When Does Platform Private-Label Advertising Work? The Role of Quality and Supply Chain Structure
Abstract
1. Introduction
- (1)
- How does the quality influence the competitive dynamics between MB and PL products?
- (2)
- What are the optimal pricing decisions with PL advertising across varying quality levels and supply chain structures?
- (3)
- How do advertising and the quality of PL products shape the channel preferences of both parties?
2. Literature Review
2.1. Operations Management with Private-Label Products
2.2. Advertising Strategies of Private-Label Products
2.3. Summary of Literature
- (1)
- We highlight the critical roles of PL quality and channel modes in shaping competitive dynamics between MB and PL products, demonstrating that quality improvement does not necessarily discourage the manufacturer from participating in competition, which is largely overlooked in the existing research.
- (2)
- We further identify the market conditions under which advertising leads to a lose–lose outcome for both manufacturer and platform, highlighting the need for platforms to comprehensively evaluate the cost and benefits of advertising strategies. These results also help to explain the underlying reasons for the heterogeneous attitudes of platforms toward PL advertising.
- (3)
- We also investigate how PL advertising coordinates the channel preferences between the manufacturer and the platform. Prior research has been limited to considering the channel preferences of the manufacturer. The impact of PL advertising on channel preferences has been ignored in the existing research. To bridge this gap, we extend our investigation to the channel preferences of both the platform and the manufacturer with regard to PL advertising.
3. Research Methodology
3.1. Problem Description
3.2. Assumptions and Notations
- Consumers’ utility: In the face of different products, consumers make purchasing decisions by comparing the perceived utilities of the products. Specifically, when the platform does not implement advertising strategies, consumer utility is composed of the basic functional valuation v and retail price of the products. Consumers hold heterogeneous functional valuations of the product; therefore, we assume that v is uniformly distributed over the interval [20,38]. Notably, the perceived functional utility of a PL product, , varies across different quality levels. When the platform provides a high-quality PL product, consumers perceive the PL product as a high-end substitute for the MB product, and we assume that [41]. Conversely, is used to capture the discounted functional valuation of low-quality PL products [4,9]. Accordingly, when the platform offers PL product type i, the utility obtained from the MB and PL products under mode j can be defined as and , respectively, with and . Consumers make their purchasing decisions on the basis of the utility.
- Production cost: The production cost of final products differs between the manufacturer and the platform. Specifically, when the platform offers high-quality PL products, higher unit production costs arise from the enhanced materials and stricter quality control, implying that . Conversely, when the quality of PL products is lower than that of the MB products, the platform incurs lower production costs, and we assume that .
3.3. Demand Function Without Advertising
- Demand Function with High-Quality PL ProductWhen the platform offers high-quality PL products, consumers choose between the MB and PL products only if the price of the latter is not sufficiently low. It should be noted that if the manufacturer exits the market, the platform has no incentive to engage in PL advertising. Accordingly, to clearly illustrate the impact of PL advertising, we assume that should always be satisfied to ensure the coexistence of PL and MB products. Normalizing the market size to 1 [1,7,42], the demand function for both the PL and MB products under mode j is as follows:
- Demand Function with Low-Quality PL ProductIn contrast, when the platform offers low-quality PL products, consumers secure limited functional valuation thereof; therefore, consumers purchase the PL product only if its retail price is not too high. In this case, the price of the PL product should satisfy the condition to ensure competition between the MB and PL products. In this case, the demand function for the PL and MB products under mode j is as follows:
3.4. Profits of Manufacturer and Platform
- Profits under Mode AUnder mode A, the manufacturer pays a service commission to the platform based on its sales revenue. Accordingly, when the platform offers PL product type i without advertising, the manufacturer’s profit under mode A is composed of the remaining profit of product sales and the production cost.Meanwhile, the platform’s profit consists of the commission revenue from the manufacturer and the direct profit from selling the PL product. Accordingly, the profit of the manufacturer and profit can be defined as follows:
- Profits under Mode RUnder mode R, the manufacturer first determines the wholesale price of the MB product and sells the product to the platform. Let denote the wholesale price of the MB product in the face of type-i PL products; the profit of the manufacturer can then be defined as follows:In this case, the platform’s profit under mode R, primarily stemming from the direct sales of both the PL and MB products, can then be defined as follows:
3.5. Decision Models for Platforms and Manufacturers
3.5.1. Decision Model Under Mode A
3.5.2. Decision Model Under Mode R
4. Pricing and Competition Without Advertising
4.1. Competition Strategy with High-Quality PL Products
- 1.
- Under mode A, participation occurs if ;
- 2.
- Under mode R, both MB and PL products coexist in the market if , where .
4.2. Competition Strategy with Low-Quality PL Products
- 1.
- It discourages the platform from offering PL products if and ;
- 2.
- It encourages the platform to offer PL products if either (a) or (b) and .
5. Equilibrium Analysis with PL Advertising
5.1. Demand and Profits with PL Advertising
5.2. Pricing Strategy with PL Advertising
- For high-quality PL products, ,
- For low-quality PL products, ,
- 1.
- Advertising effort may offset the effect of quality improvements on the following:
- (a)
- The retail prices of MB products, when the platform offers high-quality PL products under either mode A or mode R.
- (b)
- The retail prices of PL products, when the platform offers low-quality PL products under mode A.
- 2.
- Otherwise, advertising effort weakly reinforces the impact of quality improvement on product prices.
5.3. Efficiency Performance of PL Advertising
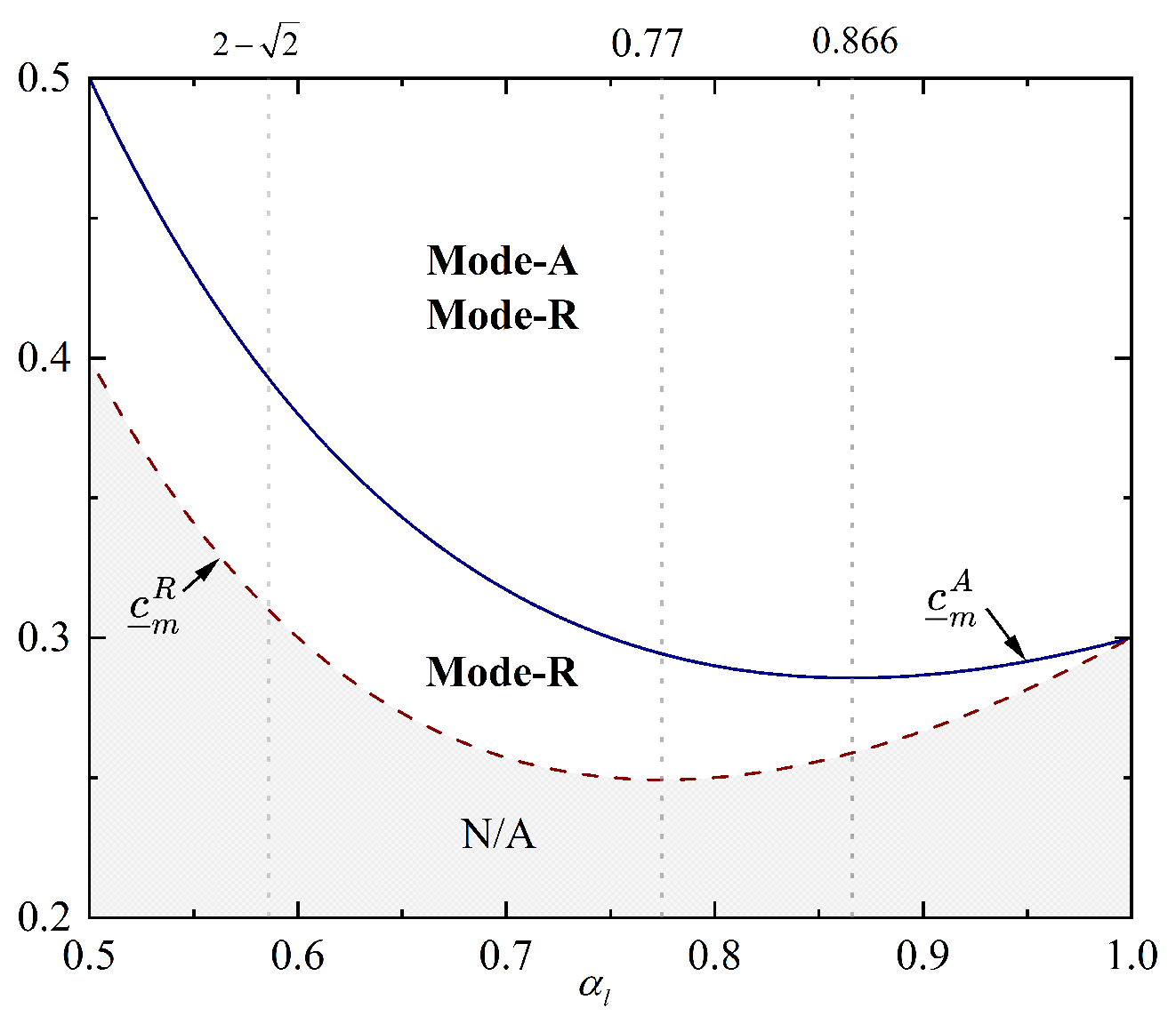
- 1.
- PL advertising is a lose-lose solution for both the manufacturer and the platform if either (a) and (a.1) and , (a.2) and , or (b) .
- 2.
- Otherwise, a win-lose scenario exists, in which the platform gains at the expense of the manufacturer.
6. Channel Preferences with PL Advertising
- 1.
- Manufacturer and platform hold Inconsistent channel preferences
- (a)
- The platform (resp. manufacturer) prefers mode A (resp., mode R) if the advertising effort ;
- (b)
- The platform (resp. manufacturer) prefers mode R (resp., mode A) if the advertising effort ;
- 2.
- Manufacturer and platform hold Consistent channel preferences, specifically,
- (a)
- both prefer mode A, if , and .
- (b)
- Otherwise, both the manufacturer and platform prefer mode R.
- 1.
- Manufacturer and platform also hold Inconsistent channel preferences
- (a)
- The platform (resp. manufacturer) prefers mode A (resp., mode R) if the advertising effort ;
- (b)
- The platform (resp. manufacturer) prefers mode R (resp., mode A) if the advertising effort ;
- 2.
- While the quality level of PL product significantly shapes the Consistent channel preferences of the manufacturer and platform, specifically,
- (a)
- both prefer mode A, if , and either (a) and or (b) and .
- (b)
- Otherwise, both the manufacturer and platform prefer mode R.
7. Extension: Endogenous PL Advertising and Numerical Analysis
7.1. Endogenous PL Advertising Decision
- When the platform offers high-quality PL products,
- When the platform offers low-quality PL products,
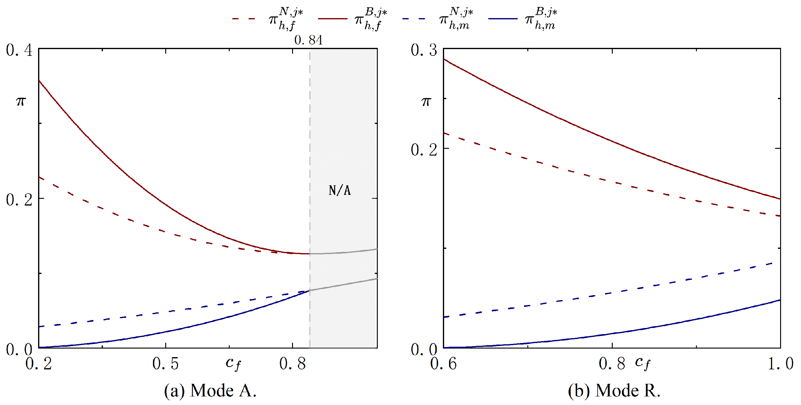
7.2. Efficiency of Endogenous PL Advertising
8. Conclusions
- (1)
- In the absence of advertising, quality improvement of PL products, which is expected to weaken the competitiveness of manufacturer, may increase the manufacturer’s incentive to compete under certain conditions. These results underscore the importance of platform and manufacturer to adjust its competition strategies aligning with the PL quality level and structure channel to secure higher profit from the competition.
- (2)
- PL advertising does not necessarily enhance the profit of the platform and may lead to a lose–lose outcome for both manufacturer and platform under specific conditions. These findings highlighting the importance of jointing considering PL quality and supply chain structure in effectively designing its advertising level to well balance the competition dynamics between the MB and PL products. In particular, when advertising costs are high, adopting an aggressive advertising strategy can significantly harm platform profitability. This insight greatly explain the heterogeneous attitudes toward PL advertising observed across platforms, such as JD.com and Taobao.
- (3)
- Finally, we delineate the market conditions under which the PL advertising effort can coordinate the channel preference of both the platform and manufacturer. The results provide actionable guidance for platforms to select the appropriate advertising level and supply chain structure to achieve a win–win outcome. In particular, when the quality of the PL product is close to that of the product, the platform can achieve such coordination under mode R with suitable PL advertising level. In contrast, coordination through PL advertising under Mode A is more complex and requires careful evaluation of product quality and commission rates.
Author Contributions
Funding
Data Availability Statement
Conflicts of Interest
Abbreviations
| PL | Private label |
| MB | Manufacturer-branded |
| Mode A | Agency mode |
| Mode R | Reselling mode |
Appendix A. Proof of Section 4
Appendix A.1. Proof of Optimal Pricing Decision Without Advertising
- (1)
- Under mode A, from and , we know that is concave in and is concave in . By jointly solving and , we obtain the optimal pricing decisions: and , respectively.
- (2)
- Under mode R, from and the Hessian matrix () of (), we know that is jointly concave in and . By solving and , we obtain the expression of optimal retail prices: and , respectively. Integrating the optimal solution into , from , we know that is concave in . By solving , we obtain the optimal MB wholesale price: . Accordingly, we know that .
Appendix A.2. Proof of Propositions 1 and 2
- (1)
- Under mode A, (a) for the high-quality PL product, and , and and . (b) For the low-quality PL product, and , and and .
- (2)
- Likewise, under mode R, (a) for the high-quality PL product, and , and , and and . (b) For the low-quality PL product, and , and , and and .
Appendix A.3. Proof of Propositions 3 and 4
Appendix A.4. Proof of Proposition 5
Appendix B. Proof of Section 5
Appendix B.1. Proof of Proposition 7
Appendix B.2. Proof of Proposition 8
- (1)
- For the manufacturer, from , we know that is an increase in . By solving , we obtain a threshold such that holds for all .
- (2)
- For the platform, from , we know there exists a threshold such that is convex (resp., concave) in e if (resp., ). By solving , we obtain two real roots: 0 and , where with , , and . This implies that there exists another threshold for and for such that (a) if , then . Accordingly, we know that (a.1) when , , indicating that consistently holds for all . (a.2) When , , indicating that (resp., ) holds if (resp., ). (a.3) When , then , indicating that holds for all . Likewise, we know that (b) if , then . In this case, we know that (b.1) when , , indicating that consistently holds for all . (b.2) When , , indicating that (resp., ) holds if (resp., ). (b.3) When , then , indicating that holds for all .It is worth mentioning that these results hold regardless of the quality level and supply chain structure of the platform; thus, we define and to simplify the expression.
Appendix C. Proof of Section 6
Appendix C.1. Proof of Proposition 9
Appendix C.2. Proof of Proposition 10
Appendix D. Proof of Section 7
Appendix D.1. Proof of Optimal Advertising Decision with PL Advertising
- (1)
- Under mode A, from and , we know that is concave in and is concave in , respectively. By jointly solving and , we obtain the expression of optimal price: and . Integrating the optimal solution into and by solving , we obtain the threshold such that holds for all . By solving , we obtain the optimal advertising effort .
- (2)
- Under mode R, from and the Hessian matrix () of (), we know that is jointly concave in and . By solving and , we obtain the expression of optimal retail prices: and . Integrating the optimal retail prices into , from , we know that is concave in . By solving , we obtain the expression of optimal MB wholesale price: . Integrating the optimal solution into , by solving , we obtain the threshold such that holds for all . Then, by solving , we obtain the optimal advertising effort with .Notably, the proof process of the case with low-quality PL is similar to case with high-quality PL product, so we omit it in this section.
References
- Song, W.; Chen, J.; Li, W. Spillover effect of consumer awareness on third parties’ selling strategies and retailers’ platform openness. Inf. Syst. Res. 2020, 32, 172–193. [Google Scholar] [CrossRef]
- Chen, C.; Zhuo, X.; Li, Y. Online channel introduction under contract negotiation: Reselling versus agency selling. Manag. Decis. Econ. 2022, 43, 146–158. [Google Scholar] [CrossRef]
- Farshbaf-Geranmayeh, A.; Zaccour, G. Pricing and advertising in a supply chain in the presence of strategic consumers. Omega 2021, 101, 102239. [Google Scholar] [CrossRef]
- Hemmati, M.; Ghomi, S.F.; Sajadieh, M.S. The impact of advertising and product quality on sales mode choice in the presence of private label. Int. J. Prod. Econ. 2024, 269, 109164. [Google Scholar] [CrossRef]
- Long, F.; Amaldoss, W. Self-preferencing in e-commerce marketplaces: The role of sponsored advertising and private labels. Mark. Sci. 2024, 43, 925–952. [Google Scholar]
- Huang, L.; Huang, Z.; Liu, B. Interacting with strategic waiting for store brand: Online selling format selection. J. Retail. Consum. Serv. 2022, 67, 102987. [Google Scholar] [CrossRef]
- Bi, G.; Wang, X.; Xu, Y. Platform’s recommendation strategy considering limited consumer awareness and market encroachment. IEEE Trans. Eng. Manag. 2022, 71, 2255–2269. [Google Scholar] [CrossRef]
- Zhang, X.; Hou, W. The impacts of e-tailer’s private label on the sales mode selection: From the perspectives of economic and environmental sustainability. Eur. J. Oper. Res. 2022, 296, 601–614. [Google Scholar] [CrossRef]
- Zhao, J.; Wang, Y.Y.; Tu, L.; Wang, J.C.; Luo, X.R. The interactions between online platform’s store brand introduction and manufacturer’s innovation strategies: Reselling vs. agency modes. Electron. Commer. Res. Appl. 2023, 62, 101320. [Google Scholar] [CrossRef]
- Zhang, Z.; Liu, Z.; Tang, J.; Tang, T. Private Label Introduction and Sales Format Selection with Regard to e-Commerce Platform Supply Chain. Mathematics 2025, 13, 865. [Google Scholar] [CrossRef]
- Zhang, C.; Zhu, Y.; Zhang, Y.; Ma, Y. Private brand encroachment and channel structure in a hybrid platform. Eur. J. Oper. Res. 2025. [Google Scholar] [CrossRef]
- Zha, Y.; Ren, L.; Li, Q. Cooperation or coopetition? Online platforms’ private label products encroachment and brand manufacturers’ pricing model selection. J. Model. Manag. 2025, 20, 1081–1101. [Google Scholar] [CrossRef]
- Chu, Q.; Zhang, Z.; Wu, T.J.; Zhang, Z. Interaction between online retail platforms’ private label brand introduction and manufacturers’ channel selection. J. Retail. Consum. Serv. 2025, 84, 104208. [Google Scholar] [CrossRef]
- Qi, L.; Song, H.; Xiao, W. Coopetition in platform-based retailing: On the platform’s entry. Manag. Sci. 2025, 71, 4013–4027. [Google Scholar]
- Liu, X.; Li, W. Platform’s preference information sharing in the presence of private label. Int. Trans. Oper. Res. 2026, 33, 1269–1295. [Google Scholar]
- Liu, P.; Zhang, R.; Wang, Y.; Yang, H.; Liu, B. Manufacturer’s sales format selection and information sharing strategy of platform with a private brand. J. Bus. Ind. Mark. 2024, 39, 244–255. [Google Scholar]
- Wang, F.; Chen, J.; Yang, H.; Sun, F. Information and selling mode strategies in a supply chain with an outsourced private label product. Int. Trans. Oper. Res. 2024, 31, 3280–3317. [Google Scholar] [CrossRef]
- Liao, C.; Lu, Q.; Chen, X.; Xie, S. The impact of consumer data sharing on an e-tailer’s private label strategy. Transp. Res. Part E Logist. Transp. Rev. 2025, 200, 104178. [Google Scholar] [CrossRef]
- Zhou, C.; Leng, M.; Liu, Z.; Cui, X.; Yu, J. The impact of recommender systems and pricing strategies on brand competition and consumer search. Electron. Commer. Res. Appl. 2022, 53, 101144. [Google Scholar] [CrossRef]
- Li, Y.; Chu, M.; Bai, X. To fight or not? product introduction and channel selection in the presence of a platform’s private label. Transp. Res. Part E Logist. Transp. Rev. 2024, 181, 103373. [Google Scholar] [CrossRef]
- Abhishek, V.; Jerath, K.; Zhang, Z.J. Agency selling or reselling? Channel structures in electronic retailing. Manag. Sci. 2016, 62, 2259–2280. [Google Scholar] [CrossRef]
- Luo, H.; Zhong, L.; Nie, J. Quality and distribution channel selection on a hybrid platform. Transp. Res. Part Logist. Transp. Rev. 2022, 163, 102750. [Google Scholar]
- Pu, X.; Sun, S.; Shao, J. Direct selling, reselling, or agency selling? Manufacturer’s online distribution strategies and their impact. Int. J. Electron. Commer. 2020, 24, 232–254. [Google Scholar] [CrossRef]
- Zhen, X.; Xu, S.; Li, Y.; Shi, D. When and how should a retailer use third-party platform channels? The Impact of spillover effects. Eur. J. Oper. Res. 2022, 301, 624–637. [Google Scholar] [CrossRef]
- Li, D.; Liu, Y.; Hu, J.; Chen, X. Private-brand introduction and investment effect on online platform-based supply chains. Transp. Res. Part E Logist. Transp. Rev. 2021, 155, 102494. [Google Scholar]
- Li, J.; Chen, Z.; Kwon, O.; Wang, J. Modes of control in international digital commerce: Evidence from Amazon. com. J. Int. Bus. Stud. 2025, 56, 440–450. [Google Scholar]
- Chen, J.; Dimitrov, S. National and store brand advertising strategies. J. Oper. Res. Soc. 2015, 66, 1237–1249. [Google Scholar] [CrossRef]
- Karray, S.; Martín-Herrán, G. Fighting store brands through the strategic timing of pricing and advertising decisions. Eur. J. Oper. Res. 2019, 275, 635–647. [Google Scholar] [CrossRef]
- Karray, S.; Martín-Herrán, G. The impact of a store brand introduction in a supply chain with competing manufacturers: The strategic role of pricing and advertising decision timing. Int. J. Prod. Econ. 2022, 244, 108378. [Google Scholar] [CrossRef]
- Zhu, G.; Chou, M.C.; Jia, T. National brand’s promotional pricing and advertising policies: Spillover effect and quality difference. Eng. Optim. 2022, 54, 2087–2103. [Google Scholar]
- Zennyo, Y. Platform encroachment and own-content bias. J. Ind. Econ. 2022, 70, 684–710. [Google Scholar] [CrossRef]
- Lee, J.; Slutsky, S. Price Distortion Created by Self-Preferencing and Its Impact on Welfare. 2025. Available online: https://papers.ssrn.com/sol3/papers.cfm?abstract_id=5780962 (accessed on 20 December 2025).
- Kim, D.J.; Kim, J.Y. A Simple Economics of Platform Self-Preferencing. Rev. Netw. Econ. 2025, 24, 37–60. [Google Scholar] [CrossRef]
- Teng, X. Self-Preferencing, Quality Competition, and Welfare in Mobile Application Markets. 2025. Available online: https://www.researchgate.net/publication/360803188 (accessed on 20 December 2025).
- Xu, Z.; Wei, J. Underlying mechanisms of strategy interaction between brand promotion and sales channel strategies. RAIRO-Oper. Res. 2025, 59, 3563–3599. [Google Scholar] [CrossRef]
- Wang, J.J.; Torelli, C.J.; Lalwani, A.K. The interactive effect of power distance belief and consumers’ status on preference for national (vs. private-label) brands. J. Bus. Res. 2020, 107, 1–12. [Google Scholar] [CrossRef]
- Cheng, F.; Chen, T.; Shen, Y.; Jing, X. Impact of green technology improvement and store brand introduction on the sales mode selection. Int. J. Prod. Econ. 2022, 253, 108587. [Google Scholar] [CrossRef]
- Wu, H.; Li, G.; Zheng, H.; Zhang, X. Contingent channel strategies for combating brand spillover in a co-opetitive supply chain. Transp. Res. Part E Logist. Transp. Rev. 2022, 164, 102830. [Google Scholar]
- Han, F.; Wang, H.; Lv, H.; Li, B. Research on Manufacturers’ Referral Strategy Considering Store Brand Retailers and Traditional Retailers. Mathematics 2022, 10, 3326. [Google Scholar] [CrossRef]
- Xiao, Y.; Liang, Y.; Shen, N. Channel Power Structures and Environmental Efforts: Insights from Store and National Brand Interactions. Mathematics 2025, 13, 3141. [Google Scholar] [CrossRef]
- Cheng, H.K.; Jung, K.S.; Kwark, Y.; Pu, J. Impact of own brand product introduction on optimal pricing models for platform and incumbent sellers. Inf. Syst. Res. 2023, 34, 1131–1147. [Google Scholar] [CrossRef]
- Sun, C.; Ji, Y. For better or for worse: Impacts of IoT technology in e-commerce channel. Prod. Oper. Manag. 2022, 31, 1353–1371. [Google Scholar] [CrossRef]
- Erdem, T.; Keane, M.P.; Sun, B. The impact of advertising on consumer price sensitivity in experience goods markets. Quant. Mark. Econ. 2008, 6, 139–176. [Google Scholar] [CrossRef]
- Tsui, H.C. Advertising, quality, and willingness-to-pay: Experimental examination of signaling theory. J. Econ. Psychol. 2012, 33, 1193–1203. [Google Scholar] [CrossRef]
- Bronnenberg, B.J.; Dubé, J.P. The formation of consumer brand preferences. Annu. Rev. Econ. 2017, 9, 353–382. [Google Scholar] [CrossRef]
- He, Y.; Zhang, Y.; Shen, H. Behind the scenes or front? Branding strategy of technology provider in a technology-intensive supply chain. Transp. Res. Part E Logist. Transp. Rev. 2025, 195, 103961. [Google Scholar]
- Liu, W.; Yan, X.; Li, X.; Wei, W. The impacts of market size and data-driven marketing on the sales mode selection in an Internet platform based supply chain. Transp. Res. Part E Logist. Transp. Rev. 2020, 136, 101914. [Google Scholar] [CrossRef]
- He, Y.; Wu, J.; Xiao, X. Strategic pricing and advertising decisions under competition with long-term advertising effects. Omega 2026, 138, 103360. [Google Scholar] [CrossRef]
- Li, H.; Chen, H.; Chai, J.; Shi, V. Private label sourcing for an e-tailer with agency selling and service provision. Eur. J. Oper. Res. 2023, 305, 114–127. [Google Scholar]
- Shen, Q.; He, B.; Qing, Q. Interplays between manufacturer advertising and retailer store brand introduction: Agency vs. wholesale contracts. J. Retail. Consum. Serv. 2022, 64, 102801. [Google Scholar] [CrossRef]








| References | E-Commerce | PL Product Quality | Sales Mode | Mode Preference | |||
|---|---|---|---|---|---|---|---|
| Low | High | Mode A | Mode R | Platform | Manufacturer | ||
| Chen and Dimitrov [27] | - | - | - | ✓ | - | - | - |
| Karray and Martín-Herrán [28] | - | - | - | ✓ | - | - | - |
| Karray and Martín-Herrán [29] | - | - | - | - | ✓ | - | - |
| Zhu et al. [30] | - | ✓ | - | - | ✓ | - | - |
| Zennyo [31] | ✓ | - | - | ✓ | - | - | - |
| Lee and Slutsky [32] | ✓ | - | - | ✓ | - | - | - |
| Kim and Kim [33] | ✓ | - | - | ✓ | - | - | - |
| Long and Amaldoss [5] | ✓ | - | - | ✓ | - | - | - |
| Teng [34] | ✓ | - | - | ✓ | - | - | - |
| Xu and Wei [35] | ✓ | - | - | ✓ | ✓ | - | ✓ |
| Hemmati et al. [4] | ✓ | - | - | ✓ | ✓ | ✓ | ✓ |
| This study | ✓ | ✓ | ✓ | ✓ | ✓ | ✓ | ✓ |
| Symbol | Description |
|---|---|
| Indexes | |
| N and B denote the platform without and with PL advertising. | |
| R (resp.,A) denote the reselling mode (resp., agency mode). | |
| h (resp.,l) denotes the high-quality (resp., low-quality PL products). | |
| System Parameters | |
| v | Consumers’ basic functional valuations of the product |
| Perceived utility of the type i PL product, with and . | |
| e | Platform’s advertising effort for PL product. |
| Discounted valuation of advertising effort for low-quality PL product. | |
| Commission rate charged by the platform under mode A with . | |
| Unit production cost of the MB product. | |
| Unit production cost of the PL product. | |
| Marginal advertising cost incurred by the platform. | |
| Demand for MB product. | |
| Demand for PL product. | |
| Profit of the manufacturer. | |
| Profit of the platform. | |
| Decision variables | |
| Retail price of MB product | |
| Retail price of PL product | |
| Wholesale price of the manufacturer under mode R | |
| Optimal | Mode A () | |
|---|---|---|
| Decisions | High-Quality PL | Low-Quality PL |
| Optimal | Mode R () | |
|---|---|---|
| Decisions | High-Quality PL | Low-Quality PL |
| PL Quality | Mode A | Mode R | ||
|---|---|---|---|---|
| / | / | / | / | |
| High quality | ||||
| Low quality | ||||
Disclaimer/Publisher’s Note: The statements, opinions and data contained in all publications are solely those of the individual author(s) and contributor(s) and not of MDPI and/or the editor(s). MDPI and/or the editor(s) disclaim responsibility for any injury to people or property resulting from any ideas, methods, instructions or products referred to in the content. |
© 2026 by the authors. Licensee MDPI, Basel, Switzerland. This article is an open access article distributed under the terms and conditions of the Creative Commons Attribution (CC BY) license.
Share and Cite
Zhang, Y.; Pan, S.; Li, M. When Does Platform Private-Label Advertising Work? The Role of Quality and Supply Chain Structure. Mathematics 2026, 14, 227. https://doi.org/10.3390/math14020227
Zhang Y, Pan S, Li M. When Does Platform Private-Label Advertising Work? The Role of Quality and Supply Chain Structure. Mathematics. 2026; 14(2):227. https://doi.org/10.3390/math14020227
Chicago/Turabian StyleZhang, Yunrong, Shuyan Pan, and Mengyang Li. 2026. "When Does Platform Private-Label Advertising Work? The Role of Quality and Supply Chain Structure" Mathematics 14, no. 2: 227. https://doi.org/10.3390/math14020227
APA StyleZhang, Y., Pan, S., & Li, M. (2026). When Does Platform Private-Label Advertising Work? The Role of Quality and Supply Chain Structure. Mathematics, 14(2), 227. https://doi.org/10.3390/math14020227

