A Constrained Multi-Objective Optimization Algorithm with a Population State Discrimination Model
Abstract
1. Introduction
- The evolutionary state of the population is divided into three types: convergence, convergence–diversity balance, and diversity. A population state discrimination model is established to identify these states by recording the distance between the auxiliary and main populations and determining the state based on this relationship. In the convergence state, the population prioritizes convergence, and the selection of auxiliary individuals considers only the distance between the target space and the origin. In the convergence–diversity balance state, both convergence and diversity are considered, with the selection process accounting for the distance to the origin and the cosine similarity between individuals. In the diversity state, the population emphasizes diversity, and the selection considers both the cosine similarity between individuals and the pairwise distances among them. By adapting the population selection to the specific state, the auxiliary population is guided effectively, enhancing the optimization process.
- Building on the two-stage concept, a specialized evolutionary operator design is applied to the auxiliary population. Specifically, the evolutionary process of the auxiliary population is divided into two stages: in the early stage, DE/current/best/1 is employed, and in the later stage, DE/rand/1 is used. During the initial phase of evolution, different population states are considered to select the optimal individuals, thereby accelerating the convergence of the auxiliary population.
- Comparing PSCMO with seven state-of-the-art different types of CMOEAs in 47 test functions and 12 real-world problems, the results show that PSCMO has the most balanced and superior performance.
2. Research and Review of Existing CMOAs
2.1. An Optimization Model Based on Gradual Evolution
2.2. An Optimization Model Based on Multiple Populations
2.3. An Optimization Model Based on Multiple Stages
3. The Proposed Algorithm
3.1. The Framework
| Algorithm 1 The evolutionary rocess of PSCMO |
| Input:NP: population size; MaxFES: maximal number of fitness evaluations |
| Output: The feasible Pareto-optimal solutions |
|
| Algorithm 2 Search algorithm |
| Input: : Number of offspring in the main population; : number of offspring in the auxiliary population; : main population; : auxiliary population; state: current state of evolution; FES: number of function evaluations; MaxFES: maximum number of function evaluations. |
| Output: O: Offspring. |
| /* The main population’s offspring’s evolution */ |
|
| Algorithm 3 Environmental selection model for the auxiliary population |
| Input:NP: Population size; : auxiliary population; O: offspring; : the current state of evolution. |
| Output: : The auxiliary population. |
|

3.2. The Population State Discrimination Model
- When the distance between the auxiliary population and the main population remains relatively stable, both the auxiliary population and the main population can be considered to have been effectively explored, and the auxiliary population can effectively guide the population to converge.
- When the auxiliary population is close to the main population, it is considered that there is not much room for improvement in the convergence, and diversity should be given more consideration.
- When the closest distance occurs between the auxiliary population and the main population, this indicates that the auxiliary population cannot help the population achieve further improvement in convergence. At this time, the main task of the auxiliary population should be to help the main population improve in its diversity.
3.3. The Environmental Selection Model
- ;
- , ;
- ;
- .
3.4. The Search Algorithm
3.5. The Population Resource Allocation Method
3.6. A Complexity Analysis
4. The Experimental Setup
4.1. Benchmark Functions and Evaluation Indicators
4.2. Comparing Algorithms and Parameter Settings
- Population size: ;
- The number of times the algorithm runs independently: 30;
- The number of maximum function evaluations: 100,000;
- Crossover probability and the distribution index ;
- Mutation probability and the distribution index ;
- For the DE operator, F = 0.5 and CR = 1.0.
5. Experimental Analysis
5.1. Comparison on the CF Test Set
5.2. Comparison on the DAS-CMOP Test Set
5.3. Comparison on the LIR-CMOP Test Set
5.4. Comparison on the MW Test Set
5.5. Comparison on Real-World Problems
5.6. Convergence Speed Analysis
5.7. Diversity Analysis
5.8. Statistics and Testing
5.9. The Ablation Experiment
6. Conclusions
Author Contributions
Funding
Data Availability Statement
Acknowledgments
Conflicts of Interest
References
- Jozefowiez, N.; Semet, F.; Talbi, E.G. Multi-objective vehicle routing problems. Eur. J. Oper. Res. 2008, 189, 293–309. [Google Scholar] [CrossRef]
- Ma, Z.; Wang, Y. Shift-Based Penalty for Evolutionary Constrained Multiobjective Optimization and Its Application. IEEE Trans. Cybern. 2023, 53, 18–30. [Google Scholar] [CrossRef] [PubMed]
- Siddall, J.N. Optimal Engineering Design: Principles and Applications; CRC Press: Boca Raton, FL, USA, 1982. [Google Scholar]
- Xu, B.; Gong, D.; Zhang, Y.; Yang, S.; Wang, L.; Fan, Z.; Zhang, Y. Cooperative co-evolutionary algorithm for multi-objective optimization problems with changing decision variables. Inf. Sci. 2022, 607, 278–296. [Google Scholar] [CrossRef]
- Sun, R.; Zou, J.; Liu, Y.; Yang, S.; Zheng, J. A Multistage Algorithm for Solving Multiobjective Optimization Problems With Multiconstraints. IEEE Trans. Evol. Comput. 2023, 27, 1207–1219. [Google Scholar] [CrossRef]
- Gan, X.; Sun, J.; Gong, D.; Jia, D.; Dai, H.; Zhong, Z. An Adaptive Reference Vector-Based Interval Multiobjective Evolutionary Algorithm. IEEE Trans. Evol. Comput. 2022, 27, 1235–1249. [Google Scholar] [CrossRef]
- Takahama, T.; Sakai, S. Constrained optimization by the ϵ constrained differential evolution with an archive and gradient-based mutation. In Proceedings of the IEEE Congress on Evolutionary Computation, Barcelona, Spain, 18–23 July 2010; pp. 1–9. [Google Scholar] [CrossRef]
- Wang, Q.; Li, Y.; Hou, Z.; Zou, J.; Zheng, J. A novel multi-population evolutionary algorithm based on hybrid collaboration for constrained multi-objective optimization. Swarm Evol. Comput. 2024, 87, 101581. [Google Scholar] [CrossRef]
- Liang, J.; Qiao, K.; Yu, K.; Qu, B.; Yue, C.; Guo, W.; Wang, L. Utilizing the Relationship Between Unconstrained and Constrained Pareto Fronts for Constrained Multiobjective Optimization. IEEE Trans. Cybern. 2023, 53, 3873–3886. [Google Scholar] [CrossRef] [PubMed]
- Qiao, K.; Yu, K.; Qu, B.; Liang, J.; Song, H.; Yue, C.; Lin, H.; Tan, K.C. Dynamic Auxiliary Task-Based Evolutionary Multitasking for Constrained Multiobjective Optimization. IEEE Trans. Evol. Comput. 2023, 27, 642–656. [Google Scholar] [CrossRef]
- Ming, F.; Gong, W.; Wang, L.; Gao, L. A Constraint-Handling Technique for Decomposition-Based Constrained Many-Objective Evolutionary Algorithms. IEEE Trans. Syst. Man Cybern. Syst. 2023, 53, 7783–7793. [Google Scholar] [CrossRef]
- Liang, J.; Ban, X.; Yu, K.; Qu, B.; Qiao, K.; Yue, C.; Chen, K.; Tan, K.C. A Survey on Evolutionary Constrained Multiobjective Optimization. IEEE Trans. Evol. Comput. 2023, 27, 201–221. [Google Scholar] [CrossRef]
- Wang, B.C.; Li, H.X.; Li, J.P.; Wang, Y. Composite Differential Evolution for Constrained Evolutionary Optimization. IEEE Trans. Syst. Man Cybern. Syst. 2019, 49, 1482–1495. [Google Scholar] [CrossRef]
- Srinivas, N.; Deb, K. Muiltiobjective Optimization Using Nondominated Sorting in Genetic Algorithms. Evol. Comput. 1994, 2, 221–248. [Google Scholar] [CrossRef]
- Deb, K.; Pratap, A.; Agarwal, S.; Meyarivan, T. A fast and elitist multiobjective genetic algorithm: NSGA-II. IEEE Trans. Evol. Comput. 2002, 6, 182–197. [Google Scholar] [CrossRef]
- Ma, Z.; Wang, Y.; Song, W. A New Fitness Function with Two Rankings for Evolutionary Constrained Multiobjective Optimization. IEEE Trans. Syst. Man Cybern.-Syst. 2021, 51, 5005–5016. [Google Scholar] [CrossRef]
- Yuan, J.; Liu, H.L.; Ong, Y.S.; He, Z. Indicator-Based Evolutionary Algorithm for Solving Constrained Multiobjective Optimization Problems. IEEE Trans. Evol. Comput. 2022, 26, 379–391. [Google Scholar] [CrossRef]
- Gu, Q.; Bai, J.; Li, X.; Xiong, N.; Lu, C. A constrained multi-objective evolutionary algorithm based on decomposition with improved constrained dominance principle. Swarm Evol. Comput. 2022, 75, 101162. [Google Scholar] [CrossRef]
- Jiao, R.; Xue, B.; Zhang, M. A Multiform Optimization Framework for Constrained Multiobjective Optimization. IEEE Trans. Cybern. 2023, 53, 5165–5177. [Google Scholar] [CrossRef] [PubMed]
- Zuo, M.; Xue, Y. Population Feasibility State Guided Autonomous Constrained Multi-Objective Evolutionary Optimization. Mathematics 2024, 12, 913. [Google Scholar] [CrossRef]
- Fang, J.; Liu, H.L.; Gu, F. A constrained multi-objective evolutionary algorithm based on fitness landscape indicator. Appl. Soft Comput. 2024, 166, 112128. [Google Scholar] [CrossRef]
- Wang, J.; Liang, G.; Zhang, J. Cooperative differential evolution framework for constrained multiobjective optimization. IEEE Trans. Cybern. 2018, 49, 2060–2072. [Google Scholar] [CrossRef]
- Liu, Z.Z.; Wang, Y. Handling Constrained Multiobjective Optimization Problems With Constraints in Both the Decision and Objective Spaces. IEEE Trans. Evol. Comput. 2019, 23, 870–884. [Google Scholar] [CrossRef]
- Liang, J.; Ban, X.; Yu, K.; Qiao, K.; Qu, B. Constrained multiobjective differential evolution algorithm with infeasible-proportion control mechanism. Knowl.-Based Syst. 2022, 250, 109105. [Google Scholar] [CrossRef]
- Qiao, K.; Chen, Z.; Qu, B.; Yu, K.; Yue, C.; Chen, K.; Liang, J. A dual-population evolutionary algorithm based on dynamic constraint processing and resources allocation for constrained multi-objective. Expert Syst. Appl. 2024, 238, 121707. [Google Scholar] [CrossRef]
- Ming, F.; Gong, W.; Li, D.; Wang, L.; Gao, L. A competitive and cooperative swarm optimizer for constrained multiobjective optimization problems. IEEE Trans. Evol. Comput. 2022, 27, 1313–1326. [Google Scholar] [CrossRef]
- Zhang, J.; Cao, J.; Zhao, F.; Chen, Z. Two cooperative constraint handling techniques with an external archive for constrained multi-objective optimization. Memetic Comput. 2024, 16, 115–137. [Google Scholar] [CrossRef]
- Qiao, K.; Liang, J.; Yu, K.; Ban, X.; Yue, C.; Qu, B.; Suganthan, P.N. Constraints Separation Based Evolutionary Multitasking for Constrained Multi-Objective Optimization Problems. IEEE/CAA J. Autom. Sin. 2024, 11, 1819–1835. [Google Scholar] [CrossRef]
- Zhang, W.; Yang, J.; Li, G.; Zhang, W.; Yen, G.G. Manifold-assisted coevolutionary algorithm for constrained multi-objective optimization. Swarm Evol. Comput. 2024, 91, 101717. [Google Scholar] [CrossRef]
- Ma, H.; Wei, H.; Tian, Y.; Cheng, R.; Zhang, X. A multi-stage evolutionary algorithm for multi-objective optimization with complex constraints. Inf. Sci. 2021, 560, 68–91. [Google Scholar] [CrossRef]
- Tian, Y.; Zhang, Y.; Su, Y.; Zhang, X.; Tan, K.C.; Jin, Y. Balancing objective optimization and constraint satisfaction in constrained evolutionary multiobjective optimization. IEEE Trans. Cybern. 2021, 52, 9559–9572. [Google Scholar] [CrossRef]
- Ming, F.; Gong, W.; Gao, L. Adaptive Auxiliary Task Selection for Multitasking-Assisted Constrained Multi-Objective Optimization [Feature]. IEEE Comput. Intell. Mag. 2023, 18, 18–30. [Google Scholar] [CrossRef]
- Ma, Y.; Shen, B.; Pan, A. Constrained evolutionary optimization based on dynamic knowledge transfer. Expert Syst. Appl. 2024, 240, 122450. [Google Scholar] [CrossRef]
- Zhong, X.; Yao, X.; Qiao, K.; Gong, D. A Multitasking-Based Constrained Multi-Objective Evolutionary Algorithm With Forward and Backward Stages. IEEE Trans. Emerg. Top. Comput. Intell. 2024, 8, 3474–3488. [Google Scholar] [CrossRef]
- Zhang, W.; Liu, J.; Zhang, W.; Liu, Y.; Tan, S. A two-stage evolutionary algorithm assisted by multi-archives for constrained multi-objective optimization. Appl. Soft Comput. 2024, 162, 111840. [Google Scholar] [CrossRef]
- Qiao, K.; Liang, J.; Yu, K.; Yue, C.; Lin, H.; Zhang, D.; Qu, B. Evolutionary Constrained Multiobjective Optimization: Scalable High-Dimensional Constraint Benchmarks and Algorithm. IEEE Trans. Evol. Comput. 2024, 28, 965–979. [Google Scholar] [CrossRef]
- Zhang, Q.; Zhou, A.; Zhao, S.; Suganthan, P.; Liu, W.; Tiwari, S. Multiobjective optimization Test Instances for the CEC 2009 Special Session and Competition; University of Essex: Colchester, UK, 2008. [Google Scholar]
- Fan, Z.; Li, W.; Cai, X.; Li, H.; Wei, C.; Zhang, Q.; Deb, K.; Goodman, E. Difficulty Adjustable and Scalable Constrained Multiobjective Test Problem Toolkit. Evol. Comput. 2020, 28, 339–378. [Google Scholar] [CrossRef] [PubMed]
- Fan, Z.; Li, W.; Cai, X.; Huang, H.; Fang, Y.; You, Y.; Mo, J.; Wei, C.; Goodman, E. An improved epsilon constraint-handling method in MOEA/D for CMOPs with large infeasible regions. Soft Comput. 2019, 23, 12491–12510. [Google Scholar] [CrossRef]
- Ma, Z.; Wang, Y. Evolutionary Constrained Multiobjective Optimization: Test Suite Construction and Performance Comparisons. IEEE Trans. Evol. Comput. 2019, 23, 972–986. [Google Scholar] [CrossRef]
- Kumar, A.; Wu, G.; Ali, M.Z.; Luo, Q.; Mallipeddi, R.; Suganthan, P.N.; Das, S. A Benchmark-Suite of real-World constrained multi-objective optimization problems and some baseline results. Swarm Evol. Comput. 2021, 67, 100961. [Google Scholar] [CrossRef]
- Ishibuchi, H.; Masuda, H.; Nojima, Y. Sensitivity of performance evaluation results by inverted generational distance to reference points. In Proceedings of the 2016 IEEE Congress on Evolutionary Computation (CEC), Vancouver, BC, Canada, 24–29 July 2016; pp. 1107–1114. [Google Scholar] [CrossRef]
- Zitzler, E.; Thiele, L. Multiobjective evolutionary algorithms: A comparative case study and the Strength Pareto approach. IEEE Trans. Evol. Comput. 1999, 3, 257–271. [Google Scholar] [CrossRef]
- Yang, Y.; Liu, J.; Tan, S.; Wang, H. A multi-objective differential evolutionary algorithm for constrained multi-objective optimization problems with low feasible ratio. Appl. Soft Comput. 2019, 80, 42–56. [Google Scholar] [CrossRef]
- Ming, F.; Gong, W.; Wang, L.; Lu, C. A tri-population based co-evolutionary framework for constrained multi-objective optimization problems. Swarm Evol. Comput. 2022, 70, 101055. [Google Scholar] [CrossRef]
- Panichella, A. An improved Pareto front modeling algorithm for large-scale many-objective optimization. In Proceedings of the Genetic and Evolutionary Computation Conference, Boston, MA, USA, 9–13 July 2022; pp. 565–573. [Google Scholar]
- Yu, K.; Liang, J.; Qu, B.; Luo, Y.; Yue, C. Dynamic selection preference-assisted constrained multiobjective differential evolution. IEEE Trans. Syst. Man Cybern. Syst. 2021, 52, 2954–2965. [Google Scholar] [CrossRef]
- Song, Z.; Wang, H.; Xue, B.; Zhang, M.; Jin, Y. Balancing Objective Optimization and Constraint Satisfaction in Expensive Constrained Evolutionary Multiobjective Optimization. IEEE Trans. Evol. Comput. 2024, 28, 1286–1300. [Google Scholar] [CrossRef]
- Dong, J.; Gong, W.; Ming, F.; Wang, L. A two-stage evolutionary algorithm based on three indicators for constrained multi-objective optimization. Expert Syst. Appl. 2022, 195, 116499. [Google Scholar] [CrossRef]
- Ming, F.; Gong, W.; Zhen, H.; Li, S.; Wang, L.; Liao, Z. A simple two-stage evolutionary algorithm for constrained multi-objective optimization. Knowl.-Based Syst. 2021, 228, 107263. [Google Scholar] [CrossRef]
- Tian, Y.; Cheng, R.; Zhang, X.; Jin, Y. PlatEMO: A MATLAB Platform for Evolutionary Multi-Objective Optimization. IEEE Comput. Intell. Mag. 2017, 12, 73–87. [Google Scholar] [CrossRef]
- Tavakoli, A.; Forouzanfar, M. Adaptive droop control for current sharing and bus voltage stability in DC microgrids. Int. Trans. Electr. Energy Syst. 2021, 31, e12753. [Google Scholar] [CrossRef]




| Name | Problem | M | D |
|---|---|---|---|
| RWMOP1 | Multi-product Batch Plant | 3 | 10 |
| RWMOP2 | Crash Energy Management for High-speed Train | 2 | 6 |
| RWMOP3 | Haverly’s Pooling Problem | 2 | 9 |
| RWMOP4 | Reactor Network Design | 2 | 6 |
| RWMOP5 | Process Synthesis Problem | 2 | 2 |
| RWMOP6 | Two Reactor Problem | 2 | 7 |
| RWMOP7 | Synchronous Optimal Pulse-Width Modulation of 3-level Inverters | 2 | 25 |
| RWMOP8 | Synchronous Optimal Pulse-Width Modulation of 5-level Inverters | 2 | 25 |
| RWMOP9 | Synchronous Optimal Pulse-Width Modulation of 7-level Inverters | 3 | 25 |
| RWMOP10 | Synchronous Optimal Pulse-Width Modulation of 9-level Inverters | 2 | 30 |
| RWMOP11 | Synchronous Optimal Pulse-Width Modulation of 11-level Inverters | 2 | 30 |
| RWMOP12 | Synchronous Optimal Pulse-Width Modulation of 13-level Inverters | 2 | 30 |
| BiCo | DPPPS | AGEMOEAII | DSPCMDE | CMOEA-MS | TSTI | CTSEA | PSCMO | |
|---|---|---|---|---|---|---|---|---|
| CF1 | 3.91 (2.43)+ | 5.40 (2.71)- | 4.41 (3.21)+ | 6.41 (8.20)- | 1.01 (1.19)+ | 5.05 (2.58)+ | 2.14 (3.11)+ | 7.56 (6.19) |
| CF2 | 1.19 (3.60)+ | 5.49 (2.01)+ | 1.33 (2.92)+ | 5.79 (3.91)+ | 1.84 (6.37)+ | 1.37 (3.28)+ | 1.20 (2.69)+ | 2.43 (8.68) |
| CF3 | 3.77 (4.16)+ | 2.79 (2.97)+ | 4.70 (3.39)+ | 5.21 (1.55)+ | 4.28 (4.23)+ | 4.74 (3.10)+ | 3.61 (4.45)+ | 8.02 (1.76) |
| CF4 | 2.89 (6.18)+ | 2.07 (2.48)+ | 3.48 (4.85)+ | 4.49 (3.61)+ | 3.87 (3.96)+ | 3.63 (5.14)+ | 3.06 (7.07)+ | 7.54 (7.86) |
| CF5 | 4.18 (2.38)+ | 2.88 (4.46)+ | 4.16 (1.75)+ | 1.53 (0.00)+ | 4.20 (1.93)+ | 4.31 (2.62)+ | 4.22 (1.71)+ | 2.37 (1.74) |
| CF6 | 3.46 (2.03)+ | 1.76 (3.17)+ | 3.42 (4.84)+ | 2.57 (1.49)+ | 3.36 (3.01)+ | 3.22 (1.57)+ | 3.13 (2.46)+ | 6.46 (4.12) |
| CF7 | 4.72 (8.91)+ | 3.41 (8.17)+ | 4.87 (8.78)+ | 1.40 (0.00)+ | 4.95 (7.43)+ | 4.97 (7.66)+ | 4.92 (6.63)+ | 1.95 (2.58) |
| CF8 | NaN (0.00%)+ | 2.95 (2.64)+ | NaN (0.00%)+ | NaN (96.67%)+ | NaN (0.00%)+ | NaN (0.00%)+ | NaN (96.67%)+ | 1.92 (1.74) |
| CF9 | 5.16 (1.99)+ | 1.38 (1.21)+ | 6.03 (2.14)+ | 2.53 (1.87)+ | 1.54 (3.90)+ | 5.16 (3.18)+ | 1.35 (9.85)+ | 6.74 (1.14) |
| CF10 | NaN (0.00%)+ | 6.61 (4.17)+ | NaN (0.00%)+ | NaN (3.33%)+ | NaN (48.03%)+ | NaN (0.00%)+ | NaN (96.67%)+ | 3.30 (4.80) |
| +/-/= | 10/0/0 | 9/1/0 | 10/0/0 | 9/1/0 | 10/0/0 | 10/0/0 | 10/0/0 | |
| DAS-CMOP1 | 7.66 (5.63)+ | 6.15 (2.76)+ | 7.90 (0.00)+ | 2.97 (1.02)+ | 7.74 (0.00)+ | 7.22 (3.40)+ | 7.58 (8.42)+ | 2.51 (9.73) |
| DAS-CMOP2 | 1.61 (3.72)+ | 1.10 (7.21)+ | 1.74 (3.62)+ | 4.86 (1.54)+ | 1.70 (3.69)+ | 1.72 (3.14)+ | 1.52 (1.31)+ | 3.58 (6.23) |
| DAS-CMOP3 | 2.01 (1.91)+ | 1.90 (7.48)+ | 2.93 (6.46)+ | 7.65 (7.02)+ | 2.23 (1.01)+ | 2.10 (1.92)+ | 1.95 (6.80)+ | 5.85 (4.36) |
| DAS-CMOP4 | 3.79 (1.12)+ | 4.73 (4.75)+ | 3.37 (6.43)+ | NaN (0.00%)+ | 2.64 (3.85)+ | 3.04 (1.46)+ | 2.57 (2.03)+ | 1.83 (6.54) |
| DAS-CMOP5 | 4.37 (4.54)+ | 5.16 (2.19)+ | NaN (0.00%)+ | NaN (0.00%)+ | 4.28 (1.95)+ | 2.82 (7.49)+ | 2.39 (3.19)- | 3.12 (3.35) |
| DAS-CMOP6 | NaN (90.03%)+ | 3.52 (1.17)+ | NaN (0.00%)+ | NaN (0.00%)+ | 6.34 (1.23)+ | 6.43 (1.14)+ | 5.48 (1.71)+ | 6.15 (6.05) |
| DAS-CMOP7 | 2.86 (5.02)+ | 4.13 (6.92)+ | 2.34 (2.16)- | NaN (0.00%)+ | 3.85 (2.12)= | 2.50 (2.60)= | 2.58 (4.83)+ | 2.41 (6.31) |
| DAS-CMOP8 | 2.07 (1.74)+ | 2.46 (9.26)+ | 2.05 (3.40)+ | NaN (0.00%)+ | 2.60 (1.26)= | 1.92 (2.71)- | 1.90 (5.87)= | 1.90 (4.39) |
| DAS-CMOP9 | 2.97 (4.48)+ | 2.13 (6.21)+ | 3.49 (8.61)+ | 2.89 (9.37)+ | 3.21 (9.79)+ | 2.55 (1.16)+ | 2.98 (7.08)+ | 1.88 (5.73) |
| +/-/= | 9/0/0 | 9/0/0 | 8/1/0 | 9/0/0 | 7/0/2 | 7/1/1 | 7/1/1 | |
| LIR-CMOP1 | 2.09 (3.34)+ | 9.96 (1.24)= | 2.81 (7.45)+ | 1.75 (2.65)+ | 3.02 (1.50)+ | 2.14 (1.09)+ | 3.04 (1.41)+ | 1.03 (1.47) |
| LIR-CMOP2 | 1.30 (8.10)+ | 5.90 (1.07)+ | 1.94 (1.38)+ | 7.35 (1.57)+ | 2.09 (1.50)+ | 1.33 (1.43)+ | 2.04 (1.22)+ | 4.56 (1.12) |
| LIR-CMOP3 | 2.17 (4.20)+ | 1.17 (8.00)- | 2.81 (6.62)+ | 1.98 (1.42)+ | 3.00 (6.21)+ | 2.25 (6.54)+ | 2.88 (9.60)+ | 1.26 (1.10) |
| LIR-CMOP4 | 1.62 (9.15)+ | 9.41 (1.04)+ | 2.16 (1.16)+ | 1.30 (2.13)+ | 2.19 (1.60)+ | 1.57 (7.62)+ | 2.19 (1.13)+ | 7.91 (1.16) |
| LIR-CMOP5 | 1.23 (0.00)+ | 7.08 (2.17)+ | 1.27 (0.00)+ | 1.25 (6.80)+ | 9.22 (5.20)+ | 1.23 (0.00)+ | 3.14 (8.36)+ | 2.99 (2.84) |
| LIR-CMOP6 | 1.35 (0.00)+ | 1.82 (1.03)+ | 1.35 (0.00)+ | 1.41 (2.63)+ | 8.52 (4.77)+ | 1.35 (0.00)+ | 3.30 (4.20)+ | 5.51 (6.12) |
| LIR-CMOP7 | 1.68 (0.00)+ | 1.18 (3.46)+ | 1.68 (0.00)+ | 2.03 (1.29)+ | 1.47 (9.59)+ | 2.23 (4.51)+ | 1.37 (4.32)+ | 8.44 (6.96) |
| LIR-CMOP8 | 1.68 (0.00)+ | 1.85 (3.56)+ | 1.68 (0.00)+ | 2.09 (1.24)+ | 2.36 (8.68)+ | 5.54 (8.78)+ | 2.41 (2.68)+ | 6.57 (2.24) |
| LIR-CMOP9 | 1.04 (3.82)+ | 3.16 (5.54)= | 1.07 (3.01)+ | 3.56 (1.98)+ | 7.38 (4.87)+ | 5.47 (2.39)+ | 7.52 (3.43)+ | 2.44 (2.26) |
| LIR-CMOP10 | 1.03 (2.56)+ | 3.17 (6.36)+ | 9.90 (1.91)+ | 2.02 (2.34)+ | 7.04 (7.17)+ | 9.56 (4.30)+ | 5.20 (2.81)+ | 1.62 (1.18) |
| LIR-CMOP11 | 9.85 (1.37)+ | 1.23 (2.62)= | 9.15 (1.51)+ | 2.11 (4.93)+ | 5.76 (5.58)+ | 7.51 (1.87)+ | 4.02 (3.20)+ | 1.20 (5.49) |
| LIR-CMOP12 | 9.57 (1.47)+ | 1.81 (1.57)+ | 9.66 (1.37)+ | 2.94 (5.78)+ | 4.45 (5.11)+ | 3.70 (7.55)+ | 4.74 (3.17)+ | 1.48 (1.80) |
| LIR-CMOP13 | 1.32 (1.02)+ | 5.55 (2.65)- | 1.31 (8.26)+ | 8.74 (2.81)+ | 4.86 (2.32)- | 1.32 (1.28)+ | 4.49 (1.13)- | 6.03 (1.57) |
| LIR-CMOP14 | 1.28 (3.20)+ | 5.26 (2.11)+ | 1.26 (7.63)+ | 6.30 (3.32)+ | 4.57 (1.37)- | 1.27 (3.16)+ | 4.59 (1.54)- | 4.74 (1.48) |
| +/-/= | 14/0/0 | 9/2/3 | 14/0/0 | 14/0/0 | 12/2/0 | 14/0/0 | 12/2/0 | |
| MW1 | NaN (0.00%)+ | NaN (100.00%)+ | NaN (0.00%)+ | NaN (0.00%)+ | NaN (0.00%)+ | NaN (0.00%)+ | NaN (0.00%)+ | 2.02 (1.82) |
| MW2 | 4.24 (1.82)- | 9.95 (5.48)+ | 1.31 (6.04)+ | NaN (76.67%)+ | 1.09 (4.36)+ | 1.06 (4.45)+ | 7.39 (3.91)+ | 5.70 (1.15) |
| MW3 | 7.57 (1.28)+ | 7.86 (7.51)+ | 7.50 (0.00)+ | 4.84 (3.54)= | 1.12 (1.85)+ | 1.24 (1.27)+ | 5.95 (1.44)+ | 4.79 (2.73) |
| MW4 | NaN (0.00%)+ | 6.38 (1.35)+ | NaN (0.00%)+ | NaN (90.00%)+ | NaN (0.00%)+ | NaN (0.00%)+ | NaN (0.00%)+ | 4.05 (6.12) |
| MW5 | NaN (0.00%)+ | 5.88 (8.81)+ | NaN (0.00%)+ | NaN (36.67%)+ | NaN (0.00%)+ | NaN (0.00%)+ | NaN (0.00%)+ | 3.25 (4.37) |
| MW6 | 4.74 (1.82)- | 1.49 (5.45)- | 5.52 (3.98)+ | NaN (86.67%)+ | 4.89 (2.96)+ | 5.52 (4.09)+ | 2.02 (6.96)= | 1.65 (2.99) |
| MW7 | 5.63 (1.40)+ | 5.06 (8.37)+ | 3.06 (7.63)+ | 2.51 (3.21)- | 9.15 (1.74)+ | 9.38 (1.67)+ | 3.23 (8.87)- | 3.82 (8.63) |
| MW8 | 5.44 (3.50)- | 6.15 (2.88)- | NaN (93.33%)+ | NaN (0.00%)+ | NaN (93.33%)+ | NaN (96.67%)+ | 8.97 (5.92)= | 7.58 (1.94) |
| MW9 | NaN (0.00%)+ | 6.75 (0.00)+ | NaN (0.00%)+ | NaN (90.00%)+ | NaN (0.00%)+ | NaN (0.00%)+ | NaN (0.00%)+ | 3.30 (1.39) |
| MW10 | 1.69 (4.62)- | 2.06 (6.37)= | NaN (0.00%)+ | NaN (0.00%)+ | NaN (20.43%)+ | NaN (40.00%)+ | NaN (86.67%)+ | 2.00 (2.52) |
| MW11 | 1.11 (7.12)+ | 3.29 (2.64)+ | 5.36 (2.02)+ | NaN (0.00%)+ | 1.97 (7.93)+ | 2.45 (8.51)+ | 2.89 (2.91)+ | 2.78 (2.83) |
| MW12 | NaN (73.50%)+ | 7.48 (0.00)+ | NaN (0.00%)+ | NaN (96.67%)+ | NaN (0.00%)+ | NaN (0.00%)+ | NaN (0.00%)+ | 2.92 (2.20) |
| MW13 | 9.31 (1.80)- | 1.29 (4.03)- | 9.96 (5.03)+ | 7.24 (4.83)+ | 2.90 (5.14)+ | 3.98 (9.21)+ | 1.42 (4.80)- | 1.47 (1.19) |
| MW14 | 2.94 (2.50)+ | 5.87 (1.53)+ | 1.49 (2.05)+ | 5.65 (9.26)+ | 2.36 (2.99)+ | 1.71 (2.62)+ | 1.99 (4.14)+ | 1.24 (7.47) |
| +/-/= | 9/5/0 | 10/3/1 | 14/0/0 | 12/1/1 | 14/0/0 | 14/0/0 | 10/2/2 | |
| RWMOP1 | 9.81 (1.03)+ | 7.24 (1.09)+ | 1.24 (3.96)+ | NaN (0.00%)+ | 1.18 (8.90)+ | 9.37 (1.16)+ | 1.15 (1.02)+ | 4.51 (6.50) |
| RWMOP2 | 2.05 (1.59)+ | 1.61 (8.92)+ | 1.61 (1.92e-13)- | 1.61 (7.06e-18)+ | 1.61 (7.06e-18)+ | 2.26 (3.60)+ | 1.61 (7.06 × 10−18)+ | 1.61 (1.17 × 10−8) |
| RWMOP3 | NaN (0.00%)+ | 1.49 (2.24)+ | NaN (0.00%)+ | NaN (0.00%)+ | NaN (0.00%)+ | NaN (0.00%)+ | NaN (0.00%)+ | 1.28 (2.60) |
| RWMOP4 | NaN (96.67%)+ | 3.29 (4.87)- | NaN (66.67%)+ | NaN (0.00%)+ | 2.75 (4.96)- | NaN (96.67%)+ | NaN (36.67%)+ | 3.32 (4.83) |
| RWMOP5 | 7.44 (2.22)+ | 7.44 (1.32)+ | 7.44 (5.24)+ | 7.44 (6.76)+ | 7.44 (1.38)+ | 7.44 (9.99)+ | 7.44 (1.50)+ | 7.44 (3.83) |
| RWMOP6 | NaN (0.00%)+ | 3.42 (5.44)+ | NaN (0.00%)+ | NaN (0.00%)+ | NaN (90.00%)+ | 3.10 (1.99)+ | NaN (0.00%)+ | 7.30 (3.34) |
| RWMOP7 | NaN (0.00%)+ | 1.82 (6.71)+ | NaN (0.00%)+ | NaN (0.00%)+ | NaN (0.00%)+ | NaN (0.00%)+ | NaN (0.00%)+ | 1.07 (5.09) |
| RWMOP8 | NaN (0.00%)+ | 4.12 (1.62)+ | NaN (0.00%)+ | NaN (10.00%)+ | NaN (0.00%)+ | NaN (0.00%)+ | NaN (0.00%)+ | 6.28 (2.48) |
| RWMOP9 | NaN (0.00%)+ | 9.56 (6.22)+ | NaN (0.00%)+ | NaN (0.00%)+ | NaN (0.00%)+ | NaN (0.00%)+ | NaN (0.00%)+ | 1.12 (2.55) |
| RWMOP10 | NaN (0.00%)+ | 3.78 (1.79)+ | NaN (0.00%)+ | NaN (0.00%)+ | NaN (0.00%)+ | NaN (0.00%)+ | NaN (0.00%)+ | 8.15 (4.81) |
| RWMOP11 | NaN (0.00%)+ | 3.00 (1.14)+ | NaN (0.00%)+ | NaN (0.00%)+ | NaN (0.00%)+ | NaN (0.00%)+ | NaN (0.00%)+ | 1.17 (6.47) |
| RWMOP12 | NaN (0.00%)+ | 3.36 (1.43)+ | NaN (0.00%)+ | NaN (0.00%)+ | NaN (0.00%)+ | NaN (0.00%)+ | NaN (0.00%)+ | 4.02 (1.04) |
| +/-/= | 12/0/0 | 11/1/0 | 11/1/0 | 12/0/0 | 11/1/0 | 12/0/0 | 12/0/0 |
| BiCo | DPPPS | AGEMOEAII | DSPCMDE | CMOEA-MS | TSTI | CTSEA | PSCMO | |
|---|---|---|---|---|---|---|---|---|
| CF1 | 5.17 (2.43)+ | 5.59 (2.71)- | 5.11 (3.21)+ | 5.58 (8.20)- | 4.44 (1.19)+ | 5.03 (2.58)+ | 5.38 (3.11)+ | 5.57 (6.19) |
| CF2 | 4.98 (3.60)+ | 6.01 (2.01)+ | 4.99 (2.92)+ | 5.94 (3.91)+ | 4.59 (6.37)+ | 4.87 (3.28)+ | 5.07 (2.69)+ | 6.35 (8.68) |
| CF3 | 1.47 (4.16)+ | 1.97 (2.97)+ | 1.08 (3.39)+ | 8.42 (1.55)+ | 1.19 (4.23)+ | 1.02 (3.10)+ | 1.40 (4.45)+ | 2.72 (1.76) |
| CF4 | 2.31 (6.18)+ | 2.98 (2.48)+ | 1.81 (4.85)+ | 9.49 (3.61)+ | 1.49 (3.96)+ | 1.73 (5.14)+ | 2.17 (7.07)+ | 4.19 (7.86) |
| CF5 | 1.20 (2.38)+ | 2.29 (4.46)+ | 1.22 (1.75)+ | 0.00 (0.00)+ | 1.18 (1.93)+ | 1.09 (2.62)+ | 1.17 (1.71)+ | 2.68 (1.74) |
| CF6 | 3.59 (2.03)+ | 5.04 (3.17)+ | 3.59 (4.84)+ | 4.42 (1.49)+ | 3.65 (3.01)+ | 3.75 (1.57)+ | 3.84 (2.46)+ | 6.02 (4.12) |
| CF7 | 1.96 (8.91)+ | 3.01 (8.17)+ | 2.04 (8.78)+ | 0.00 (0.00)+ | 1.90 (7.43)+ | 1.96 (7.66)+ | 1.52 (6.63)+ | 4.07 (2.58) |
| CF8 | NaN (0.00%)+ | 1.70 (2.64)+ | NaN (0.00%)+ | NaN (96.67%)+ | NaN (0.00%)+ | NaN (0.00%)+ | NaN (96.67%)+ | 2.53 (1.74) |
| CF9 | 9.13 (1.99)+ | 2.65 (1.21)+ | 8.53 (2.14)+ | 1.77 (1.87)+ | 2.83 (3.90)+ | 9.09 (3.18)+ | 2.69 (9.85)+ | 4.01 (1.14) |
| CF10 | NaN (0.00%)+ | 4.34 (4.17)+ | NaN (0.00%)+ | NaN (3.33%)+ | NaN (48.03%)+ | NaN (0.00%)+ | NaN (96.67%)+ | 1.05 (4.80) |
| +/-/= | 10/0/0 | 9/1/0 | 10/0/0 | 9/1/0 | 10/0/0 | 10/0/0 | 10/0/0 | |
| DAS-CMOP1 | 3.98 (5.63)+ | 3.30 (2.76)+ | 0.00 (0.00)+ | 2.10 (1.02)= | 0.00 (0.00)+ | 7.58 (3.40)+ | 6.30 (8.42)+ | 2.10 (9.73) |
| DAS-CMOP2 | 2.51 (3.72)+ | 2.82 (7.21)+ | 2.46 (3.62)+ | 3.54 (1.54)+ | 2.53 (3.69)+ | 2.57 (3.14)+ | 2.60 (1.31)+ | 3.55 (6.23) |
| DAS-CMOP3 | 2.08 (1.91)+ | 2.08 (7.48)+ | 1.83 (6.46)+ | 3.10 (7.02)+ | 2.08 (1.01)+ | 2.09 (1.92)+ | 2.07 (6.80)+ | 3.11 (4.36) |
| DAS-CMOP4 | 5.93 (1.12)+ | 1.95 (4.75)+ | 6.92 (6.43)+ | NaN (0.00%)+ | 1.12 (3.85)+ | 8.13 (1.46)+ | 1.96 (2.03)+ | 2.02 (6.54) |
| DAS-CMOP5 | 9.98 (4.54)+ | 3.48 (2.19)+ | NaN (0.00%)+ | NaN (0.00%)+ | 9.89 (1.95)+ | 1.72 (7.49)+ | 3.51 (3.19)- | 3.50 (3.35) |
| DAS-CMOP6 | NaN (90.03%)+ | 2.93 (1.17)+ | NaN (0.00%)+ | NaN (0.00%)+ | 3.54 (1.23)+ | 3.21 (1.14)+ | 2.88 (1.71)+ | 3.11 (6.05) |
| DAS-CMOP7 | 2.84 (5.02)+ | 2.84 (6.92)+ | 2.88 (2.16)- | NaN (0.00%)+ | 2.82 (2.12)- | 2.88 (2.60)- | 2.87 (4.83)- | 2.87 (6.31) |
| DAS-CMOP8 | 2.06 (1.74)+ | 2.04 (9.26)+ | 2.05 (3.40)+ | NaN (0.00%)+ | 2.04 (1.26)- | 2.07 (2.71)- | 2.07 (5.87)- | 2.06 (4.39) |
| DAS-CMOP9 | 1.13 (4.48)+ | 1.39 (6.21)+ | 9.86 (8.61)+ | 2.01 (9.37)+ | 1.06 (9.79)+ | 1.15 (1.16)+ | 1.13 (7.08)+ | 2.06 (5.73) |
| +/-/= | 9/0/0 | 9/0/0 | 8/1/0 | 8/0/1 | 7/2/0 | 7/2/0 | 6/3/0 | |
| LIR-CMOP1 | 1.29 (3.34)+ | 1.77 (1.24)= | 1.02 (7.45)+ | 1.63 (2.65)+ | 9.28 (1.50)+ | 1.30 (1.09)+ | 9.36 (1.41)+ | 1.79 (1.47) |
| LIR-CMOP2 | 2.49 (8.10)+ | 3.02 (1.07)+ | 2.11 (1.38)+ | 3.11 (1.57)+ | 2.04 (1.50)+ | 2.54 (1.43)+ | 2.06 (1.22)+ | 3.21 (1.12) |
| LIR-CMOP3 | 1.11 (4.20)+ | 1.52 (8.00)- | 9.27 (6.62)+ | 1.41 (1.42)= | 9.60 (6.21)+ | 1.10 (6.54)+ | 9.24 (9.60)+ | 1.46 (1.10) |
| LIR-CMOP4 | 2.06 (9.15)+ | 2.47 (1.04)+ | 1.76 (1.16)+ | 2.40 (2.13)+ | 1.77 (1.60)+ | 2.10 (7.62)+ | 1.74 (1.13)+ | 2.62 (1.16) |
| LIR-CMOP5 | 0.00 (0.00)+ | 2.36 (2.17)+ | 0.00 (0.00)+ | 2.50 (6.80)+ | 3.60 (5.20)+ | 0.00 (0.00)+ | 1.19 (8.36)+ | 2.78 (2.84) |
| LIR-CMOP6 | 0.00 (0.00)+ | 1.48 (1.03)+ | 0.00 (0.00)+ | 1.34 (2.63)+ | 4.69 (4.77)+ | 0.00 (0.00)+ | 9.84 (4.20)+ | 1.69 (6.12) |
| LIR-CMOP7 | 0.00 (0.00)+ | 2.41 (3.46)+ | 0.00 (0.00)+ | 2.87 (1.29)= | 2.32 (9.59)+ | 2.16 (4.51)+ | 2.34 (4.32)+ | 2.92 (6.96) |
| LIR-CMOP8 | 0.00 (0.00)+ | 2.30 (3.56)+ | 0.00 (0.00)+ | 2.89 (1.24)+ | 2.18 (8.68)+ | 1.72 (8.78)+ | 2.21 (2.68)+ | 2.94 (2.24) |
| LIR-CMOP9 | 9.67 (3.82)+ | 3.81 (5.54)= | 8.46 (3.01)+ | 3.12 (1.98)+ | 2.01 (4.87)+ | 2.37 (2.39)+ | 2.33 (3.43)+ | 4.00 (2.26) |
| LIR-CMOP10 | 5.27 (2.56)+ | 4.87 (6.36)+ | 5.95 (1.91)+ | 5.79 (2.34)+ | 1.67 (7.17)+ | 5.43 (4.30)+ | 2.55 (2.81)+ | 6.09 (1.18) |
| LIR-CMOP11 | 1.60 (1.37)+ | 6.01 (2.62)= | 1.63 (1.51)+ | 5.33 (4.93)+ | 2.90 (5.58)+ | 2.27 (1.87)+ | 3.80 (3.20)+ | 5.99 (5.49) |
| LIR-CMOP12 | 1.82 (1.47)+ | 5.09 (1.57)+ | 1.86 (1.37)+ | 4.23 (5.78)+ | 3.97 (5.11)+ | 3.81 (7.55)+ | 4.23 (3.17)+ | 5.30 (1.80) |
| LIR-CMOP13 | 7.87 (1.02)+ | 5.43 (2.65)- | 4.16 (8.26)+ | 5.03 (2.81)+ | 5.51 (2.32)- | 9.26 (1.28)+ | 5.55 (1.13)- | 5.39 (1.57) |
| LIR-CMOP14 | 4.93 (3.20)+ | 5.48 (2.11)+ | 1.01 (7.63)+ | 5.30 (3.32)+ | 5.55 (1.37)- | 5.53 (3.16)+ | 5.55 (1.54)- | 5.53 (1.48) |
| +/-/= | 14/0/0 | 9/2/3 | 14/0/0 | 12/0/2 | 12/2/0 | 14/0/0 | 12/2/0 | |
| MW1 | NaN (0.00%)+ | 3.55 (1.95)+ | NaN (0.00%)+ | NaN (0.00%)+ | NaN (0.00%)+ | NaN (0.00%)+ | NaN (0.00%)+ | 4.88 (1.82) |
| MW2 | 5.21 (1.82)- | 4.47 (5.48)+ | 4.09 (6.04)+ | NaN (76.67%)+ | 4.34 (4.36)+ | 4.38 (4.45)+ | 4.79 (3.91)+ | 5.01 (1.15) |
| MW3 | 5.37 (1.28)+ | 5.37 (7.51)+ | 0.00 (0.00)+ | 5.41 (3.54)= | 4.60 (1.85)+ | 4.32 (1.27)+ | 5.40 (1.44)+ | 5.41 (2.73) |
| MW4 | NaN (0.00%)+ | 7.99 (1.35)+ | NaN (0.00%)+ | NaN (90.00%)+ | NaN (0.00%)+ | NaN (0.00%)+ | NaN (0.00%)+ | 8.29 (6.12) |
| MW5 | NaN (0.00%)+ | 2.74 (8.81)+ | NaN (0.00%)+ | NaN (36.67%)+ | NaN (0.00%)+ | NaN (0.00%)+ | NaN (0.00%)+ | 3.22 (4.37) |
| MW6 | 2.69 (1.82)- | 2.24 (5.45)- | 7.75 (3.98)+ | NaN (86.67%)+ | 1.11 (2.96)+ | 8.34 (4.09)+ | 2.00 (6.96)= | 2.10 (2.99) |
| MW7 | 4.05 (1.40)+ | 4.07 (8.37)+ | 2.44 (7.63)+ | 4.12 (3.21)- | 4.01 (1.74)+ | 4.01 (1.67)+ | 4.10 (8.87)- | 4.08 (8.63) |
| MW8 | 4.90 (3.50)- | 4.76 (2.88)- | NaN (93.33%)+ | NaN (0.00%)+ | NaN (93.33%)+ | NaN (96.67%)+ | 4.28 (5.92)= | 4.52 (1.94) |
| MW9 | NaN (0.00%)+ | 0.00 (0.00)+ | NaN (0.00%)+ | NaN (90.00%)+ | NaN (0.00%)+ | NaN (0.00%)+ | NaN (0.00%)+ | 3.96 (1.39) |
| MW10 | 3.28 (4.62)- | 3.06 (6.37)= | NaN (0.00%)+ | NaN (0.00%)+ | NaN (20.43%)+ | NaN (40.00%)+ | NaN (86.67%)+ | 3.08 (2.52) |
| MW11 | 4.11 (7.12)+ | 4.47 (2.64)= | 2.73 (2.02)+ | NaN (0.00%)+ | 3.70 (7.93)+ | 3.67 (8.51)+ | 4.47 (2.91)= | 4.47 (2.83) |
| MW12 | NaN (73.50%)+ | 0.00 (0.00)+ | NaN (0.00%)+ | NaN (96.67%)+ | NaN (0.00%)+ | NaN (0.00%)+ | NaN (0.00%)+ | 6.05 (2.20) |
| MW13 | 4.13 (1.80)- | 3.91 (4.03)- | 2.12 (5.03)+ | 1.53 (4.83)+ | 2.99 (5.14)+ | 2.57 (9.21)+ | 3.83 (4.80)- | 3.82 (1.19) |
| MW14 | 3.48 (2.50)+ | 2.21 (1.53)+ | 4.30 (2.05)+ | 2.36 (9.26)+ | 3.72 (2.99)+ | 4.18 (2.62)+ | 4.02 (4.14)+ | 4.44 (7.47) |
| +/-/= | 9/5/0 | 9/3/2 | 14/0/0 | 12/1/1 | 14/0/0 | 14/0/0 | 9/2/3 | |
| RWMOP1 | 3.59 (6.50)+ | 3.45 (1.24)+ | 3.25 (8.87)+ | NaN (0.00%)+ | 3.21 (1.87)+ | 3.49 (8.69)+ | 3.29 (7.88)+ | 3.73 (2.88) |
| RWMOP2 | 3.18 (1.80)= | 3.18 (2.44)+ | 3.18 (3.82)- | 3.18 (7.82)+ | 3.18 (8.60)+ | 3.18 (3.24)+ | 3.18 (1.18)+ | 3.18 (8.93) |
| RWMOP3 | NaN (0.00%)+ | 6.36 (2.13)= | NaN (0.00%)+ | NaN (0.00%)+ | NaN (0.00%)+ | NaN (0.00%)+ | NaN (0.00%)+ | 7.03 (9.69) |
| RWMOP4 | NaN (96.67%)+ | 9.02 (6.87)+ | NaN (66.67%)+ | NaN (0.00%)+ | 7.15 (1.14)+ | NaN (96.67%)+ | NaN (36.67%)+ | 9.02 (1.61) |
| RWMOP5 | 2.42 (7.71)= | 2.42 (7.41)+ | 2.41 (4.57)+ | 2.41 (7.42)+ | 2.32 (1.03)+ | 2.32 (7.83)+ | 2.42 (6.98)= | 2.42 (1.00) |
| RWMOP6 | NaN (0.00%)+ | 2.29 (1.66)+ | NaN (0.00%)+ | NaN (0.00%)+ | NaN (90.00%)+ | 3.85 (1.67)- | NaN (0.00%)+ | 3.08 (9.77) |
| RWMOP7 | NaN (0.00%)+ | 5.14 (2.72)= | NaN (0.00%)+ | NaN (0.00%)+ | NaN (0.00%)+ | NaN (0.00%)+ | NaN (0.00%)+ | 5.95 (1.73) |
| RWMOP8 | NaN (0.00%)+ | 9.09 (2.26)+ | NaN (0.00%)+ | NaN (10.00%)+ | NaN (0.00%)+ | NaN (0.00%)+ | NaN (0.00%)+ | 2.54 (1.73) |
| RWMOP9 | NaN (0.00%)+ | 4.81 (1.84)+ | NaN (0.00%)+ | NaN (0.00%)+ | NaN (0.00%)+ | NaN (0.00%)+ | NaN (0.00%)+ | 4.34 (2.63) |
| RWMOP10 | NaN (0.00%)+ | 0.00 (0.00)= | NaN (0.00%)+ | NaN (0.00%)+ | NaN (0.00%)+ | NaN (0.00%)+ | NaN (0.00%)+ | 1.89 (1.03) |
| RWMOP11 | NaN (0.00%)+ | 0.00 (0.00)+ | NaN (0.00%)+ | NaN (0.00%)+ | NaN (0.00%)+ | NaN (0.00%)+ | NaN (0.00%)+ | 1.36 (7.43) |
| RWMOP12 | NaN (0.00%)+ | 2.85 (1.45)+ | NaN (0.00%)+ | NaN (0.00%)+ | NaN (0.00%)+ | NaN (0.00%)+ | NaN (0.00%)+ | 4.33 (1.36) |
| +/-/= | 10/0/2 | 9/0/3 | 11/1/0 | 12/0/0 | 12/0/0 | 11/1/0 | 11/0/1 |
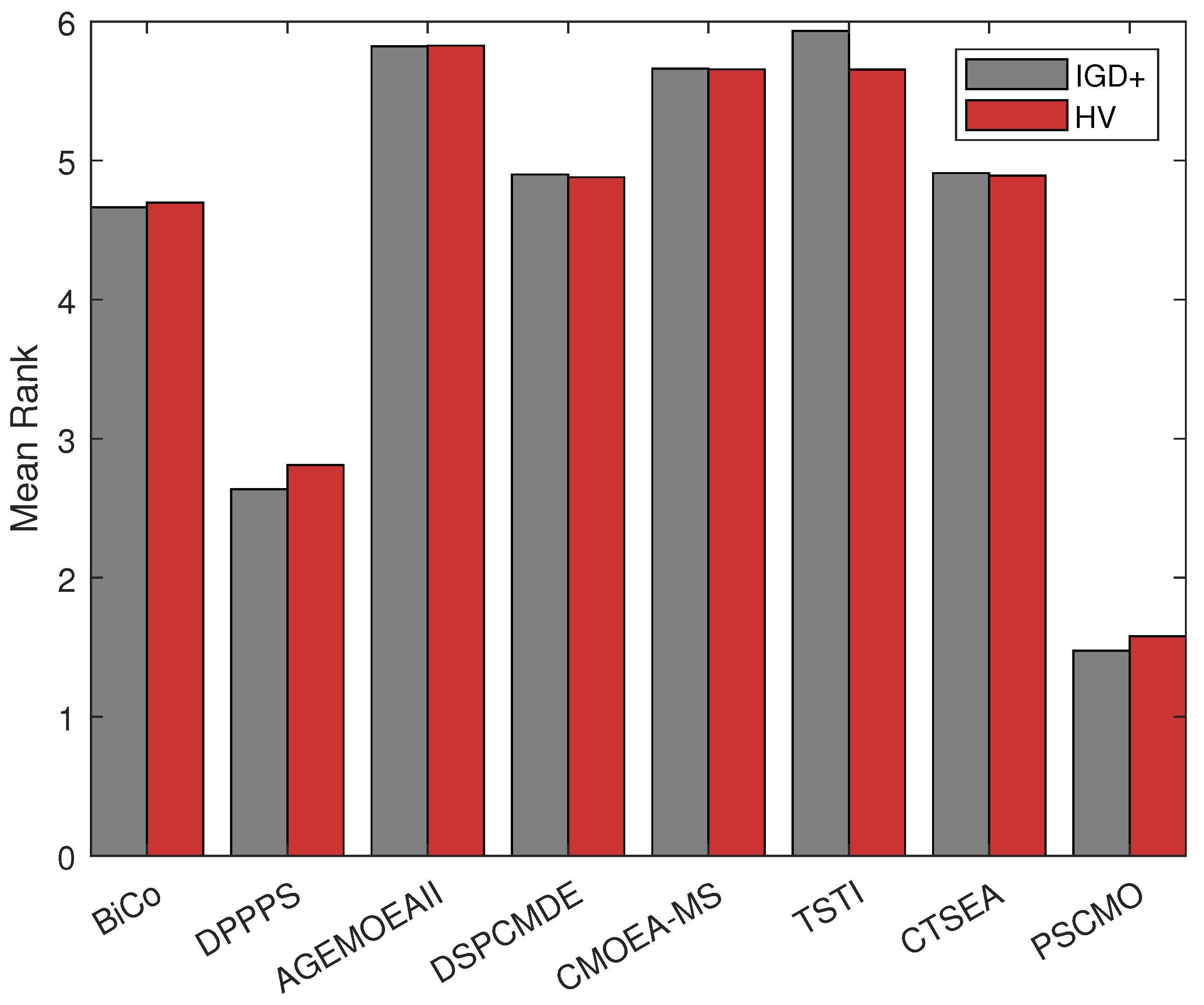
| PSCMO VS | P | Level = 0.05 | ||
|---|---|---|---|---|
| BiCo | 1066 | 419 | 0.002709 | YES |
| DPPPS | 1309 | 231 | 0.000003 | YES |
| AGEMOEAII | 1105 | 380 | 0.000914 | YES |
| DSPCMDE | 1016 | 469 | 0.009372 | YES |
| CMOEA-MS | 1137 | 348 | 0.000346 | YES |
| TSTI | 1143 | 342 | 0.000286 | YES |
| CTSEA | 1050 | 435 | 0.004105 | YES |
| PSCMO VS | P | Level = 0.05 | ||
|---|---|---|---|---|
| BiCo | 1584 | 69 | 0.00000 | YES |
| DPPPS | 1477 | 176 | 0.00000 | YES |
| AGEMOEAII | 1648 | 5 | 0.00000 | YES |
| DSPCMDE | 1566 | 87 | 0.00000 | YES |
| CMOEA-MS | 1627 | 26 | 0.00000 | YES |
| TSTI | 1642 | 11 | 0.00000 | YES |
| CTSEA | 1546 | 107 | 0.00000 | YES |
| Algorithm Name | Describe |
|---|---|
| PSCMO-A | Compared with PSCMO, the population state of this algorithm is all in the first state. |
| PSCMO-B | Compared with PSCMO, the population state of this algorithm is entirely in the second state. |
| PSCMO-C | Compared with PSCMO, the population state of this algorithm is all in the third state. |
| PSCMO-D | Compared to PSCMO, the optimal individuals for this algorithm are selected by the CDP model. |
| PSCMO-E | Compared with PSCMO, the population size of this algorithm is fixed at NP. |
| PSCMO VS | IGD+ | P | HV | P |
|---|---|---|---|---|
| PSCMO-A | 42/0/5 | 0.000031 | 39/0/8 | 0.000000 |
| PSCMO-B | 41/1/5 | 0.000129 | 40/1/6 | 0.000016 |
| PSCMO-C | 37/1/9 | 0.000052 | 37/0/10 | 0.000000 |
| PSCMO-D | 42/1/4 | 0.000003 | 42/0/5 | 0.000000 |
| PSCMO-E | 39/0/8 | 0.000048 | 39/0/8 | 0.000000 |
Disclaimer/Publisher’s Note: The statements, opinions and data contained in all publications are solely those of the individual author(s) and contributor(s) and not of MDPI and/or the editor(s). MDPI and/or the editor(s) disclaim responsibility for any injury to people or property resulting from any ideas, methods, instructions or products referred to in the content. |
© 2025 by the authors. Licensee MDPI, Basel, Switzerland. This article is an open access article distributed under the terms and conditions of the Creative Commons Attribution (CC BY) license (https://creativecommons.org/licenses/by/4.0/).
Share and Cite
Zhao, S.; Jia, H.; Li, Y.; Shi, Q. A Constrained Multi-Objective Optimization Algorithm with a Population State Discrimination Model. Mathematics 2025, 13, 688. https://doi.org/10.3390/math13050688
Zhao S, Jia H, Li Y, Shi Q. A Constrained Multi-Objective Optimization Algorithm with a Population State Discrimination Model. Mathematics. 2025; 13(5):688. https://doi.org/10.3390/math13050688
Chicago/Turabian StyleZhao, Shaoyu, Heming Jia, Yongchao Li, and Qian Shi. 2025. "A Constrained Multi-Objective Optimization Algorithm with a Population State Discrimination Model" Mathematics 13, no. 5: 688. https://doi.org/10.3390/math13050688
APA StyleZhao, S., Jia, H., Li, Y., & Shi, Q. (2025). A Constrained Multi-Objective Optimization Algorithm with a Population State Discrimination Model. Mathematics, 13(5), 688. https://doi.org/10.3390/math13050688

