Laguerre-Based Frequency-Limited Balanced Truncation of Discrete-Time Systems
Abstract
1. Introduction
2. Moore’s Balanced Truncation of Discrete-Time Systems
3. Laguerre-Based Frequency-Limited MOR of Discrete-Time Systems
3.1. Laguerre-Based Low-Rank Decompositions of Frequency-Limited Gramians and
3.2. Frequency-Limited Balanced Truncation of Discrete-Time Systems
| Algorithm 1 Frequency-limited low-rank square root method for discrete-time systems (FL-LRSRM) |
|
3.3. Stability Preservation and Modified Frequency-Limited Balanced Truncation
| Algorithm 2 Modified Laguerre-based frequency-limited MOR for linear discrete systems (Modified FL-LRSRM) |
|
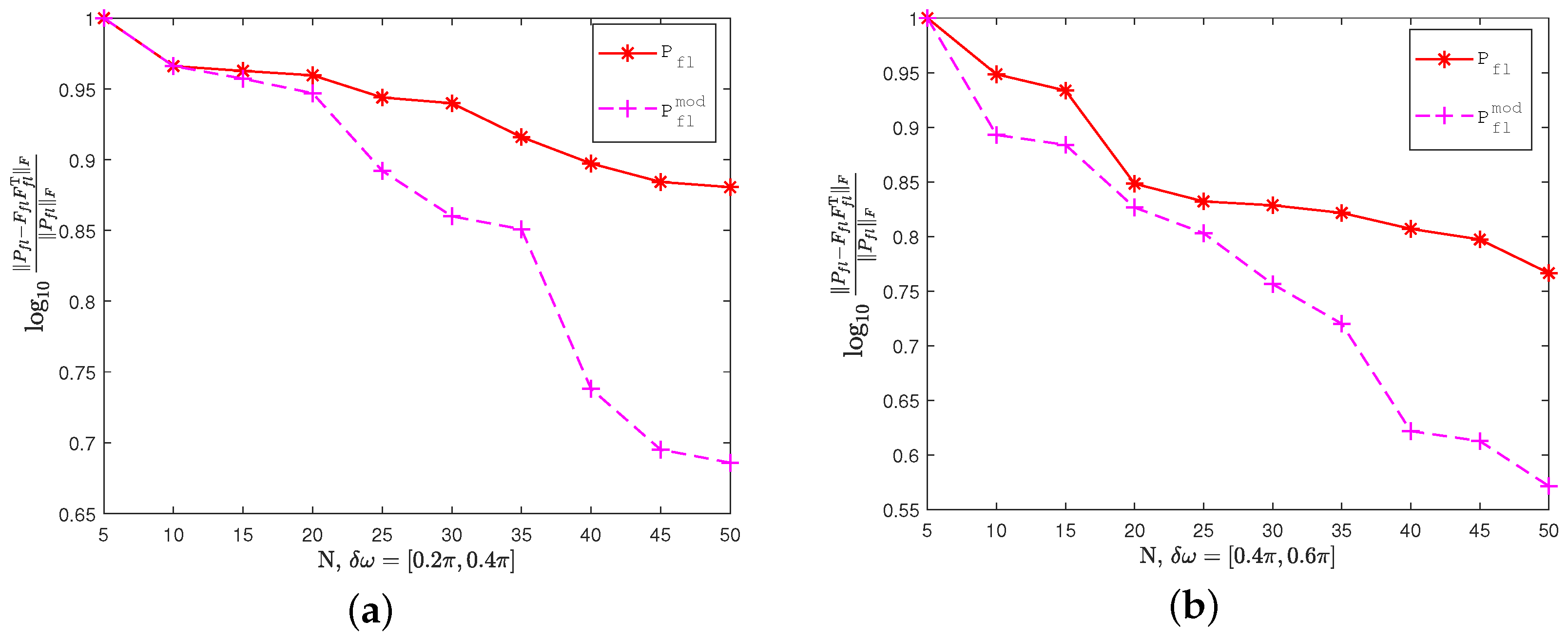
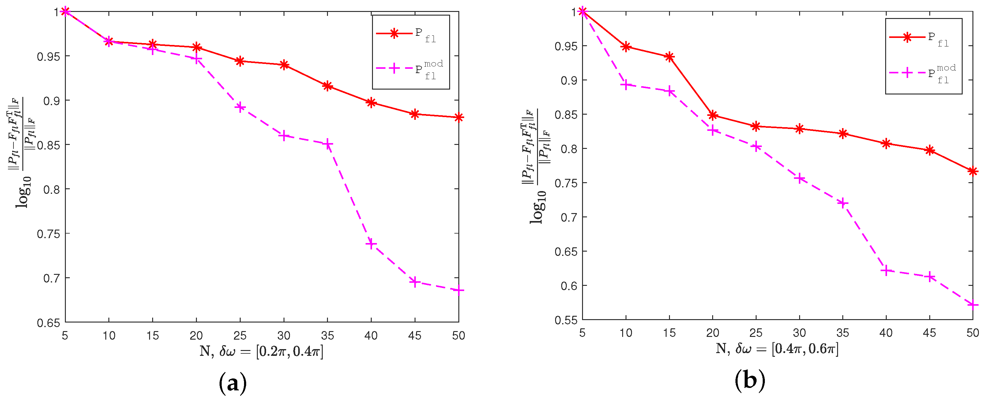
4. Numerical Experiments
5. Conclusions
Author Contributions
Funding
Data Availability Statement
Conflicts of Interest
References
- Antoulas, A.C. Approximation of Large-Scale Dynamical Systems; SIAM: Philadelphia, PA, USA, 2005. [Google Scholar]
- Jiang, Y.L. Model Order Reduction Methods; Science Press: Beijing, China, 2010. [Google Scholar]
- Moore, B. Principal component analysis in linear systems: Controllability, observability, and model reduction. IEEE Trans. Autom. Control 1981, 26, 17–32. [Google Scholar] [CrossRef]
- Gugercin, S.; Antoulas, A.C. A survey of model reduction by balanced truncation and some new results. Int. J. Control 2004, 77, 748–766. [Google Scholar] [CrossRef]
- Zulfiqar, U.; Du, X.; Song, Q.Y.; Sreeram, V. On frequency-and time-limited μH2-optimal model order reduction. Automatica 2023, 153, 111012. [Google Scholar] [CrossRef]
- Song, Q.Y.; Zulfiqar, U.; Du, X. Finite-frequency model order reduction of linear and bilinear systems via low-rank approximation. J. Comput. Appl. Math. 2025, 457, 116287. [Google Scholar] [CrossRef]
- Gawronski, W.; Juang, J.N. Model reduction in limited time and frequency intervals. Int. J. Syst. Sci. 1990, 21, 349–376. [Google Scholar] [CrossRef]
- Wang, D.; Zilouchian, A. Model reduction of discrete linear systems via frequency-domain balanced structure. IEEE Trans. Circuits Syst. Fundam. Theory Appl. 2000, 47, 830–837. [Google Scholar] [CrossRef]
- Ghafoor, A.; Sreeram, V. Model reduction via limited frequency interval Gramians. IEEE Trans. Circuits Syst. I Regul. Pap. 2008, 55, 2806–2812. [Google Scholar] [CrossRef]
- Imran, M.; Ghafoor, A. Stability preserving model reduction technique and error bounds using frequency-limited Gramians for discrete-time systems. IEEE Trans. Circuits Syst. II Express Briefs 2014, 61, 716–720. [Google Scholar] [CrossRef]
- Kumar, D.; Sreeram, V.; Du, X. Model reduction using parameterized limited frequency interval Gramians for 1-D and 2-D separable denominator discrete-time systems. IEEE Trans. Circuits Syst. I Regul. Pap. 2018, 65, 2571–2580. [Google Scholar] [CrossRef]
- Toor, H.I.; Imran, M.; Ghafoor, A.; Kumar, D.; Sreeram, V.; Rauf, A. Frequency limited model reduction techniques for discrete-time systems. IEEE Trans. Circuits Syst. II Express Briefs 2019, 67, 345–349. [Google Scholar] [CrossRef]
- Batool, S.; Imran, M. Stability preserving model reduction technique for weighted and limited interval discrete-time systems with error bound. IEEE Trans. Circuits Syst. II Express Briefs 2021, 68, 3281–3285. [Google Scholar] [CrossRef]
- Xiao, Z.H.; Fang, Y.X.; Jiang, Y.L. Laguerre-Based Low-Rank Balanced Truncation of Discrete-Time Systems. IEEE Trans. Circuits Syst. II Express Briefs 2023, 70, 3014–3018. [Google Scholar] [CrossRef]
- Fang, Y.X.; Xiao, Z.H.; Qi, Z.Z. Low-rank balanced truncation of discrete time-delay systems based on Laguerre expansions. J. Frankl. Inst. 2024, 361, 106752. [Google Scholar] [CrossRef]
- Xiao, Z.H.; Jiang, Y.L.; Qi, Z.Z. Dimension reduction based on time-limited cross Gramians for bilinear systems. J. Comput. Appl. Math. 2025, 457, 116302. [Google Scholar] [CrossRef]
- Pernebo, L.; Silverman, L. Model reduction via balanced state space representations. IEEE Trans. Autom. Control 1982, 27, 382–387. [Google Scholar] [CrossRef]
- Al-Saggaf, U.; Franklin, G. An error bound for a discrete reduced order model of a linear multivariable system. IEEE Trans. Autom. Control 1987, 32, 815–819. [Google Scholar] [CrossRef]
- Horta, L.G.; Juang, J.N.; Longman, R.W. Discrete-time model reduction in limited frequency ranges. J. Guid. Control Dyn. 1993, 16, 1125–1130. [Google Scholar] [CrossRef][Green Version]
- Szegö, G. Orthogonal Polynomials; American Mathematical Society: New York, NY, USA, 1939. [Google Scholar]
- Samuel, E.R.; Knockaert, L.; Dhaene, T. Model order reduction of time-delay systems using a Laguerre expansion technique. IEEE Trans. Circuits Syst. I Regul. Pap. 2014, 61, 1815–1823. [Google Scholar] [CrossRef]
- Benner, P.; Kurschner, P.; Saak, J. Frequency-limited balanced truncation with low-rank approximations. SIAM J. Sci. Comput. 2016, 38, A471–A499. [Google Scholar] [CrossRef]
- Imran, M.; Ghafoor, A. Frequency limited model reduction techniques with error bounds. IEEE Trans. Circuits Syst. II Express Briefs 2017, 65, 86–90. [Google Scholar] [CrossRef]
- Knockaert, L.; De Zutter, D. Stable Laguerre-SVD reduced-order modeling. IEEE Trans. Circuits Syst. I Fundam. Theory Appl. 2003, 50, 576–579. [Google Scholar] [CrossRef]
- Xiao, Z.H.; Song, Q.Y.; Jiang, Y.L.; Qi, Z.Z. Model order reduction of linear and bilinear systems via low-rank Gramian approximation. Appl. Math. Model. 2022, 106, 100–113. [Google Scholar] [CrossRef]
- Davis, T.A. Direct Methods for Sparse Linear Systems; SIAM: Philadelphia, PA, USA, 2006. [Google Scholar]
- Saad, Y. Iterative Methods for Sparse Linear Systems; SIAM: Philadelphia, PA, USA, 2003. [Google Scholar]
- Jiang, Y.L.; Wang, W.G. H2 optimal model order reduction of the discrete system on the product manifold. Appl. Math. Model. 2019, 69, 593–603. [Google Scholar] [CrossRef]




| N | r | |||
|---|---|---|---|---|
| 10 | 8 | |||
| 10 | 6 |
| Method | Time (Second) | Relative Error | Remark | |
|---|---|---|---|---|
| = [0.2π, 0.4π] | = [0.4π, 0.6π] | |||
| Algorithm 1 | 1.754 | 2.025 × 10−8 | 2.051 × 10−9 | Low-rank (frequency-limited) |
| Modified | 1.739 | 1.391 × 10−9 | 9.742 × 10−9 | Improved stability |
| Moore-BT | 14.727 | 2.804 × 10−6 | 6.362 × 10−5 | Standard |
| LRBT | 0.899 | 7.213 × 10−6 | 1.257 × 10−4 | Low-rank (infinite-frequency) |
Disclaimer/Publisher’s Note: The statements, opinions and data contained in all publications are solely those of the individual author(s) and contributor(s) and not of MDPI and/or the editor(s). MDPI and/or the editor(s) disclaim responsibility for any injury to people or property resulting from any ideas, methods, instructions or products referred to in the content. |
© 2025 by the authors. Licensee MDPI, Basel, Switzerland. This article is an open access article distributed under the terms and conditions of the Creative Commons Attribution (CC BY) license (https://creativecommons.org/licenses/by/4.0/).
Share and Cite
Song, Z.; Song, Q.-Y.; Zulfiqar, U. Laguerre-Based Frequency-Limited Balanced Truncation of Discrete-Time Systems. Mathematics 2025, 13, 448. https://doi.org/10.3390/math13030448
Song Z, Song Q-Y, Zulfiqar U. Laguerre-Based Frequency-Limited Balanced Truncation of Discrete-Time Systems. Mathematics. 2025; 13(3):448. https://doi.org/10.3390/math13030448
Chicago/Turabian StyleSong, Zhou, Qiu-Yan Song, and Umair Zulfiqar. 2025. "Laguerre-Based Frequency-Limited Balanced Truncation of Discrete-Time Systems" Mathematics 13, no. 3: 448. https://doi.org/10.3390/math13030448
APA StyleSong, Z., Song, Q.-Y., & Zulfiqar, U. (2025). Laguerre-Based Frequency-Limited Balanced Truncation of Discrete-Time Systems. Mathematics, 13(3), 448. https://doi.org/10.3390/math13030448

