ( x ) + o ( Δ ˜ t h ( x ) ) , Var x , n h , 0 ( Δ ξ n h ) = σ 2 Δ ˜ t h ( x ) + o ( Δ ˜ t h ( x ) ) , sup n , ω Ω | Δ ξ n h ( ω ) | 0 a s h 0 .
Note that capital injection, dividend payment, and exit strategies can be treated as “instantaneous” actions. Hence, when x > 0 , the interpolation interval associated with control actions can be written as
Δ t h ( x , i ) = Δ ˜ t h ( x ) 1 { i = 0 } , for any ( x , i ) S h ( 0 , u ] × { 0 , 1 , 2 , 3 } ,
and Δ t h ( x , i ) = 0 , for any ( x , i ) S h ( , 0 ] × { 1 , 3 } . Denote by π h : = { π n h , n 0 } , the sequence of control actions. The sequence π h is said to be admissible if π n h is σ { ξ 0 h , , ξ n h , π 0 h , , π n 1 h } -adapted for all n and for any E B ( S h ) , we have
P ξ n + 1 h E | σ { ξ 0 h , , ξ n h , π 0 h , , π n h } = p D h ( ξ n h , E | π n h ) , P ξ n + 1 h = 0 | ξ n h = u , σ { ξ 0 h , , ξ n h , π 0 h , , π n h } = 1 ,
where σ { ξ 0 h , , ξ n h , π 0 h , , π n 1 h } denotes the smallest σ -algebra generated by ( ξ h , π h ) . Let
t 0 h = 0 , t n h : = k = 0 n 1 Δ t h ( ξ k h , A k h ) , n h ( t ) : = max { n : t n h t } .
Then, the piecewise constant interpolations, denoted by ξ h ( · ) , g h ( · ) , and  l h ( · ) , are naturally defined as for any t [ t n h , t n + 1 h ) ,
ξ h ( t ) = ξ n h , g h ( t ) = k n h ( t ) Δ g k h 1 { A k h = 1 } , l h ( t ) = k n h ( t ) Δ l k h 1 { A k h = 2 } .
Let x ̲ be the stop-loss exit thresholds, and define
τ ̲ h = t n ^ h , where n ^ : = inf { n : ξ n h < x ̲ } .
Let ξ 0 h = x S h , ( π h , τ h ) Π h × T h be an admissible control, where T h denotes the set of integer-valued stopping time adapted to σ { ξ 0 h , , ξ n h , π 0 h , , π n 1 h } . The performance function under the discrete-time controlled Markov chain is defined as
J h ( x ; π h , τ h ) = E x k = 0 n ^ τ h 1 e r t k h ϕ 1 Δ l k h ϕ 2 Δ g k h κ 1 { A k h = 1 } + e r ( τ ̲ h τ h ) P ( ξ n ^ τ h h ) .
The corresponding value function is
V h ( x ) : = sup π h Π h , τ h T h J h ( x ; π h , τ h ) .
Therefore, one can show that V h ( x ) satisfies the following dynamic programming equation:
V h ( x ) = max { y S h e r Δ t h ( x , 0 ) p D h ( x , y | π h ) V h ( y ) , y S h p D h ( x , y | π h ) ( V h ( y ) + ϕ 1 ( x y ) ) , sup y S h ( 0 , u x ] V h ( x + y ) ϕ 2 y κ , P ( x ) } , for x S h ( 0 , u ) .
Note that the discount factor does not appear in the second, third, and fourth terms above since dividend payment, capital injection, and profit-taking exit are instantaneous. In addition, for any x S h ( , 0 ] , V h ( x ) shall satisfy V h ( x ) = sup y S h ( 0 , u x ] V h ( x + y ) ϕ 2 y κ for x x ̲ , and  V h ( x ) = P ( x ) for x < x ̲ .
Therefore, by using the finite difference method, and combined with the operator L given in (15) without Poisson jumps, and the capital injection operator (16), we can rewrite (23) as
max { σ 2 2 V h ( x + h ) 2 V h ( x ) + V h ( x h ) h 2 + c V h ( x + h ) V h ( x ) h r V h ( x ) , ϕ 1 V h ( x ) V h ( x h ) h , sup y S h ( 0 , u x ] V h ( x + y ) ϕ 2 y κ V h ( x ) , P ( x ) V h ( x ) } = 0 , x S h ( 0 , u ) .
Comparing (29) and (28), with some simple algebra, we arrive at
σ 2 2 V h ( x + h ) 2 V h ( x ) + V h ( x h ) + c h V h ( x + h ) V h ( x ) r h 2 V h ( x ) = 0 .
Reorganize the coefficients of V h ( · ) and x, we get
σ 2 2 + c h V h ( x + h ) + ( σ 2 c h r h 2 ) V h ( x ) + σ 2 2 V h ( x h ) = 0 .
On the other hand, we rewrite the first part of (28) such that we only keep the terms related to V h ( x h ) , V h ( x ) , and  V h ( x + h ) ,
e r Δ t h ( x , 0 ) p D h ( x , x + h | π h ) V h ( x + h ) + p D h ( x , x h | π h ) V h ( x h ) V h ( x ) = 0 .
By equating the coefficient of V h ( · ) and x in (30) and (31), we arrive at
p D h ( x , x + h | π h ) = σ 2 / 2 + c h σ 2 + c h , p D h ( x , x h | π h ) = σ 2 / 2 σ 2 + c h , p D h ( · ) = 0 , otherwise ,
and
Δ t h ( x , 0 ) = h 2 σ 2 + c h .
We also find the transition probability for the fourth part of the right side of (28), which is
p D h ( x , 0 | π h ) = 1 .
Assume that the discrete-time Markov chain ξ n h = x , and the next interpolation interval Δ t h ( x , 0 ) is determined by (33). Then, we further incorporate the Poisson jumps into the analysis, where the value of the Markov chain ξ · h in time t n + 1 h can be expressed based on the following two scenarios:
(i)
No claims occur in [ t h n , t n + 1 h ) with probability ( 1 λ Δ t h ( x , 0 ) + o ( Δ t h ( x , 0 ) ) ) ; one can determine ξ n + 1 h by transition probability as in (32) and (34).
(ii)
There is a claim in [ t h n , t n + 1 h ) with the probability λ Δ t h ( x , 0 ) + o ( Δ t h ( x , 0 ) ) ; one can determine ξ n + 1 h by ξ n + 1 h = ξ n h y h , where y h S h is the nearest value of y such that ξ n + 1 h S h , where y has a density function f ( y ) for the jump size. It is obvious that | y h y | 0 as h 0 uniformly in x.
Note that for two or more claims, the probability is o ( Δ t h ( x , 0 ) ) . Let H n h denote the event that there is no claim in period [ t h n , t n + 1 h ) , so that ξ n + 1 h is determined by Scenario (i) given above, and  K n h denotes the case of one claim given in (ii). We have 1 H k h + 1 K k h = 1 . Then, we need to redefine the local consistency of a controlled Markov chain that approximates the jump-diffusion process of (1).
Definition 2. 
A controlled Markov chain { ξ n h , 0 n < } is said to be locally consistent with (2), if there is an interpolation interval Δ t h ( x , 0 ) 0 as h 0 uniformly in x, such that
(i) 
There is a transition probability p D h ( · ) that is locally consistent with (2) such that (26) holds true.
(ii) 
There is a β h ( x , 0 ) = o ( Δ t h ( x , 0 ) ) such that the one-step transition probability p h ( x , y | π h ) for any y S h ( , x ) is given by
p h ( x , y | π h ) = ( 1 λ Δ t h ( x , 0 ) + β h ( x , 0 ) ) p D h ( x , y | π h ) + ( λ Δ t h ( x , 0 ) + β h ( x , 0 ) ) P Y [ x y h 2 , x y + h 2 ] .
Finally, by Definition 2 and (28), we reach the following dynamic programming equations,
V h ( x ) = max [ ( 1 λ Δ t h ( x , 0 ) + β h ( x , 0 ) ) e r Δ t h ( x , 0 ) y S h p D h ( x , y | π h ) V h ( y ) + ( λ Δ t h ( x , 0 ) + β h ( x , 0 ) ) e r Δ t h ( x , 0 ) 0 V h ( x y ) f ( y ) d y , V h ( x h ) + ϕ 1 h , sup y S h ( 0 , u x ] V h ( x + y ) ϕ 2 y κ , P ( x ) ] , x S h ( 0 , u ) , P ( u ) , x = u ,
with V h ( x ) = sup y S h ( 0 , u x ] ( V h ( x + y ) ϕ 2 y κ ) for x S h [ x ̲ , 0 ] , and  V h ( x ) = P ( x ) for x S h ( , x ̲ ) , where x ̲ = ( V h ( 0 ) ψ ) / ( ϕ 2 θ 2 ) .

6. Numerical Examples

In this section, we provide thorough numerical illustrations of the optimal dividend and capital injection strategy with exit options for the problem (27). For any n = 0 , 1 , 2 , let the vectors V n h = { V n h ( 0 ) , V n h ( h ) , , V n h ( u ) } , and V h = { V h ( 0 ) , V h ( h ) , , V h ( u ) } be the value functions at the nth iteration and the corresponding converged value function, respectively (note that, according to the boundary condition (18), we only need to compute V h on the domain [ 0 , u ] ). Let π n h = { π n h ( 0 ) , π n h ( h ) , , π n h ( u ) } denote the optimal control action at each surplus level during the nth iteration. Specifically, π n h ( x ) = 0 denotes the control of no action; π n h ( x ) = 1 denotes the control of capital injection; π n h ( x ) = 2 denotes the control of dividend payout; π n h ( x ) = 3 denotes the control of profit-taking exit. According to the boundary conditions in (35), when x = u , we shall set π n h ( u ) = 3 , which is a profit-taking exit.
The numerical algorithm based on the value iteration method is given in Algorithm 1 below. The numerical cost of the algorithm is mainly driven by the value iteration procedure on the discretized state space. For each iteration, the value function is updated at all grid points. At each grid point, the evaluation of the jump-related terms and the capital injection operator involves summations or comparisons over a subset of grid points. Consequently, the computational effort per iteration increases rapidly as the grid is refined. The total computational cost depends on both the grid resolution and the number of value iteration steps required to satisfy the convergence tolerance. For all numerical examples in subsequent sections, we adopt a step size of h = 0.05 and set the convergence tolerance to 10 5 . Such choices of step size and tolerance ensure a robust balance between computational efficiency and numerical accuracy. Note that, based on previous discussion associated with (5), we set the fixed exit payoff ψ = α V ( 0 ) , with  α [ 0 , 1 ] .
Algorithm 1 MCA with Value Iteration
  1:
Input: State S h , Model parameters ( h , c , σ , r , λ , κ , ϕ 1 , ϕ 2 , θ 2 , θ 1 , α , u ), transition probabilities p D h ( · ) , interpolation interval Δ t ( · ) .
  2:
Output: Value function V h , optimal strategy π h .
  3:
Initialize: Set n = 0 , set V 0 h = 1 be a unit vector, π 0 h to arbitrary initial strategy, Δ = 0 , x ̲ V 0 h ( 0 ) ( 1 α ) / ( ϕ 2 θ 2 )
  4:
repeat
  5:
      For each x S h [ 0 , u ]
V n + 1 h ( x ) max π h Π h [ 1 λ Δ t h ( x , 0 ) + β h ( x , 0 ) e r Δ t h ( x , 0 ) y P h p D h ( x , y | π h ) V n h ( y ) . + λ Δ t h ( x , 0 ) + β h ( x , 0 ) e r Δ t h ( x , 0 ) 0 V n h ( x y ) f ( y ) d y , V n h ( x h ) + ϕ 1 h , sup y S h ( 0 , u x ] { V n h ( x + y ) ϕ 2 y κ } , P ( x ) ] , x S h ( 0 , u ) , sup y S h ( 0 , u ) { V n h ( y ) ϕ 2 y κ } , x = 0 , α V n h ( 0 ) + θ 1 u , x = u .
π n + 1 h ( x ) argmax π h { 0 , 1 , 2 , 3 } [ 1 λ Δ t h ( x , 0 ) + β h ( x , 0 ) e r Δ t h ( x , 0 ) y S h p D h ( x , y | π h ) V n h ( y ) + λ Δ t h ( x , 0 ) + β h ( x , 0 ) e r Δ t h ( x , 0 ) 0 V n h ( x y ) f ( y ) d y , V n h ( x h ) + ϕ 1 h , sup y S h ( 0 , u x ] { V n h ( x + y ) ϕ 2 y κ } , P ( x ) ] , for x S h ( 0 , u ) , 1 , x = 0 , 3 , x = u .
  6:
       Δ max { Δ , sup x S h | V n + 1 h ( x ) V n h ( x ) | }
  7:
       x ̲ V n + 1 h ( 0 ) ( 1 α ) / ( ϕ 2 θ 2 )
  8:
       n n + 1
  9:
until  Δ  tolerance
10:
return:  V n h  and  π n + 1 h .
Example 1. 
We provide a benchmark example to compare the optimal value function and policy thresholds under two claim size distributions with identical means. Specifically, we consider exponential claims with density f ( y ) = β e β y , where β = 0.2 , and Pareto claims with density f ( y ) = ρ ζ ρ ( y + ζ ) ρ + 1 , where ρ = 3 and ζ = 10 . The remaining parameters are fixed as follows: premium rate c = 6 , volatility σ = 1 , Poisson intensity λ = 1 , discount rate r = 0.1 , dividend transaction cost ϕ 1 = 0.7 , capital injection (proportional) transaction cost ϕ 2 = 1.1 , capital injection (fixed) transaction cost κ = 0.3 . For the exit payoff functions (see Equation (5)), we set θ 1 = 0.8 (profit-taking), θ 2 = 0.4 (stop-loss), and α = 0.7 (fixed payoff parameter). In addition, we set u = 50 . Since the optimal policy and value function in the negative surplus region ( x < 0 ) are determined by the value function at zero, our computations focus on the value function and optimal strategy for x [ 0 , u ] .
Note that in all of the following numerical results and analysis, the optimal stop-loss exit level is denoted by x ̲ * ; a * is the optimal post-capital injection level, b * represents the optimal dividend barrier; o * (if it exists) indicates the switching point from the dividend region to a continuation (no action) region before reaching the optimal profit-taking exit level; and x ¯ * is the profit-taking exit threshold, beyond which immediate exit becomes optimal.
Discussion 1. 
Figure 1 compares the value functions under exponential and Pareto claim size distribution, where both distributions share the same mean, while all other model parameters remain identical. For clarity, the value function is plotted over a truncated surplus range that captures all relevant action regions. In both cases, the value function is monotonically increasing with respect to the initial surplus x, which is consistent with Proposition 2.
Table 1 summarizes the key thresholds of the optimal strategy in Example 1. To illustrate, consider the exponential case:
  • For x < 2.05 , the optimal strategy is the stop-loss exit, and V h ( x ) = θ 2 x + α V h ( 0 ) .
  • For x S h [ 2.05 , 0 ] , the optimal strategy is to inject capital and bring the surplus back to the positive level 0.25 .
  • For x S h ( 0 , 0.9 ) , no action is taken.
  • For x S h [ 0.9 , 18.75 ) , dividends are paid; hence, V h ( x ) = V h ( 0.9 ) + ϕ 1 ( x 0.9 ) .
  • For x 18.75 , the profit-taking exit is optimal, with V h ( x ) = θ 1 x + α V h ( 0 ) .
The Pareto case, characterized by heavy tails and infinite variance, results in a higher dividend barrier ( b * ) and a higher profit-taking exit threshold ( x ¯ * ). Such observation is reasonable, since the Pareto distribution’s heavy tails imply a higher likelihood of extreme (though rare) losses. This incentivizes shareholders to retain more capital (higher dividend barrier) and demand greater surplus accumulation before exiting to compensate for the presented tail risks under the Pareto case. Furthermore, according to Figure 1, we observe that the value function is larger (uniformly in x) under the Pareto distribution (despite identical mean claim sizes) compared with the exponential case. Such a result might be counterintuitive at first glance, but is grounded in the interplay of conservative dividend and profit-taking strategies and costly capital injections. In addition, the conservative strategy under the Pareto case (high capital retention) aligns with the real-world insurer’s behavior with heavy-tailed risks, where shareholders prioritize sustainability over short-term payouts.
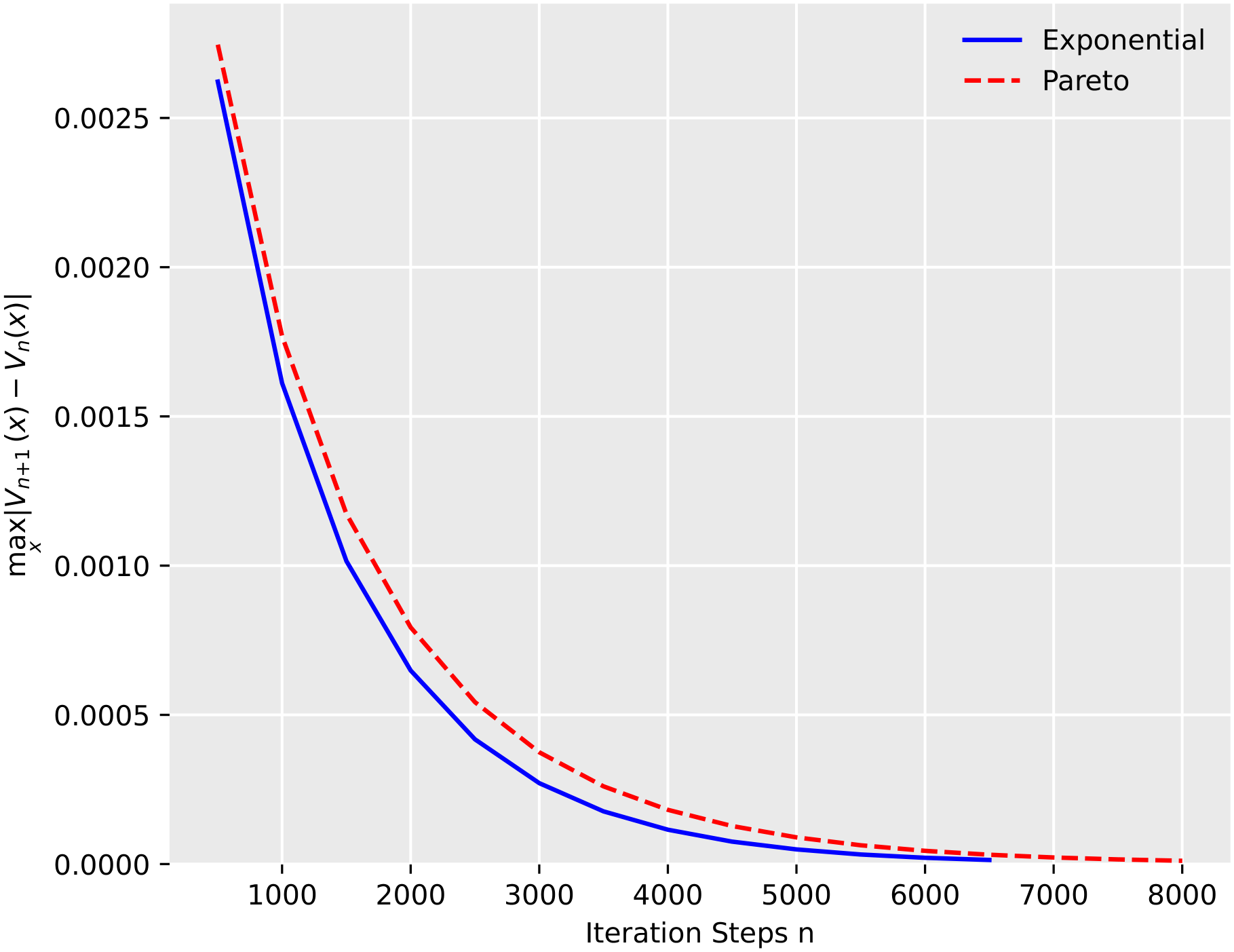
To validate the convergence of the value iteration scheme, we track the “error” value max x S h | V n + 1 ( x ) V n ( x ) | across iteration steps n (sampled every 500 iterations). Figure 2 shows that the error declines monotonically, dropping rapidly in early iterations and approaching zero smoothly. The exponential case converges slightly faster than the Pareto case, but, for both models, the value function converges eventually after around 7000 iterations.
Building on Example 1 as the benchmark, we now examine how the optimal strategy is influenced by (i) the exit payoff function P ( x ) , (ii) key model parameters, and (iii) the length of the truncated surplus interval. For clarity, we focus on the exponential claim size distribution while systematically varying these factors.
Example 2. 
We assess the effects of the exit payoff function P ( x ) by varying its parameters ( θ 1 , θ 2 , and α), which govern the proportional surplus/deficit in profit-taking exit, stop-loss exit, and the fixed exit payments, respectively. The results, summarized in Table 2, Table 3 and Table 4, reveal how exit payoff parameters shape the optimal dividend and exit thresholds. We observe that the optimal post-capital injection level a * remains unchanged (equals 0.25) across variations in the exit payoff parameters. This stability arises because a * is, in general, primarily determined by the fixed transaction cost of capital injections. Consequently, we omit reporting a * in subsequent tables.
Discussion 2. 
(1) Impact of profit-taking slope θ 1 (Table 2)
Recall from Proposition 5, we require that θ 1 ϕ 1 = 0.7 (dividend transaction costs). Increasing the profit-taking slope θ 1 substantially reduces the profit-taking exit threshold x ¯ * (from 37.45 to 13.10 ), indicating that a higher marginal gain from exit strengthens the incentive to realize profits earlier.
An interesting observation is that when θ 1 = 0.85 , an additional continuation region emerges. The point o * = 12.35 denotes the optimal threshold at which one shall switch from paying dividends to taking no action. Such observation reveals that when θ 1 is larger than but close to ϕ 1 (e.g., 0.75 = θ 1 > ϕ 1 = 0.7 ), shareholders are nearly indifferent between profit-taking exiting and paying dividends. The optimal policy directly connects the dividend region to the profit-taking exit threshold. However, when θ 1 is sufficiently larger than ϕ 1 (e.g., θ 1 = 0.85 ), the higher marginal gain from (profit-taking) exiting creates a discontinuity in incentives. The shareholders prefer to pause dividends (no-action) and let surplus grow further before (profit-taking) exiting, as the higher θ 1 makes waiting for a larger exit payoff more attractive.
The optimal dividend barrier b * and the optimal stop-loss exit threshold x ̲ * remain nearly unchanged as reported in Table 2, suggesting that θ 1 (and its interplay with ϕ 1 ) primarily affects the profit-taking exit decision rather than other actions structure.
(2) Impact of stop-loss slope θ 2 (Table 3)
Recall from Proposition 1, we require θ 2 < ϕ 2 = 1.1 (proportional transaction costs of capital injection).
Table 3 shows that a higher θ 2 shifts the stop-loss trigger x ̲ * upward (closer to zero), reflecting a reduced tolerance to negative surplus.
Simultaneously, the profit-taking threshold x ¯ * decreases when the stop-loss penalty θ 2 increases, and for a sufficiently large θ 2 . the dividend barrier b * vanishes (Table 3). In addition, similar to θ 1 , a higher θ 2 can introduce another no-action region (e.g., o * = 9.6 for the case when θ 2 = 0.6 ) in between dividend payout and profit-taking exit. The underlying rationale of such observations in Table 3 can be summarized as follows: (i) Larger θ 2 exacerbates the penalty from deficit at stop-loss exit, making shareholders avoid negative surplus at all costs. This reallocates the focus from dividends (which reduce surplus) to earlier profit-taking exits; hence, we observe an increasing trend of dividend barrier (finally vanished) and a decreasing trend in profit-taking exit thresholds. (ii) The intermediate no-action region (characterized by the optimal switching threshold o * ) emerges as a buffer when continuing (without dividends) allows surplus to drift away from triggering the stop-loss exit.
Table 2 and Table 3 indicate that both θ 1 (profit-taking slope) and θ 2 (stop-loss slope) can induce a second no-action region, but with different drivers, where the former is a profit-driven delay (waiting for higher exit payoff), and the later is a penalty-driven avoidance (avoiding trigger of stop-loss exit).
(3) Impact of fix payoff α (Table 4)
Note that for α [ 0 , 1 ] , we have the fixed exit payoff ψ V ( 0 ) . It is reasonable to observe that a larger α leads to earlier exits for both stop-loss ( x ̲ * rises) and profit-taking ( x ¯ * falls). Shareholders become more aggressive in choosing exit options, i.e., preferring liquidation over continued operation under uncertainty. In addition, the optimal dividend barrier declines slightly, as shareholders may prefer to adopt a more aggressive dividend strategy when the liquidation value (the fixed exit payoff) becomes higher.
Example 3. 
In this example, we conduct a comprehensive sensitivity analysis to examine how the optimal dividend, capital injection, and exit strategies respond to variations in key model parameters, including volatility (σ), discount rate (r), premium rate (c), and jump intensity (λ). For each parameter, we vary its value within a reasonable range while keeping all other parameters at their benchmark levels (Example 1). The results, summarized in Table 5, Table 6, Table 7 and Table 8, reveal important economic insights into how risk-return trade-offs influence strategic decision-making in the presence of exit options.
Discussion 3. 
(1) Volatility effects (Table 5)
The analysis reveals that increased volatility (σ) induces a more conservative risk management strategy. As σ rises from 0.50 to 2.00, the optimal stop-loss exit threshold x ̲ * moves from 2.20 to 1.60 , indicating reduced tolerance for negative surplus levels under large diffusion risk. This reflects a risk-aversion attitude of the decision-maker and shareholders, where greater uncertainty prompts earlier intervention to prevent further losses. On the other hand, both the post-capital injection level a * (from 0.15 to 0.50) and optimal dividend barrier b * (from 0.45 to 2.20) increase substantially, demonstrating the need for larger capital buffers to mitigate the increasing probability of entering the costly capital injection region. Most notably, when volatility becomes sufficiently high ( σ = 2.00 ), an intermediate no-action region emerges (with the optimal switching threshold at o * = 17.35 from dividend to no action), where shareholders prefer to retain surplus rather than pay dividends. This phenomenon illustrates that higher volatility increases the marginal value of capital retention (against future adverse losses or costs from capital injection), creating a region where the continuation value dominates immediate dividend payout. Finally, as expected, the optimal profit-taking exit threshold x ¯ * decreases when σ increases, which reflects the shareholders’ rational response to uncertainty since the shareholder balances the potential for further gains against the increased risk of losing already accumulated profits, leading to earlier exit strategies.
(2) Discount rate effects (Table 6)
As the discount rate r increases from 0.10 to 0.20, both exit thresholds become closer to level zero, in particular, the stop-loss level x ̲ * increases from 2.05 to 1.42 , while the profit-taking threshold x ¯ * declines from 18.75 to 14.30. This symmetric shrinkage of the business continuation region reflects the time preference effect (future cash flows become less valuable), that is, the shareholders become less patient when future cash flows are discounted more heavily, leading to earlier exits on both the loss and profit sides. The optimal dividend barrier b * shows a modest decrease (0.90 to 0.80), indicating a slight preference for earlier dividend distributions. The optimal post-capital injection level a * remains stable across different r values, suggesting that capital injection decisions are driven primarily by risk or cost considerations rather than time preference.
(3) Premium rate effects (Table 7)
Increasing the premium rate (c) enhances the fundamental profitability of the corporate (insurance) operation, making business continuation more attractive. The results show a dramatic increase of the optimal dividend barrier b * (from 0.90 to 5.95), and the profit-taking threshold x ¯ * (from 18.75 to 40.40), when the premium rate c increases from 6 to 8. This demonstrates that higher premium income improves the surplus process drift, enabling the insurance company to sustain operations at higher surplus levels before considering dividend payout or exit options. On the other hand, the stop-loss level x ̲ * decreases from 2.05 to 5.08 , indicating greater tolerance for bearing costly capital injection due to the enhanced recovery capacity from high premium inflows. The stability of the post-capital injection level a * across different premium rate values suggests that capital injection decisions are determined by diffusion risk parameters/associated costs rather than profitability considerations.
(4) Poisson jump intensity effect (Table 8)
Higher jump intensity (λ) increases the frequency of claims, amplifying downside risk and resulting in more conservative strategies. In particular, as λ increases from 0.60 to 1.00, the stop-loss exit threshold x ̲ * moves from 5.85 to 2.05 (closer to zero), while the profit-taking threshold x ¯ * decreases sharply from 45.65 to 18.75. Such contraction of the business continuation region indicates that more frequent claim jump events (high insurance risks) reduce the attractiveness of continued operation, leading to earlier exits under both stop-loss and profit-taking sides. The optimal dividend barrier b * decreases substantially from 4.10 to 0.90, indicating that higher jump risk reduces the optimal surplus level for dividend payments. Finally, the invariance of post-capital injection level a * across different λ values again highlights the robustness of the capital injection decision to the changes of insurance risks.
Example 4. 
To verify that the finite computational domain does not distort the optimal strategy, we conduct a grid truncation robustness analysis by varying the upper bound u while holding all other parameters and grid step size h fixed (consistent with Example 1). Specifically, we compare the baseline truncation level u = 50 with larger domains u { 60 , 80 , 100 } . The corresponding results are listed in Table 9. Larger u values introduce no changes to the optimal policy structure (e.g., dividend regions, no-action zones, or exit thresholds). The results affirm that the baseline truncation u = 50 is numerically adequate for our numerical examples, as further domain expansion does not materially alter the optimal strategy. This aligns with Proposition 5, as the value function and thresholds stabilize for u sufficiently large.

7. Conclusions

This paper investigates the optimal mixed control problem of dividend, capital injection, and strategic exiting under a jump-diffusion model incorporating transaction costs. The key innovation lies in introducing proactive profit-taking and stop-loss exit options associated with a piecewise terminal payoff function. Such an extension provides an essential advancement beyond classical optimal dividend frameworks that typically rely on passive mechanisms such as penalty payments at ruin. By enabling shareholders to actively exit to lock in gains or cut losses, our model provides greater flexibility in managing risk-return trade-offs, aligning more closely with real-world financial decision-making dynamics. We also establish the existence and uniqueness of the value function as the viscosity solution to the corresponding quasi-variational inequalities, providing a rigorous mathematical foundation for the proposed control problem. In the numerical method, the Markov chain approximation approach proved effective in solving such a complex mixed singular-impulse control and optimal stopping problem, handling the inherent computational challenges while maintaining numerical stability across various parameter configurations. The numerical results reveal several interesting insights. The sensitivity analysis demonstrates how optimal strategies adapt to the changing model parameters, e.g., higher volatility compresses the operating region, prompting earlier profit-taking to protect gains; increased discount rates accelerate exit decisions; higher premium rates expand the continuation region; and larger jump intensity (insurance risk) necessitates a more conservative risk management strategy. Most notably, we discovered the emergence of intermediate “no-action” regions, where shareholders prefer to retain capital rather than pay dividends or exit. This finding highlights the strategic value of exit options in allowing shareholders to preserve capital against potential liabilities while avoiding premature profit-taking that might sacrifice future growth opportunities. Finally, we remark that future research could extend this framework in several directions, including incorporating regime-switching environments, considering more general exit payoff functions, or exploring multi-dimensional surplus processes.

Author Contributions

Conceptualization, R.X.; writing—original draft preparation, N.F.; writing—review and editing, R.X.; visualization, N.F.; supervision, R.X.; funding acquisition, R.X. All authors have read and agreed to the published version of the manuscript.

Funding

This research was supported by the National Natural Science Foundation of China [Grant No. 12201506].

Data Availability Statement

The original contributions presented in this study are included in the article. Further inquiries can be directed to the corresponding author.

Conflicts of Interest

The authors declare no conflicts of interest.

Appendix A. Proof of Proposition 2

(i)
For any 0 y < x , we consider an ϵ -optimal strategy ( π 1 , τ 1 ) for initial surplus x such that V ( x ) J ( x ; π 1 , τ 1 ) + ϵ for any ϵ > 0 . Then, we consider another admissible strategy ( π 2 , τ 1 ) for initial surplus y with initial capital injection x y followed by applying strategy π 1 . Hence, we obtain
V ( y ) J ( y ; π 2 , τ 1 ) = J ( x ; π 1 , τ 1 ) ϕ 2 ( x y ) κ V ( x ) ϕ 2 ( x y ) κ ϵ .
Hence, by sending ϵ 0 , we obtain the right-hand inequality in (10). On the other hand, we consider another ϵ -optimal strategy ( π 1 , τ ) for initial surplus y such that V ( y ) J ( y ; π 1 , τ ) + ϵ for any ϵ > 0 . Then, we construct a corresponding admissible strategy π 2 for initial surplus x with immediate dividend payment x y followed by applying strategy π 1 . Hence, we obtain
V ( x ) J ( x ; π 2 , τ ) = J ( y ; π 1 , τ ) + ϕ 1 ( x y ) V ( y ) + ϕ 1 ( x y ) ϵ .
Therefore, by sending ϵ to zero, we complete the proof of (10). The increasing property of V ( x ) is a direct result of (10). Next, to prove that V ( x ) is continuous in x, we first establish an upper bound for V ( x ) V ( y ) when x > y with the help of r-scale function of spectrally negative Lévy processes (SNLPs) (see, e.g., [33]) as (1) is a special case of SNLPs. Let π ε ( x ) be an ε -optimal strategy for the case when U 0 = x (with an abuse of notation, we just write π for the combined strategy ( π , τ ) such that J ( x ; π ε ( x ) ) V ( x ) ε . Then, we construct another strategy for U 0 = y without paying any dividends and injecting any capital amounts until the first time the surplus hits the level x, then follow the ε -optimal strategy π ε ( x ) , or stop immediately if the surplus hits or jumps below zero before hitting level x; hence, we have
V ( y ) W ( r ) ( y ) W ( r ) ( x ) J ( x ; π ε ( x ) ) + E y e r τ 0 P ( X τ 0 ) 1 { τ 0 < τ x + } W ( r ) ( y ) W ( r ) ( x ) V ( x ) ε + E y e r τ 0 P ( X τ 0 ) 1 { τ 0 < τ x + } ,
where W ( r ) ( · ) is the r-scale function of the jump-diffusion process X; τ 0 and τ x + are the first passage time of X reaching the levels 0 and x from y ( 0 , x ] , respectively, for more detailed introduction of scale functions and fluctuation results, see e.g., [34]. Then, one obtains
V ( x ) V ( y ) 1 W ( r ) ( y ) W ( r ) ( x ) V ( x ) E y e r τ 0 P ( X τ 0 ) 1 { τ 0 < τ x + } + ε .
The continuity of V on [ 0 , ) is a direct result of the continuity of W ( r ) ( · ) on ( 0 , ) , with the fact that the second term is vanishing when y x .
(ii)
Note that
V ( x ) = sup π Π , τ T E x 0 τ τ ̲ π e r t ϕ 1 d L t τ n < τ τ ̲ π e r τ n ( κ + ϕ 2 η n ) + e r τ τ ̲ π P ( U τ τ ̲ π ) .
We handle the three terms in the expectation separately. Note that for any admissible control, the expected discounted dividend payment is upper bounded by (see e.g., [33] (Lemma 3.3))
E x 0 r e r s X ¯ s d s = x + 1 Φ ( r ) ,
where Φ ( r ) = sup { θ 0 : ψ ( θ ) = r } and ψ ( · ) is the Laplace exponent of the X. The capital injection term is bounded, obviously due to the definition of the admissible set. For the terminal payment term, by noting that any admissible dividend and capital injection control π Π and any t R + , we have
E e r t U t 1 { t < } E e r τ ( X t + I t ) 1 { t < } E t r e r s X ¯ s d s + t r e r s X ̲ s d s E [ X ¯ e r X ̲ e r ] ,
which is bounded by some constant C > 0 under P 0 (see e.g., [35]), where e r is an independent exponential random variable with mean 1 / r . Hence, together with the piecewise affine property of P, the expected terminal payment is bounded by C ( 1 + | x | ) under P x for some constant C > 0 . Then, one arrives at V ( x ) C ( 1 + | x | ) for some constant C > 0 .

Appendix B. Proof of Proposition 4

Let us consider an admissible strategy ( π , τ ) , define Λ t = { s t : L s L s } as the set of all jumps in the cumulative dividend process L up to time t, let L ^ t = s Λ t ( L s L s ) be the discontinuous part of L t , and L ˜ t = L t L ^ t be the continuous part of L t . Define Λ t = { s t : I s I s } = { τ j : τ j t , j = 1 , 2 , } as the set of jump time points of the cumulative capital injection process I up to time t. Then by Itô’s formula,
e r ( t τ τ ̲ π ) v ( U t τ τ ̲ π ) = v ( x ) 0 t τ τ ̲ π r e r s v ( U s ) d s + 0 t τ τ ̲ π c e r s v ( U s ) d s + 0 t τ τ ̲ π σ e r s v ( U s ) d B s + 0 t τ τ ̲ π 1 2 σ 2 e r s v ( U s ) d s + 0 t τ τ ̲ π 0 λ e r s v ( U s y ) v ( U s ) f ( y ) d y d s 0 t τ τ ̲ π e r s v ( U s ) d L s + 0 t τ τ ̲ π e r s v ( U s ) d I s + s Λ t τ τ ̲ π Λ t τ τ ̲ π e r s v ( U s ) v ( U s ) v ( U s ) ( U s U s ) = v ( x ) + 0 t τ τ ̲ π e r s L v ( U s ) d s + 0 t τ τ ̲ π e r s σ v ( U s ) d B s 0 t τ τ ̲ π e r s v ( U s ) d L ˜ s + s Λ t τ τ ̲ π Λ t τ τ ̲ π e r s ( v ( U s ) v ( U s ) )
Note that for s Λ t τ τ ̲ π Λ t τ τ ̲ π , we can rewrite the v ( U s ) v ( U s ) as
v ( U s ) v ( U s ) = v ( U s ) v ( U s ) 1 { s : s Λ t τ τ ̲ π } + v ( U s ) v ( U s ) 1 { s : s Λ t τ τ ̲ π } a 1 ( s ) + a 2 ( s ) .
Since, for any y > 0 and x R , we have
v ( x + y ) v ( x ) κ + ϕ 2 y ,
and for any x > 0
ϕ 1 v ( x ) 0 .
Hence, one has
a 1 ( s ) n = 1 ( κ + ϕ 2 η n ) 1 { s : s = τ n } ,
and
a 2 ( s ) ϕ 1 ( L s L s ) 1 { s : s Λ t τ τ ̲ π } .
In addition, for x > 0 , we have L v ( x ) 0 and v ( x ) P ( x ) for all x R , then we obtain,
e r ( t τ τ ̲ π ) P ( U t τ τ ̲ π ) v ( x ) 0 t τ τ ̲ π e r s ϕ 1 d L s + τ n t τ τ ̲ π e r τ n ( κ + ϕ 2 η n ) + 0 t τ τ ̲ π e r s σ v ( U s ) d B s .
Taking expectations and letting t on both sides of the above inequality, and since M t = 0 t σ e r s v ( U s ) d B s is a martingale, and with Doob’s optional sampling theorem, we have,
E x 0 τ τ ̲ π σ e r s v ( U s ) d B s = 0 ,
then one arrives at
v ( x ) E x 0 τ τ ̲ π e r s ϕ 1 d L s τ n τ τ ̲ π e r τ n ( κ + ϕ 2 η n ) + e r ( τ τ ̲ π ) P ( U τ τ ̲ π ) .
Since the admissible strategy ( π , τ ) is arbitrary, we obtain v ( x ) V ( x ) .
The proof of the local verification is similar to the argument above. We only need to focus on the closed interval I . The inequalities used in the global verification also hold within the interval I . With the boundary conditions, we can obtain the conclusion v ( x ) V ( x ) for x I .

Appendix C. Proof of Proposition 5

For some x ¯ > 0 , consider an auxiliary function h ( x ) defined as
h ( x ) = V ( x ) , x < x ¯ , ψ + θ 1 x , x x ¯ ,
where V ( x ) is the value function given by (9). It is easy to show that h ( x ) ϕ 1 and h ( x ) M h ( x ) under the condition that ϕ 1 θ 1 ϕ 2 for all x x ¯ , and the boundary conditions are satisfied automatically by the definition of h. Then, according to Proposition 4(ii), to show that h ( x ) V ( x ) for all x R , we just need to show that for some x ¯ > 0 sufficiently large, such that L h ( x ) 0 for all x x ¯ . Note that
L h ( x ) = c θ 1 ( λ + r ) ( ψ + θ 1 x ) + λ ( 0 x u ψ + θ 1 ( x y ) f ( y ) d y + x u V ( x y ) f ( y ) d y ) = r θ 1 x + θ 1 λ 0 x u f ( y ) d y λ x + c θ 1 ( λ + r ) ψ λ θ 1 0 x u y f ( y ) d y + λ ψ 0 x u f ( y ) d y + λ x u V ( x y ) f ( y ) d y .
It is easy to see that when x is sufficiently large, the right-hand side of the above equation is dominated by the leading term r θ 1 x , which approaches negative infinity when x , while the remainder terms are bounded. Hence, we complete the proof by noting that h ( x ) corresponds to the performance function of an admissible strategy, and we have h ( x ) V ( x ) . Therefore, we can get h ( x ) = V ( x ) for x x ¯ , and complete the proof.

Appendix D. Proof of Proposition 6

The proof follows the standard arguments in the literature, see e.g., [21,36]. We remark that the only difference is the perturbation from the optimal stopping strategy and the terminal payoff function P, which can be resolved by using the stronger version of the dynamic programming principle given in Proposition 3. We only illustrate the proof of existence here and omit the tedious details of the proof for the comparison principle and uniqueness.
(i) Viscosity Supersolution. Consider a function h : R R that is twice-continuously differentiable on ( 0 , ) such that V h reaches a local minimum at x 0 on ( 0 , ) , we shall prove
max L h ( x 0 ) , ϕ 1 h ( x 0 ) , M V ( x 0 ) V ( x 0 ) , P ( x 0 ) V ( x 0 ) 0 .
Note that we have replaced h ( x 0 ) by V ( x 0 ) in (A1), and the reason that we can also replace M h ( x 0 ) by M V ( x 0 ) is due to the monotonicity of the capital injection operator M , i.e., M h ( x 0 ) h ( x 0 ) M V ( x 0 ) V ( x 0 ) if h V . Then, since V ( x ) M V ( x ) and V ( x ) P ( x ) for all x ( 0 , ) , we just need to show
L h ( x 0 ) 0 and h ( x 0 ) ϕ 1 .
We first consider the strategy with no dividend payment and capital injection near x 0 . Then, by applying the Itô’s formula to e r t h ( X t ) (X is the uncontrolled jump-diffusion process given in (1)), and integrate up to a localized stopping time ρ τ ε 0 τ ̲ with some chosen δ , ε > 0 , where ρ : = inf { t 0 : X t [ x 0 δ , x 0 + δ ] } , and τ ε 0 is the stopping time given in (13) with no dividend and capital injection control, and τ ̲ is the corresponding stop-loss exit time, then we have
E x 0 [ e r ( ρ τ ϵ 0 τ ̲ ) h ( X ρ τ ϵ 0 τ ̲ ) ] = h ( x 0 ) + E x 0 0 ρ τ ϵ 0 τ ̲ e r t L h ( X t ) d t .
By the dynamic programming principle given in Proposition 3, we have
h ( x 0 ) = V ( x 0 ) E x 0 e r ( ρ τ ϵ 0 τ ̲ ) V ( X ρ τ ϵ 0 τ ̲ ) E x 0 e r ( ρ τ ϵ 0 τ ̲ ) h ( X ρ τ ϵ 0 τ ̲ ) ,
where the last inequality holds since h V . Then, one has
E x 0 0 ρ τ ε 0 τ ̲ e r t L h ( X t ) d t 0 .
Dividing by E x 0 [ ρ τ ε 0 τ ̲ ] and letting δ 0 , we get L h ( x 0 ) 0 .
On the other hand, consider an immediate dividend payment with a sufficiently small amount of dividend such that x 0 > d L 0 > 0 , then, V ( x 0 ) V ( x 0 d L 0 ) + ϕ 1 d L 0 , therefore, we have
h ( x 0 ) h ( x 0 d L 0 ) V ( x 0 ) V ( x 0 d L 0 ) ϕ 1 d L 0 h ( x 0 ) ϕ 1 .
(ii) Viscosity subsolution. To prove the case for subsolution, we adopt the usual argument of contradiction. Firstly, by the same argument in the supersolution case, we only need to show
max { L h ( x 0 ) , ϕ 1 h ( x 0 ) } 0 , for x 0 D ,
where D : = { x ( 0 , ) : V ( x ) > M V ( x ) and V ( x ) > P ( x ) } , since for x 0 D the subsolution inequality holds obviously. We assume that (A2) fails, then, by the continuity of L h and h , for a small enough δ > 0 , we have
L h ( x ) ϵ r h ( x ) ϕ 1 and V ( x ) h ( x ) ϵ
for x [ x 0 δ , x 0 + δ ] D . Then, let us take any admissible dividend strategy L for initial surplus x 0 (note that we do not need to consider capital injection since all the analysis is within the set D where capital injection is never optimal), and consider the controlled process U t = X t L t , and the associated stopping time τ ε L given in (13) for some ε > 0 and the stop-loss exit time τ ̲ L . Let τ * : = ρ τ ε L τ ̲ L , where ρ : = inf { t 0 : U t [ x 0 δ , x 0 + δ ] } . Using Theorem 4.57 of [37], we can obtain
E x 0 e r τ * h ( U τ * ) h ( x 0 ) = E x 0 0 τ * e r t L h ( U t ) d t E x 0 0 τ * e r t h ( U t ) d L t E x 0 0 τ * e r t L h ( U t ) d t E x 0 0 τ * e r t ϕ 1 d L t ϵ E x 0 ( e r τ * ) 1 E x 0 0 τ * e r t ϕ 1 d L t .
Then, from (A3) and Proposition 3, we arrive at
V ( x 0 ) = sup L Π E x 0 0 τ * e r t ϕ 1 d L t + e r τ * V ( U τ * ) sup L Π E x 0 0 τ * e r t ϕ 1 d L t + e r τ * h ( U τ * ) ϵ h ( x 0 ) ϵ < h ( x 0 ) ,
which contradicts the fact that V ( x 0 ) = h ( x 0 ) . Hence, V is a subsolution at x 0 , and we complete the proof.

Appendix E. Proof of Proposition 7

Let
v ( x ) = ψ + θ 1 x , x > 0 , ψ + θ 2 x , x 0 .
Since ψ > V ( 0 ) and θ 2 ϕ 2 , according to Remark 1, we have x ̲ = 0 , and v ( x ) satisfies the boundary condition (18), and v ( x ) P ( x ) holds obviously for all x > 0 . In addition, since ϕ 1 θ 1 ϕ 2 , we have for any x > 0 ,
M v ( x ) = sup y 0 { θ 1 ( x + y ) + ψ ϕ 2 y κ } = v ( x ) κ v ( x ) ,
and v ( x ) ϕ 1 . Further,
L v ( x ) = c θ 1 ( λ + r ) ( θ 1 x + ψ ) + λ [ 0 x ( θ 1 ( x y ) + ψ ) f ( y ) d y + x ( θ 2 ( x y ) + ψ ) f ( y ) d y ] = c θ 1 r ( θ 1 x + ψ ) λ θ 2 μ λ ( θ 1 θ 2 ) 0 x y f ( y ) d y + x F ¯ ( x ) ,
then, with the fact that θ 2 θ 1 ( r ψ + λ θ 2 μ ) / c , we arrive at L v ( x ) 0 . Therefore, according to the verification theorem given in Proposition 4(i), we verified that v ( x ) V ( x ) for all x R , and since v ( x ) corresponds to the performance function with no dividend payments and capital injections, and exit immediately, we have v ( x ) V ( x ) . Therefore, v ( x ) = V ( x ) , and complete the proof of the assertion.

References

  1. De Finetti, B. Su un’impostazione alternativa della teoria collettiva del rischio. Trans. XVth Int. Congr. Actuar. 1957, 2, 433–443. [Google Scholar]
  2. Gerber, H.U. Entscheidungskriterien für den zusammengesetzten Poisson Prozess. Ph.D. Thesis, ETH Zurich, Zürich, Switzerland, 1969. [Google Scholar]
  3. Gerber, H.U. On the probability of ruin in the presence of a linear dividend barrier. Scand. Actuar. J. 1981, 1981, 105–115. [Google Scholar] [CrossRef]
  4. Azcue, P.; Muler, N. Optimal reinsurance and dividend distribution policies in the Cramér-Lundberg model. Math. Financ. 2005, 15, 261–308. [Google Scholar] [CrossRef]
  5. Asmussen, S.; Taksar, M. Controlled diffusion models for optimal dividend pay-out. Insur. Math. Econ. 1997, 20, 1–15. [Google Scholar] [CrossRef]
  6. Thonhauser, S.; Albrecher, H. Dividend maximization under consideration of the time value of ruin. Insur. Math. Econ. 2007, 41, 163–184. [Google Scholar] [CrossRef]
  7. Avanzi, B.; Gerber, H.U. Optimal dividends in the dual model with diffusion. ASTIN Bull. J. IAA 2008, 38, 653–667. [Google Scholar] [CrossRef][Green Version]
  8. Avanzi, B.; Shen, J.; Wong, B. Optimal dividends and capital injections in the dual model with diffusion. ASTIN Bull. J. IAA 2011, 41, 611–644. [Google Scholar] [CrossRef]
  9. Zhao, Y.; Wang, R.; Yao, D.; Chen, P. Optimal dividends and capital injections in the dual model with a random time horizon. J. Optim. Theory Appl. 2014, 167, 272–295. [Google Scholar] [CrossRef]
  10. Zhao, Y.; Yao, D. Optimal dividend and capital injection problem with a random time horizon and a ruin penalty in the dual model. Appl. Math.-A J. Chin. Univ. 2015, 30, 325–339. [Google Scholar] [CrossRef]
  11. Dickson, D.C.; Waters, H.R. Some optimal dividends problems. ASTIN Bull. J. IAA 2004, 34, 49–74. [Google Scholar] [CrossRef]
  12. Gerber, H.U.; Shiu, E.S. On optimal dividend strategies in the compound Poisson model. N. Am. Actuar. J. 2006, 10, 76–93. [Google Scholar] [CrossRef]
  13. Scheer, N.; Schmidli, H. Optimal dividend strategies in a Cramér-Lundberg model with capital injections and administration costs. Eur. Actuar. J. 2011, 1, 57–92. [Google Scholar] [CrossRef]
  14. Thonhauser, S.; Albrecher, H. Optimal dividend strategies for a compound Poisson process under transaction costs and power utility. Stoch. Models 2011, 27, 120–140. [Google Scholar] [CrossRef]
  15. Yao, D.; Yang, H.; Wang, R. Optimal dividend and capital injection problem in the dual model with Proportional and Fixed Transaction Costs. Eur. J. Oper. Res. 2011, 211, 568–576. [Google Scholar] [CrossRef]
  16. Yao, D.; Wang, R.; Xu, L. Optimal dividend and capital injection strategy with FIXED costs and restricted dividend rate for a dual model. J. Ind. Manag. Optim. 2014, 10, 1235. [Google Scholar] [CrossRef]
  17. Zhu, J. Optimal financing and dividend distribution with transaction costs in the case of restricted dividend rates. ASTIN Bull. J. IAA 2017, 47, 239–268. [Google Scholar] [CrossRef]
  18. Xu, R.; Woo, J. Optimal dividend and capital injection strategy with a penalty payment at ruin: Restricted dividend payments. Insur. Math. Econ. 2020, 92, 1–16. [Google Scholar] [CrossRef]
  19. Wang, W.; Wang, Y.; Chen, P.; Wu, X. Dividend and capital injection optimization with transaction cost for Lévy risk processes. J. Optim. Theory Appl. 2022, 194, 924–965. [Google Scholar] [CrossRef]
  20. Zhang, S.; Xiong, J. Optimal dividend and capital injection for the classical risk model with perturbaion. Sci. Sin. Math. 2025, 55, 1301–1318. [Google Scholar]
  21. Xu, R. Optimal singular dividend control with capital injection and affine penalty payment at ruin. Probab. Eng. Informational Sci. 2023, 37, 462–490. [Google Scholar] [CrossRef]
  22. Warburton, A.; Zhang, Z.G. A simple computational model for analyzing the properties of stop-loss, take-profit, and price breakout trading strategies. Comput. Oper. Res. 2006, 33, 32–42. [Google Scholar] [CrossRef]
  23. Kaminski, K.M.; Lo, A.W. When do stop-loss rules stop losses? J. Financ. Mark. 2014, 18, 234–254. [Google Scholar] [CrossRef]
  24. Loeffen, R.L.; Renaud, J.F. De Finetti’s optimal dividends problem with an affine penalty function at ruin. Insur. Math. Econ. 2010, 46, 98–108. [Google Scholar] [CrossRef]
  25. Krylov, N.V. Controlled Diffusion Processes; Springer Science & Business Media: New York, NY, USA, 2008; Volume 14. [Google Scholar]
  26. Pham, H. Optimal stopping of controlled jump diffusion processes: A viscosity solution approach. J. Math. Syst. Estim. Control 1998, 8, 1. [Google Scholar]
  27. Crandall, M.G.; Lions, P.L. Viscosity solutions of Hamilton-Jacobi equations. Trans. Am. Math. Soc. 1983, 277, 1–42. [Google Scholar] [CrossRef]
  28. Jin, Z.; Yin, G.; Zhu, C. Numerical solutions of optimal risk control and dividend optimization policies under a generalized singular control formulation. Automatica 2012, 48, 1489–1501. [Google Scholar] [CrossRef]
  29. Jin, Z.; Yin, G. Numerical methods for optimal dividend payment and investment strategies of Markov–modulated jump diffusion models with regular and singular controls. J. Optim. Theory Appl. 2013, 159, 246–271. [Google Scholar] [CrossRef]
  30. Jin, Z.; Liu, G.; Yang, H. Optimal consumption and investment strategies with liquidity risk and lifetime uncertainty for Markov regime-switching jump diffusion models. Eur. J. Oper. Res. 2020, 280, 1130–1143. [Google Scholar] [CrossRef]
  31. Jin, Z.; Yang, H.; Yin, G. A hybrid deep learning method for optimal insurance strategies: Algorithms and convergence analysis. Insur. Math. Econ. 2021, 96, 262–275. [Google Scholar] [CrossRef]
  32. Kushner, H.; Dupuis, P. Numerical Methods for Stochstic Control Problems in Continuous Time; Springer: Berlin/Heidelberg, Germany, 2001. [Google Scholar]
  33. Avram, F.; Palmowski, Z.; Pistorius, M. On Gerber–Shiu functions and optimal dividend distribution for a Lévy risk process in the presence of a penalty function. Ann. Appl. Probab. 2015, 25, 1868–1935. [Google Scholar] [CrossRef]
  34. Kyprianou, A.E.; Loeffen, R.; Pérez, J.L. Optimal control with absolutely continuous strategies for spectrally negative Lévy processes. J. Appl. Probab. 2012, 49, 150–166. [Google Scholar] [CrossRef]
  35. Kyprianou, A.E. Fluctuations of Lévy Processes with Applications: Introductory Lectures; Springer Science & Business Media: Berlin/Heidelberg, Germany, 2014. [Google Scholar]
  36. Wang, W.; Xu, R.; Yan, K. Optimal ratcheting of dividends with capital injection. Math. Oper. Res. 2025, 50, 2073–2111. [Google Scholar] [CrossRef]
  37. Jacod, J.; Shiryaev, A. Limit Theorems for Stochastic Processes; Springer Science & Business Media: Berlin/Heidelberg, Germany, 2013; Volume 288. [Google Scholar]
Figure 1. Comparison of value functions and optimal policies under exponential vs. Pareto claim distributions.
Figure 1. Comparison of value functions and optimal policies under exponential vs. Pareto claim distributions.
Mathematics 14 00447 g001
Figure 2. Convergence of value functions under exponential vs. Pareto distributions.
Figure 2. Convergence of value functions under exponential vs. Pareto distributions.
Mathematics 14 00447 g002
Table 1. Optimal policy thresholds under exponential vs. Pareto claim distributions.
Table 1. Optimal policy thresholds under exponential vs. Pareto claim distributions.
x ̲ * a * b * x ¯ *
Exponential−2.050.250.9018.75
Pareto−2.320.251.4520.65
Table 2. Influence of parameter θ 1 on optimal policy thresholds.
Table 2. Influence of parameter θ 1 on optimal policy thresholds.
x ̲ * b * o * x ¯ *
θ 1 = 0.75 −2.050.90-37.45
θ 1 = 0.80 −2.050.90-18.75
θ 1 = 0.85 −2.050.9012.3513.10
Table 3. Influence of parameter θ 2 on optimal policy thresholds.
Table 3. Influence of parameter θ 2 on optimal policy thresholds.
x ̲ * b * o * x ¯ *
θ 2 = 0.40 −2.050.90-18.75
θ 2 = 0.60 −1.161.309.6011.80
θ 2 = 0.80 −0.18--10.70
Table 4. Influence of parameter α on optimal policy thresholds.
Table 4. Influence of parameter α on optimal policy thresholds.
x ̲ * b * x ¯ *
α = 0.20 −2.701.1023.35
α = 0.40 −2.531.0022.15
α = 0.70 −2.050.9018.75
Table 5. Sensitivity analysis of parameter σ on optimal policy thresholds.
Table 5. Sensitivity analysis of parameter σ on optimal policy thresholds.
x ̲ * a * b * o * x ¯ *
σ = 0.50 −2.200.150.45-19.15
σ = 1.00 −2.050.250.90-18.75
σ = 2.00 −1.600.502.2017.3517.65
Table 6. Sensitivity analysis of parameter r on optimal policy thresholds.
Table 6. Sensitivity analysis of parameter r on optimal policy thresholds.
x ̲ * a * b * x ¯ *
r = 0.10 −2.050.250.9018.75
r = 0.15 −1.680.250.8016.15
r = 0.20 −1.420.250.8014.30
Table 7. Sensitivity analysis of parameter c on optimal policy thresholds.
Table 7. Sensitivity analysis of parameter c on optimal policy thresholds.
x ̲ * a * b * x ¯ *
c = 6 −2.050.250.9018.75
c = 7 −3.300.252.5027.40
c = 8 −5.080.205.9540.40
Table 8. Sensitivity analysis of parameter λ on optimal policy thresholds.
Table 8. Sensitivity analysis of parameter λ on optimal policy thresholds.
x ̲ * a * b * x ¯ *
λ = 0.60 −5.850.254.1045.65
λ = 0.80 −3.490.252.0528.90
λ = 1.00 −2.050.250.9018.75
Table 9. Robustness analysis with respect to truncation threshold u.
Table 9. Robustness analysis with respect to truncation threshold u.
x ̲ * a * b * x ¯ *
u = 60 −2.050.250.9018.75
u = 80 −2.050.250.9018.75
u = 100 −2.050.250.9018.75
Disclaimer/Publisher’s Note: The statements, opinions and data contained in all publications are solely those of the individual author(s) and contributor(s) and not of MDPI and/or the editor(s). MDPI and/or the editor(s) disclaim responsibility for any injury to people or property resulting from any ideas, methods, instructions or products referred to in the content.

Share and Cite

MDPI and ACS Style

Feng, N.; Xu, R. Optimal Dividend and Capital Injection Strategies with Exit Options in Jump-Diffusion Models. Mathematics 2026, 14, 447. https://doi.org/10.3390/math14030447

AMA Style

Feng N, Xu R. Optimal Dividend and Capital Injection Strategies with Exit Options in Jump-Diffusion Models. Mathematics. 2026; 14(3):447. https://doi.org/10.3390/math14030447

Chicago/Turabian Style

Feng, Ningning, and Ran Xu. 2026. "Optimal Dividend and Capital Injection Strategies with Exit Options in Jump-Diffusion Models" Mathematics 14, no. 3: 447. https://doi.org/10.3390/math14030447

APA Style

Feng, N., & Xu, R. (2026). Optimal Dividend and Capital Injection Strategies with Exit Options in Jump-Diffusion Models. Mathematics, 14(3), 447. https://doi.org/10.3390/math14030447

Note that from the first issue of 2016, this journal uses article numbers instead of page numbers. See further details here.

Article Metrics

Back to TopTop