Abstract
In this work, we investigate the theoretical properties of a generalized coupled system of finite-delay fractional differential equations involving Caputo derivatives. We establish rigorous criteria to ensure the existence and uniqueness of solutions under appropriate assumptions on the problem parameters and constituent functions, employing contraction mapping principles and Schauder’s fixed-point theorem. Then, we examine the Ulam–Hyers stability of the proposed system. To illustrate the main findings, three examples are provided. Moreover, we provide numerical solutions using the Adams–Bashforth–Moulton method. The practical significance of our results is demonstrated through illustrative examples, highlighting applications in predator–prey dynamics and control systems.
Keywords:
Caputo fractional derivative; existence and stability; fixed-point theorems; Adams–Bashforth–Moulton method MSC:
26A33; 34D10; 58C30; 65L05
1. Introduction
Fractional calculus has received a lot of interest lately for modeling complex systems that exhibit memory and nonlocal interactions because of its capacity to generalize conventional derivatives and integrals to noninteger orders [1,2,3,4]. Specifically, Caputo fractional derivatives (CapFDs) provide a strong framework for characterizing dynamical systems in which the evolution of variables depends on both past and present states [5,6].
Theoretical studies concerning the uniqueness and existence of solutions for linked Caputo fractional differential equations (CapFDEs) have applications in many different fields of science. Essential tools for determining the unique conditions under which the solutions to these equations exist are provided by contraction mapping principles that are specifically designed for fractional calculus and fixed-point theorems [7,8,9,10,11]. Furthermore, resistance against minor perturbations is ensured by studying the Ulam–Hyers stability of solutions, which is essential for forecasting the long-term behavior of complex systems [12,13]. Many studies (e.g., [14,15,16]) have examined the existence, uniqueness, and Ulam–Hyers stability results for a nonlinear coupled system including Caputo fractional derivatives.
Illustrative examples, such as applications to predator–prey models which capture dynamics where populations show memory of previous interactions, indicate the usefulness of CapFDEs in ecological dynamics [1,17]. Beyond ecology, CapFDEs find use in a wide range of fields, including epidemiology (to model the spread of disease using historical infection rates), finance (to replicate price fluctuations driven by past market trends), and control systems with delayed feedback mechanisms [6,18]. Younis et al. [19] used the fixed-point method to connect with Chua’s dynamic, incorporating the Atangana–Baleanu–Caputo (ABC) fractional derivative using a two-step Lagrange polynomial. Qaraad et al. [20] focused on the oscillation and asymptotic behavior of certain third-order nonlinear delay differential equations with distributed deviating arguments. In [21], the authors used fixed-point theorems to investigate the existence and uniqueness results for a CapFDE with finite delay. Ref. [22] investigated the existence, uniqueness, and stability results for a specific type of coupled system incorporating FDEs. The authors of [23] showed the existence and uniqueness of solutions for a coupled system of sequential FDEs of Caputo type with nonlocal integral boundary conditions. Reference [24] discussed recent results about Ulam stabilities of nonlinear integral equations. Wang and Zhang examined the Ulam–Hyers–Mittag–Leffler stability of the subsequent CapFDE in [25]:
Tunç [26] discussed new findings related to the Ulam–Hyers–Mittag–Leffler stability of CapFDEs with finite delay:
where , , , is the CapFD of with a lower limit zero of order , , , , , with , , , .
To extend the presented problems to a coupled system for the analysis of uniqueness, existence, and Ulam–Hyers stability, we consider the following coupled system of CapFDEs:
with the initial conditions
Therein, the following are defined:
- and are the unknown functions and .
- denotes the CapFD of order with .
- and are given continuous functions.
- , , , and are given continuous delay functions satisfying,and .
In this paper, we conduct a comprehensive theoretical analysis of the coupled system of CapFDEs with finite delays, as formulated in Equations (1) and (2). Our study focuses on establishing the existence and uniqueness results under appropriate conditions, leveraging contraction mapping principles and Schauder’s fixed-point theorem. Additionally, we explore the Ulam–Hyers stability of the proposed system, ensuring its robustness in practical applications. To support our theoretical findings, we implement numerical simulations using the Adams–Bashforth–Moulton method [27], which not only validates our analytical results but also provides deeper insights into the behavior of the system in real-world scenarios. The fractional-order modeling framework presented in this work is particularly relevant for capturing nonlocal interactions and memory effects, making it applicable across diverse fields such as control systems and predator–prey dynamics.
The main contributions of this study are as follows:
- Theoretical Analysis: We establish the existence, uniqueness, and Ulam–Hyers stability criteria for the coupled system of CapFDEs with delays.
- Numerical Validation: We implement the Adams–Bashforth–Moulton method to numerically approximate solutions, reinforcing our theoretical results.
- Application: We demonstrate the practical applicability of our findings through a variety of illustrative examples, applications, and numerical simulations.
Bridging theoretical advancements with numerical and applied perspectives, this research provides a solid foundation for the further exploration and application of fractional-order differential models in complex systems.
The structure of this paper is as follows: Section 2 provides an overview and fundamental ideas. In Section 3, we give the existence, uniqueness, and Ulam–Hyers stability of the system’s solutions. Section 4 and Section 5 give some examples and applications. The conclusion and suggestions for further research are in the final section.
2. Preliminaries
Some well-known fundamental definitions of fractional calculus as well as a few lemmas required for this study are given in this section.
Define the Banach space , where for any .
Definition 1
([2]). A Riemann–Liouville fractional integral of order α for a function f is defined by
provided the right side is pointwise-defined on , where is the gamma function.
Definition 2
([2]). The CapFD of order α for a function can be written as
Remark 1.
Composition with Power Functions: The CapFD of a power function for is given by
Lemma 1
([1]). If , , , and , then
Lemma 2
([2]). Assume that with a CapFD of order that belongs to ; then,
where n is the smallest integer greater than or equal to α.
Lemma 3
([28]). Suppose that , and . Then, we have
where , . Hence, the following CapFDE
has a general solution which is expressed by
Lemma 4
([28]). Let , and let be continuous. Then, ν is a solution of the fractional integral equation
if and only if ν is a solution to the initial value problem for the CapFDE
Lemma 5
(Banach fixed-point theorem [29]). Let be a nonempty complete metric space, and let be a contraction mapping, i.e., there exists a constant such that
Then, T has a unique fixed point .
Lemma 6
(Schauder fixed-point theorem [29]). Let X be a nonempty, convex, and closed subset of a Banach space, and let be a continuous and compact (i.e., is relatively compact) mapping. Then, T has at least one fixed point in X.
3. Main Results
The existence, uniqueness, and Ulam–Hyers stability of the operator, which determines whether or not it has fixed points, will be proved by the following results. Then, we give some examples and applications.
Definition 3.
Consider the coupled system of CapFDEs with delays:
with initial conditions
where , are continuous and bounded, and are continuous delay functions satisfying .
Using the properties of CapFD and Lemma 3, the coupled systems (1)–(2) can be transformed into the following coupled system of Volterra integral equations:
for , and
To establish the existence and uniqueness of solutions for the coupled systems (1)–(2) using the Banach and Schauder fixed-point theorems, we make the following assumptions on the system functions and , the fractional-order , and the parameters , , , and :
- (H1)
- For all and , we have the following:
- and are continuous.
- and are bounded: There exist constants such that
- (H2)
- The delay functions satisfy the following:
- for all .
- for all .
- (H3)
- are given continuous initial functions.
- (H4)
- For all and , and satisfy Lipschitz conditions, with constants such that for all ,
Theorem 1
(existence theorem). Under the assumptions (H1)–(H3), the system (3) has at least one solution .
Proof.
We will provide the proof in the following steps.
Step 1: Equivalent Integral System.
The Caputo derivative is inverted using the fractional integral with the aid of Lemma 3. Consequently, for , the system can be rewritten as
and for ,
Therein, , , and this is similar for other delayed terms.
Step 2: Operator Formulation.
Define the Banach space as
Define the operator as
that is,
Step 3: Continuity of.
Let in . For ,
Since is a continuous function and, by the dominated convergence theorem, we have
Also, with the same process, one has
Thus, is continuous.
Step 4: Compactness of .
- Let . We show that is relatively compact via the Arzelá–Ascoli theorem.
Uniform Boundedness: For and ,
where and . Choose . Then, .
Equicontinuity: For , ,
Similarly, we have
Thus, . Hence is equicontinuous.
- For , is constant and hence equicontinuous. By Arzelá–Ascoli theorem, is compact.
Since is continuous and compact, Schauder’s theorem (Lemma 6) guarantees a fixed point , which solves the system (3). □
Theorem 2
(uniqueness theorem). Assume that assumptions (H2)–(H4) hold. For , if , then the system (3) has a unique solution .
Proof.
Consider the operator on the Banach space with the Bielecki norm:
The operator T is defined componentwise, as established in the existence proof. To complete the proof, we demonstrate that T is a contraction operator. For this purpose, we begin by estimating the Lipschitz constant. Specifically, for , the difference in the -component satisfies
Similarly, for the -component,
Next, we show that T is a contraction. For , and summing both components in (5) and (6), we obtain
Since , this implies that . Thus, T is a contraction on . By the Banach fixed-point theorem (Lemma 5), T has a unique fixed point , which is the unique solution to (3). □
We shall now present our third result to prove the stability of the Ulam–Hyers sense. Before that, we present the following definition:
Definition 4
(-approximate solution [13]). A pair is an ε-approximate solution of (3) if there exist functions with and for all such that
for , and , for .
Theorem 3
Proof.
Let be an -approximate solution and the exact solution. Define the errors:
For , the errors satisfy
where .
Using the Lipschitz continuity of and ,
For , if , then ; otherwise, . This is similar for other delayed terms.
Now, we estimate the supremum as Let , , and . Then,
Evaluating the integrals gives the following:
For , we obtain
Adding the inequalities for and , we have
Rearranging gives the following:
Under the condition , we obtain
Thus, , proving Ulam–Hyers stability. □
4. Examples
This section provides three examples to demonstrate the efficacy of the outcomes produced.
Example 1.
Consider the following coupled CapFDE system with delays:
with initial conditions
Now, we will check the following hypotheses:
- For ,
- For ,
Thus, . For delay functions, we have All delays satisfy . In addition, the initial conditions are , where .
Figure 1.
Solutions for and : (Top) The solution for the coupled system with fractional order and delay . (Bottom) The solution for the same system. The initial conditions are and .
Example 2.
Consider the following linear system:
with initial conditions
Verification of Hypotheses
- For ,
- For ,
Thus, . To verify the contraction condition, we have
Figure 2.
Solutions for and : (Top) The solution (green solid line) for the linear system with fractional order and delay . (Bottom) The solution (magenta dashed line) for the same system. The initial conditions are and . The solutions converge to steady states, demonstrating uniqueness.
Example 3.
Consider the following symmetric linear system:
with initial conditions
Stability Verification
- Lipschitz constants: .
- Stability constant K:
- Error bound for an -approximate solution with :
The system (9) is Ulam–Hyers stable with stability constant .
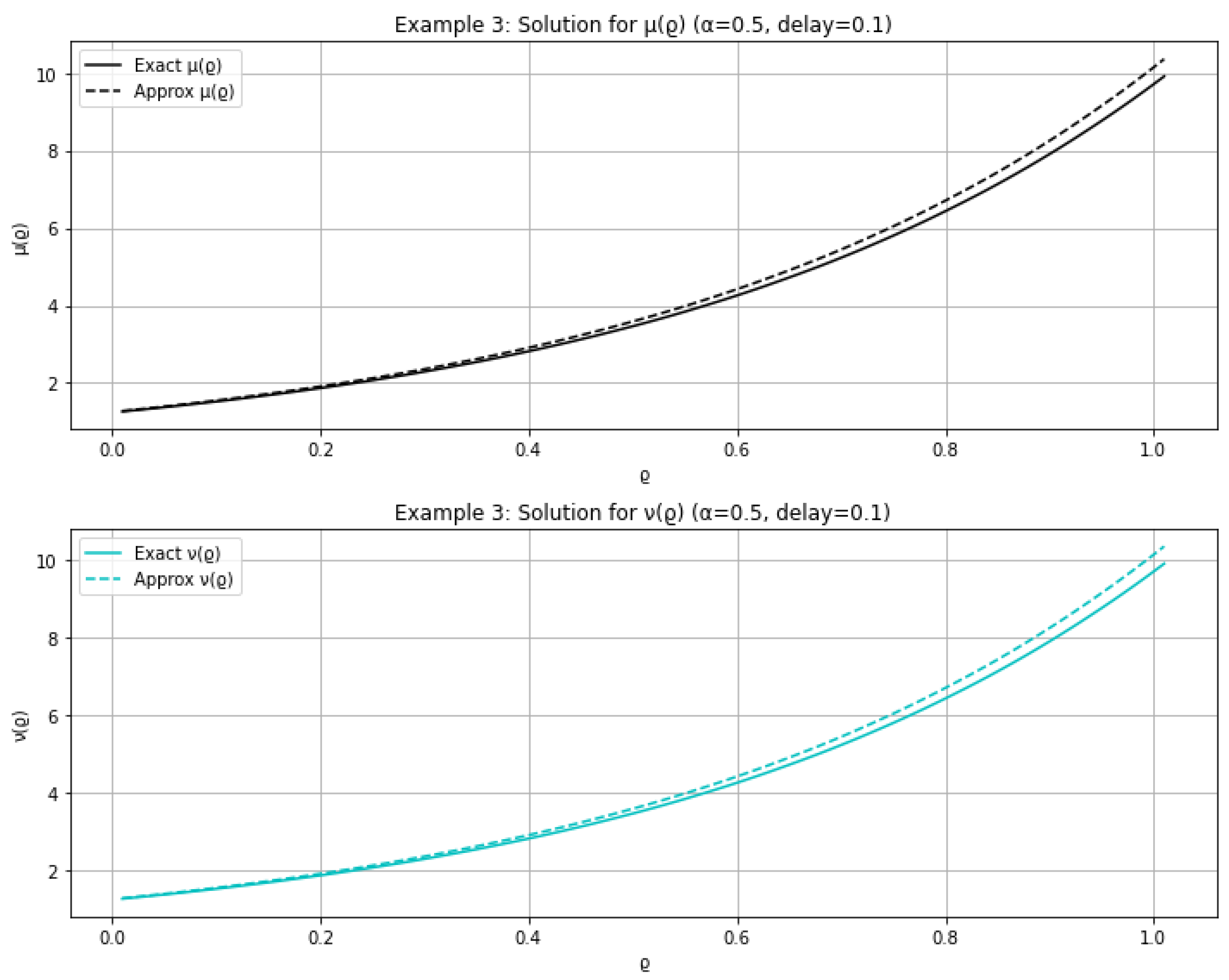
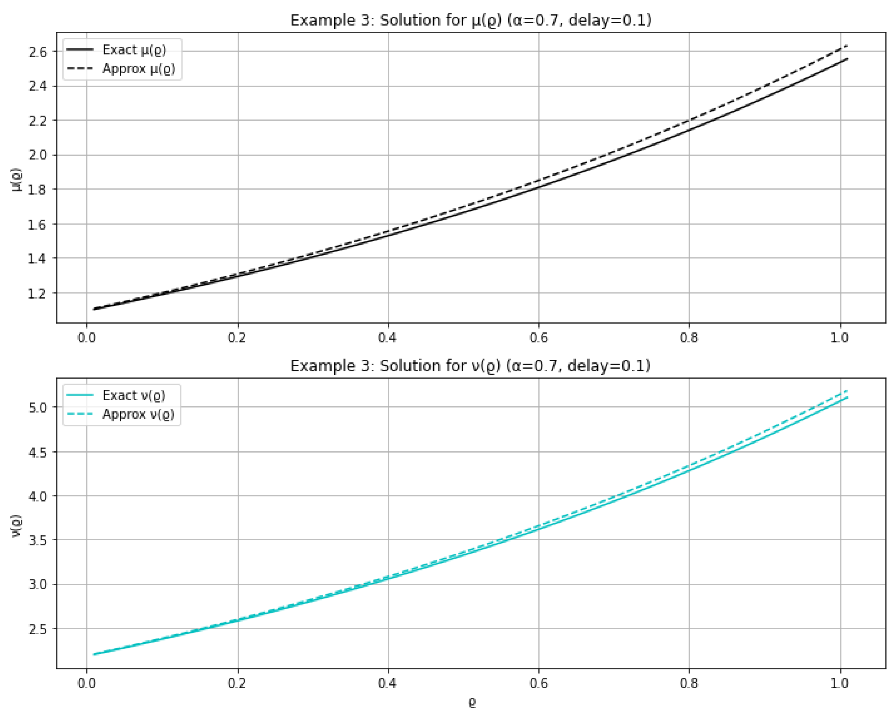
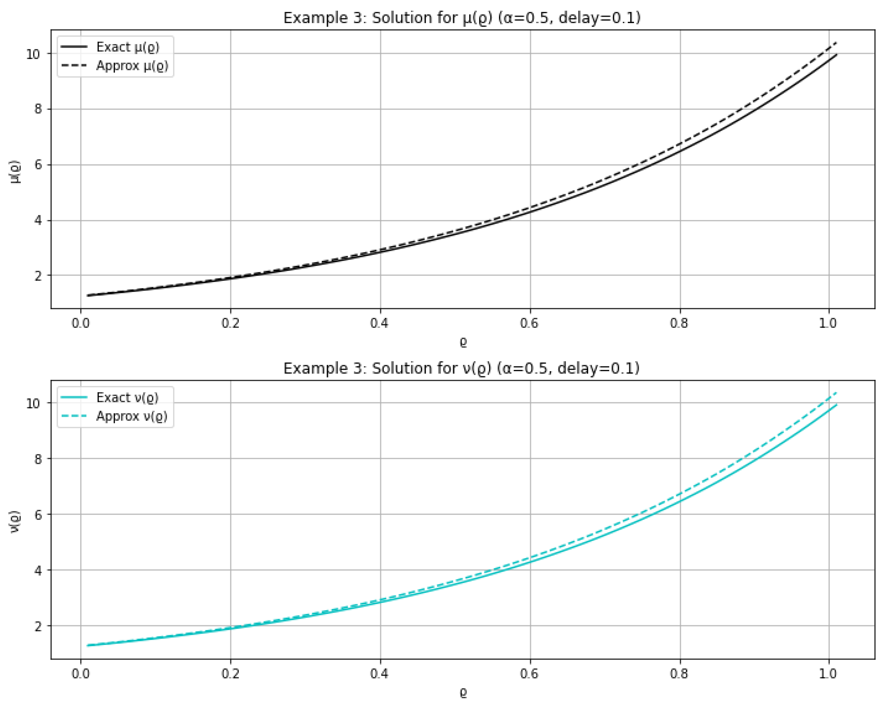
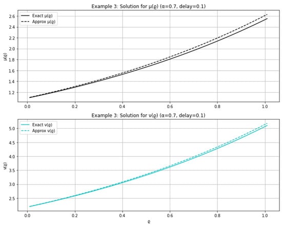
The fractional-order plays a crucial role in determining system stability. A lower (e.g., , Figure 3) introduces stronger memory effects, which smooth oscillations and improve robustness to perturbations by reducing the Ulam–Hyers stability constant K. In contrast, a higher (e.g., , Figure 4) weakens memory dependence, leading to faster dynamics but greater sensitivity to disturbances, resulting in a larger K. Although visual differences may be subtle in linear systems or short-term simulations, theoretical stability limits deteriorate as increases, highlighting a tradeoff between responsiveness and robustness. These effects become more pronounced in nonlinear systems or over extended time horizons.
Figure 3.
Exact and approximate solutions for and : (Top) The exact solution (black solid line) and the approximate solution (black dashed line) for the system with fractional order and delay . (Bottom) The exact solution (cyan solid line) and the approximate solution (cyan dashed line) for the same system. The initial conditions are and . The perturbed solutions () remain within the predicted error bounds, confirming Ulam–Hyers stability.
Figure 4.
Exact and approximate solutions for and : (Top) The exact solution (black solid line) and the approximate solution (black dashed line) for the system with fractional order and delay . (Bottom) The exact solution (cyan solid line) and the approximate solution (cyan dashed line) for the same system. The initial conditions are and . The perturbed solutions () remain within the predicted error bounds, confirming Ulam–Hyers stability.
5. Applications
This section applies a coupled system of Caputo FDEs with delays to model control systems and predator–prey dynamics. The inclusion of fractional derivatives and communication delays provides a more realistic representation of control mechanisms and ecological interactions, offering insights into system stability and long-term behavior.
5.1. Control Systems with Communication Delays
The control system is modeled using a coupled system of Caputo FDEs with communication delays:
where and are the system states, is the control input, is the communication delay, are system parameters, and is the fractional-order ().
The system is solved using the fractional Adams–Bashforth–Moulton predictor–corrector method [6], which is a numerical scheme for solving FDEs. The method involves the following steps:
- The time domain is discretized into N steps of size .
- Predictor step: An initial estimate of the solution is calculated using the Adams–Bashforth fractional formula:where , , and .
- Corrector step: The estimate is refined using the Adams–Moulton fractional formula:where
- Delay handling: Delayed terms (e.g., ) are handled by interpolating historical data at .
The following parameters were used in the simulation: , , , , , , , , , , and . The simulation results are shown in Figure 5. The states and exhibit oscillatory behavior due to the delayed control input and state feedback. The fractional-order introduces memory effects, resulting in smoother oscillations compared to integer-order models. Figure 5 illustrates the dynamic behavior of the control system.
Figure 5.
The states (blue solid line) and (red dashed line) for the fractional system with and delay . The control input is , and the initial conditions are and .
5.2. Predator–Prey Dynamics
The predator–prey dynamics are modeled using a coupled system of Caputo FDEs with delays:
where is the prey population, is the predator population, are system parameters, is the time delay (e.g., gestation period), and is the fractional order (). The system is solved using the fractional Adams–Bashforth–Moulton predictor–corrector method [6], which is a numerical scheme for solving FDEs. The method involves the predictor step to estimate the solution and the corrector step to refine the estimate with the same previous process. The time delay is handled by interpolating historical data at . The following parameters were used in the simulation: , , , , , , , , , , and .
The simulation results are shown in Figure 6. The prey population () and predator population () exhibit oscillatory behavior due to the interaction between the species and the memory effects introduced by the fractional derivative. Figure 6 illustrates the dynamic behavior of the Predator–Prey.
Figure 6.
Predator–prey dynamics with memory and delays. The prey population (blue) and predator population (orange) oscillate due to the interaction between species and the fractional order .
6. Conclusions
In this paper, we have investigated the theoretical properties of a generalized coupled system of CapFDEs with finite delay. The existence, uniqueness, and Ulam–Hyers stability of solutions for our system have been our main concerns. By leveraging Banach’s and Schauder’s fixed-point theorems adapted to the fractional setting, we have derived sufficient conditions under which these properties hold, which are contingent upon appropriate assumptions on problem parameters and constituent functions. To illustrate the main findings, three examples were provided. Our theoretical insights can be applied to complicated systems such as ecological dynamics, as we have shown through practical applications, which include applications to the control and predator–prey models. We have used numerical simulations using the Adams–Bashforth–Moulton approach to solve these models. The numerical findings demonstrate the applicability of our theoretical framework in real-world scenarios. Finally, this study enhances our understanding and application of CapFDEs in analyzing and modeling complex systems with fractional-order dynamics. Future research directions may include extending these results to more intricate systems or exploring advanced numerical methods for solving FDEs using alternative fractional derivatives, such as the ABC derivative [30] or the Caputo–Fabrizio derivative [31].
Author Contributions
Conceptualization, M.S.A. and M.A. (Muath Awadalla); methodology, M.S.A.; software, M.S.A. and N.A.; validation, M.A. (Meraa Arab), M.S.A., N.A. and M.A. (Muath Awadalla); formal analysis, M.S.A.; investigation, M.A. (Meraa Arab), M.S.A., N.A. and M.A. (Muath Awadalla); resources, M.A. (Muath Awadalla); data curation, M.A. (Muath Awadalla); methodology, M.S.A.; software, M.S.A. and N.A.; validation, M.A. (Meraa Arab); writing—original draft preparation, M.S.A.; writing—review and editing, M.A. (Meraa Arab), M.S.A., N.A. and M.A. (MuathAwadalla); visualization, M.A. (Muath Awadalla); supervision, M.A. (Meraa Arab), N.A. and M.A. (Muath Awadalla); project administration, M.A.(Muath Awadalla); funding acquisition, M.A. (Meraa Arab). All authors have read and agreed to the published version of the manuscript.
Funding
This work was supported by the Deanship of Scientific Research, Vice Presidency for Graduate Studies and Scientific Research, King Faisal University, Saudi Arabia [Grant No. KFU251258].
Data Availability Statement
Data are contained within the article.
Conflicts of Interest
The authors declare no conflicts of interest.
References
- Podlubny, I. Fractional Differential Equations: An Introduction to Fractional Derivatives, Fractional Differential Equations, to Methods of Their Solution and Some of Their Applications; Academic Press: Cambridge, MA, USA, 1999. [Google Scholar]
- Kilbas, A.A.; Srivastava, H.M.; Trujillo, J.J. Theory and Applications of Fractional Differential Equations; Elsevier: Amsterdam, The Netherlands, 2006. [Google Scholar]
- Samko, S.G.; Kilbas, A.A.; Marichev, O.I. Fractional Integrals and Derivatives; Theory and Applications, Gordon and Breach Science: Philadelphia, PA, USA, 1993. [Google Scholar]
- Miller, K.S.; Ross, B. An Introduction to the Fractional Calculus and Fractional Differential Equations; Wiley: New York, NY, USA, 1993. [Google Scholar]
- Caputo, M. Linear models of dissipation whose Q is almost frequency independent-II. Geophys. J. Int. 1967, 13, 529–539. [Google Scholar]
- Diethelm, K.; Ford, N.J.; Freed, A.D. A predictor-corrector approach for the numerical solution of fractional differential equations. Nonlinear Dyn. 2010, 29, 3–22. [Google Scholar] [CrossRef]
- Lakshmikantham, V.; Trigiante, D. Theory of Difference Equations: Numerical Methods and Applications; CRC Press: Boca Raton, FL, USA, 2009. [Google Scholar]
- Bai, Z. Fixed Point Theorems and Their Applications; Springer: Berlin/Heidelberg, Germany, 2017. [Google Scholar]
- Gambo, Y.Y.; Ameen, R.; Jarad, F.; Abdeljawad, T. Existence and uniqueness of solutions to fractional differential equations in the frame of generalized Caputo fractional derivatives. Adv. Differ. Equ. 2018, 2018, 134. [Google Scholar] [CrossRef]
- Ali, A.; Shah, K.; Jarad, F.; Gupta, V.; Abdeljawad, T. Existence and stability analysis to a coupled system of implicit type impulsive boundary value problems of fractional-order differential equations. Adv. Differ. Equ. 2019, 2019, 101. [Google Scholar]
- Abdalla, B.; Abdeljawad, T. On the oscillation of Caputo fractional differential equations with Mittag-Leffler nonsingular kernel. Chaos Solitons Fractals 2019, 127, 173–177. [Google Scholar]
- Ulam, S.M. A Collection of Mathematical Problems; Interscience Publishers: Geneva, Switzerland, 1960. [Google Scholar]
- Hyers, D.H. On the stability of the linear functional equation. Proc. Natl. Acad. Sci. USA 1941, 27, 222–224. [Google Scholar] [CrossRef] [PubMed]
- Khan, H.; Abdeljawad, T.; Aslam, M.; Khan, R.A.; Khan, A. Existence of positive solution and Hyers–Ulam stability for a nonlinear singular-delay-fractional differential equation. Adv. Differ. Equ. 2019, 2019, 104. [Google Scholar] [CrossRef]
- Baleanu, D.; Sadati, S.J.; Ghaderi, R.; Ranjbar, A.; Abdeljawad, T.; Jarad, F. Razumikhin stability theorem for fractional systems with delay. Abstr. Appl. Anal. 2010, 1, 124812. [Google Scholar]
- Ahmad, B.; Alghanmi, M.; Alsaedi, A.; Nieto, J.J. Existence and uniqueness results for a nonlinear coupled system involving Caputo fractional derivatives with a new kind of coupled boundary conditions. Appl. Math. Lett. 2021, 116, 107018. [Google Scholar] [CrossRef]
- Gorenflo, R.; Mainardi, F. Fractional Calculus: Integral and Differential Equations of Fractional Order; Springer: Berlin/Heidelberg, Germany, 1999. [Google Scholar]
- Mainardi, F. Fractional Calculus and Waves in Linear Viscoelasticity: An Introduction to Mathematical Models; Imperial College Press: London, UK, 2010. [Google Scholar]
- Younis, M.; Ahmad, H.; Ozturk, M.; Singh, D. A novel approach to the convergence analysis of chaotic dynamics in fractional order Chua’s attractor model employing fixed points. Alex. Eng. J. 2025, 110, 363–375. [Google Scholar] [CrossRef]
- Qaraad, B.; Bazighifan, O.; Ali, A.H.; Al-Moneef, A.A.; Alqarni, A.J.; Nonlaopon, K. Oscillation results of third-order differential equations with symmetrical distributed arguments. Symmetry 2022, 14, 2038. [Google Scholar] [CrossRef]
- Agarwal, R.P.; Baleanu, D.; Rezapour, S.; Salehi, S. The existence of solutions for fractional finite delay differential equations. Adv. Difference Equ. 2013, 2013, 1–9. [Google Scholar]
- Tunç, O.; Tunç, C. Existence, uniqueness and stability results for a coupled system of fractional differential equations with Hadamard fractional derivatives. Adv. Differ. Equ. 2021, 2021, 267. [Google Scholar]
- Ahmad, B.; Ntouyas, S.K. Existence results for a coupled system of Caputo type sequential fractional differential equations with nonlocal integral boundary conditions. Frac. Calc. Appl. Anal. 2014, 17, 348–360. [Google Scholar]
- Tunç, O.; Tunç, C.; Yao, J.C. New results on Ulam stabilities of nonlinear integral equations. Mathematics 2024, 12, 682. [Google Scholar] [CrossRef]
- Wang, J.R.; Zhang, Y. Ulam–Hyers–Mittag-Leffler stability of fractional-order delay differential equations. Optimization 2014, 63, 1181–1190. [Google Scholar] [CrossRef]
- Tunç, O. New Results on the Ulam–Hyers–Mittag-Leffler Stability of Caputo Fractional-Order Delay Differential Equations. Mathematics 2024, 12, 1342. [Google Scholar] [CrossRef]
- Butcher, J.C. Numerical Methods for Ordinary Differential Equations; John Wiley Sons: Hoboken, NJ, USA, 2008. [Google Scholar]
- Delboso, D.; Rodino, L. Existence and uniqueness for a nonlinear fractional differential equation. J. Math. Anal. Appl. 1996, 204, 609–625. [Google Scholar] [CrossRef]
- Zeidler, E. Nonlinear Functional Analysis and its Applications: I: Fixed-Point Theorems (Pt. 1); Springer: Berlin/Heidelberg, Germany, 1985. [Google Scholar]
- Atangana, A.; Baleanu, D. New Fractional Derivatives with Non-Local and Non-Singular Kernel: Theory and Application to Heat Transfer Model. Therm. Sci. 2016, 20, 757–763. [Google Scholar] [CrossRef]
- Caputo, M.; Fabrizio, M. A new definition of fractional derivative without singular kernel. Prog. Fract. Differ. Appl. 2015, 1, 73–85. [Google Scholar]
Disclaimer/Publisher’s Note: The statements, opinions and data contained in all publications are solely those of the individual author(s) and contributor(s) and not of MDPI and/or the editor(s). MDPI and/or the editor(s) disclaim responsibility for any injury to people or property resulting from any ideas, methods, instructions or products referred to in the content. |
© 2025 by the authors. Licensee MDPI, Basel, Switzerland. This article is an open access article distributed under the terms and conditions of the Creative Commons Attribution (CC BY) license (https://creativecommons.org/licenses/by/4.0/).





