Modeling Physical and Medical Lifetime Data Using the Inverse Power Entropy Chen Distribution
Abstract
1. Introduction
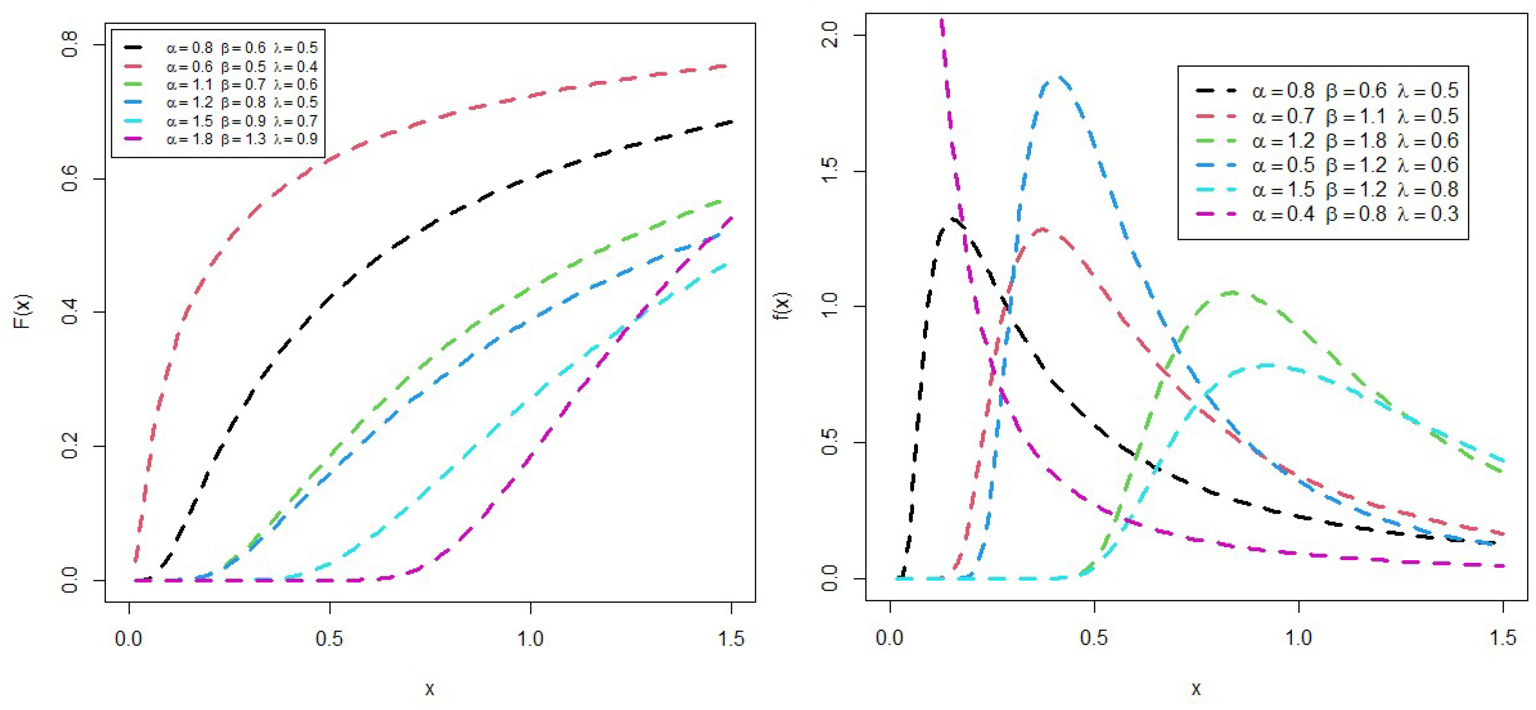
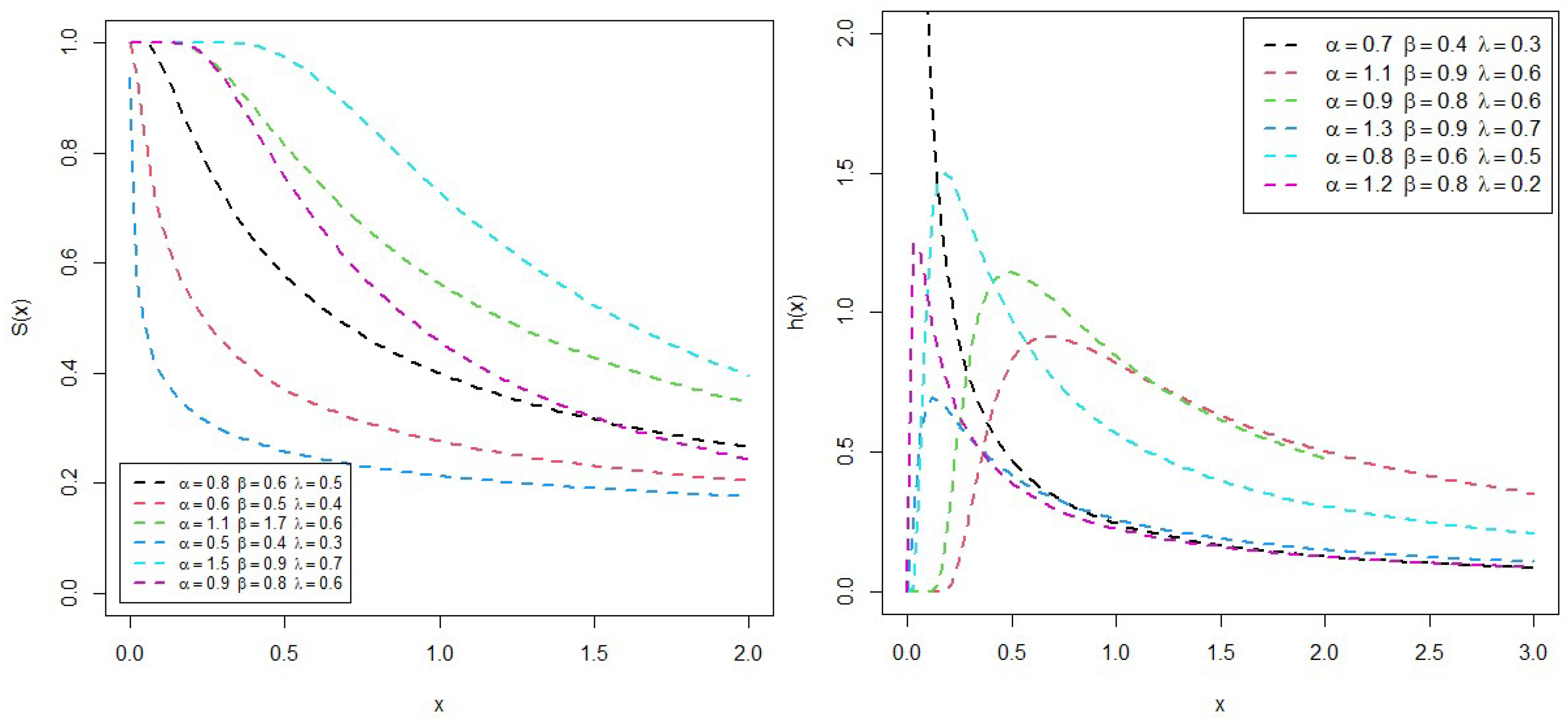
- The IPEC model provides a diverse array of density forms, encompassing right-skewed, reversed J-shaped, and unimodal. Furthermore, its danger rates display diverse patterns, including decreasing and increasing.
- The capacity of the IPEC model to provide an additional adaptable solution in demanding settings highlights the imperative of its adoption, especially in domains such as medical sciences, where exact risk modeling is essential.
- Both the PDF and CDF of the IPEC model possess closed forms. This property renders it especially appropriate for evaluating censored data, facilitating fast investigation and modeling in cases where data points are partly recorded or reduced.
- The IPEC demonstrates flexibility when compared to the entropy Chen (EC) distribution, Weibull (We) distribution, Gamma (Ga) distribution, inverse power logistic exponential (IPLE) distribution, and the inverse power Perk (IPP) distribution, and for the datasets under attention, the proposed distribution is the optimal selection according to the outcomes of the criteria evaluations (see Section 6).
- Closed-form expressions for the PDF and CDF of the IPEC distribution, enabling straightforward implementation in practical scenarios.
- Classical and Bayesian estimation procedures, including MCMC techniques and bootstrap methods for interval estimation.
- A comprehensive simulation study assessing the performance and robustness of different estimators under varying sample sizes.
- Applications to real-life datasets, where the IPEC distribution outperforms existing models such as EC, IPLE, and IPP, thus demonstrating superior empirical validity.
2. Construction of the IPEC Model
3. Fundamental Properties
3.1. Quantile Function
3.2. Moments
3.3. Moment-Generating Function
3.4. Probability Weighted Moment
3.5. Renyi Entropy
3.6. Tsallis Entropy
3.7. Havrada–Charavat’s Entropy
3.8. Order Statistics
4. Methods of Estimation
4.1. Maximum Likelihood Method
4.2. Cramer–Von–Mises Method
4.3. Anderson–Darling and Right-Tail Anderson–Darling Methods
4.4. Percentile Method
4.5. Least-Squares and Weighted Least-Squares Methods
5. Simulation Analysis
- The quantile function defined in Equation (10) was employed to generate random numbers for the simulation investigation.
- The results of the initial phase are utilized to compute the estimations , and for the parameters α, β, and λ, respectively.
- Execute steps 1 to 3, times to represent diverse samples, where equals 1000.
- Given , and compute the MLE, LSE, WLSE, CME, ADE, RADE, and PE estimates, relative biases, and mean square errors (MSEs).
- To ensure reproducibility of the numerical analysis, all simulations were conducted using standardized procedures based on the pseudo-code presented in Appendix A.
- The IPEC distribution exhibits robust performance across estimation methods, as indicated by the relatively small biases and mean squared errors (MSEs).
- As the sample size increases, both the bias and MSE values consistently decrease for all estimation methods. This behavior reflects the improved precision and consistency of the estimators with larger samples, as expected in well-behaved estimation procedures.
- All sample sizes demonstrate a tendency toward positive bias, suggesting that, on average, the estimators slightly overestimate the true parameter values, particularly for smaller sample sizes.
- The reduction in MSE with increasing sample size confirms the asymptotic efficiency of the estimation methods, with the estimators converging toward the true values.
- The primary objective of the simulation study is to determine the most appropriate estimation technique for the proposed IPEC model. Table 9 presents the partial and overall ranking of each estimation method based on performance metrics such as bias, MSE, and computational efficiency.
- From the rankings shown in Table 9, it is evident that the MLE method outperforms the others, achieving the best overall rank with a score of 47. This confirms its superiority in terms of accuracy and consistency. However, the ADE method also demonstrates competitive performance, with a cumulative score of 63.5, positioning it as a viable alternative to MLE, particularly in situations where analytical tractability is essential.
6. Applications
6.1. Dataset I
6.2. Dataset II
6.3. Dataset III
7. Conclusions
Author Contributions
Funding
Data Availability Statement
Acknowledgments
Conflicts of Interest
Abbreviations
| EC | Entropy Chen distribution |
| IPEC | Inverse power entropy Chen distribution |
| IPP | Inverse power Perk distribution |
| We | Weibull distribution |
| IPLE | Inverse power logistic exponential distribution |
| Ga | Gamma distribution |
| MLE | Maximum likelihood estimation |
| ADE | Anderson–Darling estimation |
| RADE | Right-tail Anderson–Darling estimation |
| LSE | Least-squares estimation |
| WLSE | Weighted least-squares estimation |
| PE | Percentile estimation |
| CME | Cramér–von Mises estimators |
| MSE | Mean square error |
| RBIAS | Relative bias |
| Probability density function | |
| CDF | Cumulative distribution function |
| SF | Survival function |
| HRF | Hazard rate function |
| QF | Quantile function |
| BS | Bowley’s skewness |
| MK | Moors’ kurtosis |
| Sk | Skewness |
| Ku | Kurtosis |
| CV | Coefficient of variation |
| MGF | Moment-generating function |
| PWM | Probability weighted moment |
| AIC | Akaike information criterion |
| BIC | Bayesian information criterion |
| CAIC | Corrected Akaike information criterion |
| HQIC | Hannan–Quinn information criterion |
| K-S | Kolmogorov–Smirnov |
Appendix A
- ## Remove every thing
- remove(list=objects())
- options(warn = −1)
- ## Package
- library(AdequacyModel)
- library(stats4)
- library(MASS)
- ####----------------------------------------------------------------------
- #### pdf and cdf for inverse power entropy chen distribution
- pdf_IPEC = function(parm,x){
- alpha = parm[1]
- beta = parm[2]
- lambda = parm[3]
- a <- (alpha^2)*(beta*lambda)*(x^(-(lambda*beta)-1))*exp(x^(-lambda*beta))
- b <- ((exp(x^(-lambda*beta))-1))*exp(alpha*(1-exp(x^(-lambda*beta))))
- a*b
- }
- cdf_IPEC = function(parm,x){
- alpha = parm[1]
- beta = parm[2]
- lambda = parm[3]
- a <- (1-(alpha*(1-exp(x^(-lambda*beta)))))
- b <- exp(alpha*(1-exp(x^(-lambda*beta))))
- a*b
- }
- ##define pdf and cdf for Weibull Distribution
- pdf_we <- function(parm,x){
- alpha <- parm[1]
- lambda <- parm[2]
- (alpha*x^(alpha-1)*exp(-(x/lambda)^alpha))/lambda^alpha
- }
- cdf_we <- function(parm,x){
- alpha <- parm[1]
- lambda <- parm[2]
- 1-exp(-(x/lambda)^alpha)
- }
- #### pdf and cdf for inverse power Logistic exponential distribution
- pdf_IPLE = function(parm,x){
- alpha = parm[1]
- beta = parm[2]
- lambda = parm[3]
- a <- (alpha*beta*lambda)*(x^(-beta-1))*((exp(lambda*x^(-beta)))-1)^(alpha-1)
- b <- ((((exp(lambda*x^(-beta)))-1)^(alpha))+1)^2
- a/b
- }
- cdf_IPLE = function(parm,x){
- alpha = parm[1]
- beta = parm[2]
- lambda = parm[3]
- a <- 1
- b <- (((exp(lambda*x^(-beta)))-1)^(alpha))+1
- a/b
- }
- ##define pdf and cdf for Gamma Distribution
- pdf_Ga <- function(parm,x){
- alpha <- parm[1]
- lambda <- parm[2]
- dgamma(x,shape = alpha,scale = lambda)
- }
- cdf_Ga <- function(parm,x){
- alpha <- parm[1]
- lambda <- parm[2]
- pgamma(x,shape = alpha,scale =lambda)
- }
- #### pdf and cdf for inverse power perk distribution
- pdf_IPP = function(parm,x){
- alpha = parm[1]
- beta = parm[2]
- lambda = parm[3]
- a <- (alpha*beta*lambda)*(x^(-beta-1))*exp(lambda*x^(-beta))*(1+alpha)
- b <- ((1+alpha*exp(lambda*(x^-beta))))^2
- a/b
- }
- cdf_IPP = function(parm,x){
- alpha = parm[1]
- beta = parm[2]
- lambda = parm[3]
- a <- (1+alpha)
- b <- (1+alpha*exp(lambda*(x^(-beta))))
- a/b
- }
- ##define pdf and cdf for ENTROPY CHEN Distribution
- pdf_EC <- function(parm,x){
- alpha <- parm[1]
- beta <- parm[2]
- (alpha^2)*beta*(x^(beta-1))*exp(x^beta)*((exp(x^beta))-1)*exp(alpha*(1-(exp(x^beta))))
- }
- cdf_EC <- function(parm,x){
- alpha <- parm[1]
- beta <- parm[2]
- 1-((1-(alpha*(1-(exp(x^beta)))))*exp(alpha*(1-exp(x^beta))))
- }
- ####-----------------------------------------------------------------
- ## ikelihood function
- lik_IPEC = function(parm){
- alpha = parm[1]
- beta = parm[2]
- lambda = parm[3]
- -sum(log(pdf_IPEC(c(alpha, beta, lambda),x)))
- }
- lik_we = function(parm){
- alpha = parm[1]
- lambda = parm[2]
- -sum(log(pdf_we(c(alpha, lambda),x)))
- }
- lik_Ga = function(parm){
- alpha = parm[1]
- lambda = parm[2]
- -sum(log(pdf_Ga(c(alpha, lambda),x)))
- }
- lik_IPLE = function(parm){
- alpha = parm[1]
- beta = parm[2]
- lambda = parm[3]
- -sum(log(pdf_IPLE(c(alpha, beta, lambda),x)))
- }
- lik_IPP = function(parm){
- alpha = parm[1]
- beta = parm[2]
- lambda = parm[3]
- -sum(log(pdf_IPP(c(alpha, beta, lambda),x)))
- }
- lik_EC = function(parm){
- alpha = parm[1]
- beta = parm[2]
- -sum(log(pdf_EC(c(alpha, beta),x)))
- }
- ####-------------------------------------------------------------------------
- ## real data:
- ## dataset IV: R.H. Dumonceaux and C.E. Antle. Discriminating between the log-normal
- ## and Weibull distribution. Technometrics.
- x4 = c(1.1, 1.4, 1.3, 1.7, 1.9, 1.8, 1.6, 2.2, 1.7, 2.7, 4.1, 1.8, 1.5, 1.2, 1.4, 3, 1.7, 2.3, 1.6, 2)
- ## chosse one dataset
- x = x4
- ####------------------------------------------------------------------------
- ## Goodness-of-fit test (GOF)
- gof.test_IPEC = goodness.fit(pdf_IPEC,cdf_IPEC,starts=c(1.5, 0.5, 1.5),data=x,domain = c(0.01,1000),
- method = “N”)
- gof.test_Ga = goodness.fit(pdf_Ga,cdf_Ga,starts=c(1,1),data=x,domain = c(0.01,1000),
- method = “N”)
- gof.test_we = goodness.fit(pdf_we,cdf_we,starts=c(1.5,1.5),data=x,domain = c(0.01,1000),
- method = “N”)
- gof.test_IPLE = goodness.fit(pdf_IPLE,cdf_IPLE,starts=c(0.5,0.5,0.5),data=x,domain = c(0.01,1000),
- method = “N”)
- gof.test_IPP = goodness.fit(pdf_IPP,cdf_IPP,starts=c(1.5, 0.5, 1.5),data=x,domain = c(0.01,1000),
- method = “N”)
- gof.test_EC = goodness.fit(pdf_EC,cdf_EC,starts=c(1.5,0.5),data=x,domain = c(0.01,1000),
- method = “N”)
- ## print reslts of ks test
- gof.test_IPEC$KS$p.value
- gof.test_Ga$KS$p.value
- gof.test_IPLE$KS$p.value
- gof.test_we$KS$p.value
- gof.test_IPP$KS$p.value
- gof.test_EC$KS$p.value
- ## print reslts of gof
- gof.test_IPEC
- gof.test_Ga
- gof.test_IPLE
- gof.test_we
- gof.test_IPP
- gof.test_EC
- ## Plot of histogram
- hist(x, probability = TRUE, col = c(8),ylab = “f(x)”, ylim = c(0,1),
- xlab = “x”,main=““,xlim = c(0,6))
- lines(y,pdf_IPEC(gof.test_IPEC$mle,y),col=c(1), add = TRUE,lwd = 2)
- lines(y,pdf_EC(gof.test_EC$mle,y), col=c(2), add = TRUE,lwd = 2)
- lines(y,pdf_IPP(gof.test_IPP$mle,y), col=c(3), add = TRUE,lwd = 2)
- lines(y,pdf_we(gof.test_we$mle,y), col=c(4), add = TRUE,lwd = 2)
- lines(y,pdf_Ga(gof.test_Ga$mle,y), col=c(5), add = TRUE,lwd = 2)
- lines(y,pdf_IPLE(gof.test_IPLE$mle,y), col=c(6), add = TRUE,lwd = 2)
- legend(“topright”,c(“IPEC”,”EC”,”We”,”IPLE”,”IPP”,”Ga”),
- cex=0.7,inset=0.04,lwd=c(2),col=c(1,2,3,4,5,6))
References
- Box, G.E.; Cox, D.R. An analysis of transformations. J. R. Stat. Soc. Ser. B Stat. Methodol. 1964, 26, 211–243. [Google Scholar] [CrossRef]
- Elbatal, I.; Hassan, A.S.; Gemeay, A.M.; Diab, L.S.; Ghorbal, A.B.; Elgarhy, M. Statistical analysis of the inverse power Zeghdoudi model: Estimation, simulation and modeling to engineering and environmental data. Phys. Scr. 2024, 99, 065231. [Google Scholar] [CrossRef]
- Hussain, N.; Tahir, M.H.; Jamal, F.; Shafiq, S.; Alsadat, N.; Elgarhy, M.; Nasiru, S.; Nagarjuna, V.B. Comparison of different estimation methods for the inverse power perk distribution with applications in engineering and actuarial sciences. Phys. Scr. 2024, 99, 105232. [Google Scholar] [CrossRef]
- AL Sobhi, M.M. The inverse-power logistic-exponential distribution: Properties, estimation methods, and application to insurance data. Mathematics 2020, 8, 2060. [Google Scholar] [CrossRef]
- Abd El-Monsef, M.M.E.; Al-Kzzaz, H.S. Properties, Inference and Applications of Inverse Power Two-Parameter Weighted Lindley Distribution. Open J. Stat. 2020, 10, 889–904. [Google Scholar] [CrossRef]
- Abdelwahab, M.M.; Ramadan, D.A.; Kumar, S.; Hasaballah, M.M.; El Gazar, A.M. Statistical Analysis of the Induced Ailamujia Lifetime Distribution with Engineering and Bidomedical Applications. Mathematics 2025, 13, 3307. [Google Scholar] [CrossRef]
- Frederick, A.O.; Osuji, G.A.; Onyekwere, C.K. Inverted Power Ishita Distribution and Its Application to Lifetime Data. Asian J. Probab. Stat. 2022, 18, 1–18. [Google Scholar] [CrossRef]
- El Gazar, A.M.; ElGarhy, M.; El-Desouky, B.S. Classical and Bayesian estimation for the truncated inverse power Ailamujia distribution with applications. AIP Adv. 2023, 13. [Google Scholar] [CrossRef]
- El Gazar, A.M.; Elgarhy, M.; El-Desouky, B.S. Truncated moment exponential distribution with application. Neuroquantology 2022, 20, 946–958. [Google Scholar] [CrossRef]
- Alomani, G.; Kayid, M.; Elgazar, A.M. Classical and Bayesian analysis with fitting radiation data: Using a new truncated distribution. J. Radiat. Res. Appl. Sci. 2025, 18, 101498. [Google Scholar] [CrossRef]
- Elgarhy, M.; Al Mutairi, A.; Hassan, A.S.; Chesneau, C.; Abdel-Hamid, A.H. Bayesian and non-Bayesian estimations of truncated inverse power Lindley distribution under progressively type-II censored data with applications. AIP Adv. 2023, 13, 095130. [Google Scholar] [CrossRef]
- Ramadan, D.A.; Farhat, A.T.; Bakr, M.E.; Balogun, O.S.; Hasaballah, M.M. Optimal Estimation of Reliability Parameters for Modified Frechet-Exponential Distribution Using Progressive Type-II Censored Samples with Mechanical and Medical Data. Symmetry 2024, 16, 1476. [Google Scholar] [CrossRef]
- Khalifa, E.H.; Ramadan, D.A.; Alqifari, H.N.; El-Desouky, B.S. Bayesian Inference for Inverse Power Exponentiated Pareto Distribution Using Progressive Type-II Censoring with Application to Flood-Level Data Analysis. Symmetry 2024, 16, 309. [Google Scholar] [CrossRef]
- Nader, N.; Ramadan, D.A.; Ahmad, H.H.; El-Damcese, M.A.; El-Desouky, B.S. Optimizing analgesic pain relief time analysis through Bayesian and non-Bayesian approaches to new right truncated Fréchet-inverted Weibull distribution. AIMS Math. 2023, 8, 31217–31245. [Google Scholar] [CrossRef]
- Tse, H.T. The definition and application of entropy. In Proceedings of the 2022 International Conference on Science and Technology Ethics and Human Future (STEHF 2022), Dali, China, 13–15 May 2022; SHS Web of Conferences; EDP Sciences: Les Ulis, France, 2022; Volume 144, p. 01016. [Google Scholar] [CrossRef]
- Aziz, A.A.W.; Husain, Q.N.; Ahmed, M.T. The entropy transformed Rayleigh distribution: Properties and applications. J. Phys. Conf. Ser. 2021, 1818, 012125. [Google Scholar] [CrossRef]
- Chen, Z. A new two-parameter lifetime distribution with bathtub shape or increasing failure rate function. Stat. Probab. Lett. 2000, 49, 155–161. [Google Scholar] [CrossRef]
- Ghazal, M.G.M. Modified Chen distribution: Properties, estimation, and applications in reliability analysis. AIMS Math. 2024, 9, 34906–34946. [Google Scholar] [CrossRef]
- Chaubey, Y.P.; Zhang, R. An extension of Chen’s family of survival distributions with bathtub shape or increasing hazard rate function. Commun. Stat.-Theory Methods 2015, 44, 4049–4064. [Google Scholar] [CrossRef]
- Reis, L.D.R.; Cordeiro, G.M.; Lima, M.C.S. The Gamma-Chen distribution: A new family of distributions with applications. Span. J. Stat. 2020, 2, 23–40. [Google Scholar] [CrossRef]
- Bhatti, F.A.; Hamedani, G.G.; Najibi, S.M.; Ahmad, M. On the extended Chen distribution: Development, properties, characterizations and applications. Ann. Data Sci. 2021, 8, 159–180. [Google Scholar] [CrossRef]
- Thanh Thach, T.; Briš, R. An additive Chen-Weibull distribution and its applications in reliability modeling. Qual. Reliab. Eng. Int. 2021, 37, 352–373. [Google Scholar] [CrossRef]
- Tarvirdizade, B.; Ahmadpour, M. A new extension of Chen distribution with applications to lifetime data. Commun. Math. Stat. 2021, 9, 23–38. [Google Scholar] [CrossRef]
- Abba, B.; Wang, H.; Bakouch, H.S. A reliability and survival model for one and two failure modes system with applications to complete and censored datasets. Reliab. Eng. Syst. Saf. 2022, 223, 108460. [Google Scholar] [CrossRef]
- Méndez-González, L.C.; Rodríguez-Picón, L.A.; Pérez-Olguín, I.J.C.; Vidal Portilla, L.R. An additive Chen distribution with applications to lifetime data. Axioms 2023, 12, 118. [Google Scholar] [CrossRef]
- Méndez-González, L.C.; Rodríguez-Picón, L.A.; Rodríguez Borbón, M.I.; Sohn, H. The Chen–Perks distribution: Properties and reliability applications. Mathematics 2023, 11, 3001. [Google Scholar] [CrossRef]
- Sindhu, T.N.; Shafiq, A.; Lone, S.A.; Abushal, T.A. The entropy-transformed Gompertz distribution: Distributional insights and cross-disciplinary utilizations. Kuwait J. Sci. 2025, 52, 100335. [Google Scholar] [CrossRef]
- Sindhu, T.N.; Shafiq, A.; Lone, S.A.; Al-Mdallal, Q.M.; Abushal, T.A. Distributional properties of the entropy transformed Weibull distribution and applications to various scientific fields. Sci. Rep. 2024, 14, 31827. [Google Scholar] [CrossRef]
- Sindhu, T.N.; Atangana, A.; Riaz, M.B.; Abushal, T.A. Bivariate entropy-transformed Weibull distribution for modelling bivariate system-simulated data from a computer series: Mathematical features and applied results. Alex. Eng. J. 2025, 117, 593–608. [Google Scholar] [CrossRef]
- Sindhu, T.N.; Almetwally, E.M.; Shafiq, A.; Abushal, T.A. Theory, simulation, and application of the entropy transformation of the Chen distribution to enhance interdisciplinary data analysis. J. Radiat. Res. Appl. Sci. 2025, 18, 101472. [Google Scholar] [CrossRef]
- Greenwood, J.A.; Landwehr, J.M.; Matalas, N.C.; Wallis, J.R. Probability weighted moments: Definition and relation to parameters of several distributions expressible in inverse form. Water Resour. Res. 1979, 15, 1049–1054. [Google Scholar] [CrossRef]
- Renyi, A. On measure of entropy and information. In Proceeding of the Fourth Berkeley Symposium on Mathematical Statistics and Probability; Contribution to the Theory of Statistics; University of California Press: Berkeley, CA, USA, 1961; pp. 547–561. [Google Scholar]
- Tsallis, C. Possible generalization of Boltzmann-Gibbs statistics. J. Stat. Phys. 1988, 52, 479–487. [Google Scholar] [CrossRef]
- Aguilar, G.A.; Moala, F.A.; Cordeiro, G.M. Zero-truncated poisson exponentiated gamma distribution: Application and estimation methods. J. Stat. Theory Pract. 2019, 13, 1–20. [Google Scholar] [CrossRef]
- Ali, S.; Dey, S.; Tahir, M.H.; Mansoor, M. Two-parameter logistic-exponential distribution: Some new properties and estimation methods. Am. J. Math. Manag. Sci. 2020, 39, 270–298. [Google Scholar] [CrossRef]
- Anderson, T.W.; Darling, D.A. Asymptotic theory of certain goodness-of-fit criteria based on stochastic process. Ann. Math. Stat. 1952, 23, 193–212. [Google Scholar] [CrossRef]
- Kao, J.H. Computer methods for estimating Weibull parameters in reliability studies. IRE Trans. Reliab. Qual. Control. 1958, PGRQC-13, 15–22. [Google Scholar] [CrossRef]
- Kao, J.H. A graphical estimation of mixed Weibull parameters in life-testing of electron tubes. Technometrics 1959, 1, 389–407. [Google Scholar] [CrossRef]
- Swain, J.J.; Venkatraman, S.; Wilson, J.R. Least squares estimation of distribution functions in johnsons translation system. J. Stat. Comput. Simul. 1988, 29, 271–297. [Google Scholar] [CrossRef]
- Perry, D.; Stadje, W. Function space integration for annuities. Insur. Math. Econ. 2001, 29, 73–82. [Google Scholar] [CrossRef]
- López-Barrientos, J.D.; Gromova, E.V.; Miroshnichenko, E.S. Resource Exploitation in a Stochastic Horizon under Two Parametric Interpretations. Mathematics 2020, 8, 1081. [Google Scholar] [CrossRef]
- Weibull, W. A statistical distribution function of wide applicability. J. Appl. Mech. Trans. 1951, 18, 293–297. [Google Scholar] [CrossRef]
- Abdelfattah, N.A.H.; Sayed, R.M. Comparative efficacy of gamma and microwave radiation in protecting peppermint from infestation by drugstore beetle (Stegobium paniceum) L. Int. J. Trop. Insect Sci. 2022, 42, 1367–1372. [Google Scholar] [CrossRef]
- Mead, M.E. A new generalization of Burr XII distribution. J. Stat. Adv. Theory Appl. 2014, 12, 53–73. [Google Scholar]
- Dey, S.; Nassar, M.; Kumar, D. α logarithmic transformed family of distributions with application. Ann. Data Sci. 2017, 4, 457–482. [Google Scholar] [CrossRef]





| BS | MK | ||||||
|---|---|---|---|---|---|---|---|
| 0.5 | 0.8 | 0.4 | 0.1453 | 0.2989 | 0.8036 | 0.5332 | 2.5575 |
| 0.7 | 0.3321 | 0.5016 | 0.8826 | 0.3843 | 1.8194 | ||
| 0.9 | 0.4243 | 0.5847 | 0.9074 | 0.3359 | 1.6657 | ||
| 0.7 | 0.9 | 0.4 | 0.2815 | 0.5716 | 1.4996 | 0.5238 | 2.4712 |
| 0.7 | 0.4846 | 0.7264 | 1.2605 | 0.3768 | 1.7830 | ||
| 0.9 | 0.5693 | 0.7799 | 1.1973 | 0.3293 | 1.6386 | ||
| 0.9 | 0.6 | 0.4 | 0.2580 | 0.8079 | 3.7833 | 0.6879 | 4.0711 |
| 0.7 | 0.4611 | 0.8853 | 2.1389 | 0.4943 | 2.2794 | ||
| 0.9 | 0.5477 | 0.9096 | 1.8064 | 0.4249 | 1.9512 | ||
| 1.2 | 0.5 | 0.4 | 0.4431 | 1.9508 | 14.1813 | 0.7805 | 5.9479 |
| 0.7 | 0.6281 | 1.4650 | 4.5511 | 0.5733 | 2.7721 | ||
| 0.9 | 0.6965 | 1.3458 | 3.2499 | 0.4914 | 2.2443 | ||
| 1.5 | 0.9 | 0.4 | 0.9265 | 2.2162 | 7.0435 | 0.5783 | 2.7872 |
| 0.7 | 0.9573 | 1.5757 | 3.0511 | 0.4092 | 1.8696 | ||
| 0.9 | 0.9666 | 1.4243 | 2.3812 | 0.3529 | 1.6855 | ||
| 1.8 | 0.7 | 0.4 | 1.3752 | 4.4399 | 20.730 | 0.6833 | 3.8539 |
| 0.7 | 1.1997 | 2.3438 | 5.6538 | 0.4862 | 2.1929 | ||
| 0.9 | 1.1521 | 1.9396 | 3.8473 | 0.4156 | 1.8865 |
| Sk | Ku | ||||||||
|---|---|---|---|---|---|---|---|---|---|
| 0.5 | 0.8 | 0.4 | 0.7254 | 2.2274 | 12.4411 | 86.0481 | 1.7013 | 3.7662 | 19.4005 |
| 0.7 | 0.8219 | 1.7641 | 7.9805 | 50.4368 | 1.0885 | 4.1749 | 25.3036 | ||
| 0.9 | 0.8416 | 1.4757 | 5.6033 | 32.6891 | 0.7673 | 4.5667 | 31.5744 | ||
| 0.7 | 0.9 | 0.4 | 1.0694 | 3.5740 | 20.0511 | 138.408 | 2.4303 | 2.9115 | 12.3993 |
| 0.7 | 1.1049 | 2.6781 | 12.1862 | 76.2052 | 1.4572 | 3.4149 | 17.6567 | ||
| 0.9 | 1.0786 | 2.1500 | 8.2215 | 47.0438 | 0.9866 | 3.8512 | 23.1360 | ||
| 0.9 | 0.6 | 0.4 | 1.1859 | 4.9179 | 30.1913 | 217.106 | 3.5117 | 2.4359 | 8.8758 |
| 0.7 | 1.3797 | 4.8178 | 26.8462 | 183.932 | 2.9142 | 2.4437 | 9.4113 | ||
| 0.9 | 1.3825 | 4.2667 | 21.9863 | 144.6939 | 2.3554 | 2.6438 | 11.0276 | ||
| 1.2 | 0.5 | 0.4 | 1.3082 | 6.0410 | 38.5401 | 282.152 | 4.3296 | 2.1433 | 7.1336 |
| 0.7 | 1.6795 | 7.0147 | 42.1233 | 298.449 | 4.1941 | 1.8924 | 6.2714 | ||
| 0.9 | 1.7466 | 6.7331 | 38.4649 | 265.361 | 3.6825 | 1.9586 | 6.7806 | ||
| 1.5 | 0.9 | 0.4 | 1.9335 | 8.7005 | 53.5217 | 382.8773 | 4.9622 | 1.5841 | 4.9616 |
| 0.7 | 2.0041 | 7.3605 | 39.5878 | 262.659 | 3.3342 | 1.8693 | 6.6428 | ||
| 0.9 | 1.8672 | 5.8679 | 28.1016 | 174.481 | 2.3815 | 2.2451 | 8.9708 | ||
| 1.8 | 0.7 | 0.4 | 1.8277 | 9.1148 | 58.9808 | 433.285 | 5.7741 | 1.5289 | 4.5378 |
| 0.7 | 2.2695 | 10.056 | 60.1686 | 422.103 | 4.9059 | 1.3874 | 4.4495 | ||
| 0.9 | 2.2588 | 9.0401 | 50.5067 | 340.554 | 3.9378 | 1.5737 | 5.3437 |
| For α | For β | For λ | |||||||||
|---|---|---|---|---|---|---|---|---|---|---|---|
| n | Methods | Average | MSE | RBIAS | Average | MSE | RBIAS | Average | MSE | RBIAS | ⅀Ranks |
| 25 | MLE | 0.5905 | 0.01432 | 0.01585 | 0.5286 | 0.00291 | 0.05726 | 0.3954 | 0.00211 | 0.01152 | 171 |
| LSE | 0.6124 | 0.01514.5 | 0.02076 | 0.5196 | 0.00525 | 0.03911 | 0.3839 | 0.00386 | 0.04006 | 28.56 | |
| WLSE | 0.6091 | 0.01453 | 0.01514 | 0.5213 | 0.00493 | 0.04272 | 0.3853 | 0.00333 | 0.03675 | 204 | |
| CME | 0.5948 | 0.01596 | 0.00872 | 0.5285 | 0.00514 | 0.05705 | 0.3969 | 0.00365 | 0.00751 | 235 | |
| ADE | 0.6058 | 0.01411 | 0.00973 | 0.5267 | 0.00606 | 0.05333 | 0.3856 | 0.00302 | 0.03604 | 193 | |
| RADE | 0.6030 | 0.01514.5 | 0.00501 | 0.5271 | 0.00312 | 0.05424 | 0.3912 | 0.00354 | 0.02213 | 18.52 | |
| PE | 1.0094 | 1.48237 | 0.68237 | 0.6234 | 0.45557 | 0.24677 | 0.5352 | 0.37407 | 0.33817 | 427 | |
| 50 | MLE | 0.5851 | 0.00692 | 0.02465 | 0.5273 | 0.00181 | 0.05464 | 0.3919 | 0.00141 | 0.02022 | 151 |
| LSE | 0.5941 | 0.00735 | 0.00991 | 0.5259 | 0.00255 | 0.05181 | 0.3846 | 0.00206 | 0.03846 | 245.5 | |
| WLSE | 0.5912 | 0.00681 | 0.01473 | 0.5292 | 0.00233 | 0.05846 | 0.3841 | 0.00163 | 0.03755 | 213 | |
| CME | 0.5851 | 0.00766 | 0.02486 | 0.5264 | 0.00244 | 0.05292 | 0.3939 | 0.00195 | 0.01511 | 245.5 | |
| ADE | 0.5913 | 0.00714 | 0.01452 | 0.5282 | 0.00366 | 0.05635 | 0.3865 | 0.00152 | 0.03374 | 234 | |
| RADE | 0.5897 | 0.00703 | 0.01714 | 0.5272 | 0.00212 | 0.05443 | 0.3895 | 0.00184 | 0.02623 | 192 | |
| PE | 1.0678 | 1.38527 | 0.77977 | 0.6826 | 1.32127 | 0.36527 | 0.5953 | 0.82607 | 0.48837 | 427 | |
| 75 | MLE | 0.5965 | 0.00431 | 0.00586 | 0.5244 | 0.00131 | 0.04885 | 0.3874 | 0.00081 | 0.03142 | 161 |
| LSE | 0.6029 | 0.00495 | 0.00505 | 0.5209 | 0.00215 | 0.04171 | 0.3847 | 0.00156 | 0.03815 | 276 | |
| WLSE | 0.6006 | 0.00463.5 | 0.00102 | 0.5218 | 0.00173 | 0.04362 | 0.3857 | 0.00113 | 0.03564 | 17.52 | |
| CME | 0.5970 | 0.00506 | 0.00494 | 0.5234 | 0.00256 | 0.04693 | 0.3897 | 0.00145 | 0.02581 | 255 | |
| ADE | 0.6012 | 0.00452 | 0.00203 | 0.5245 | 0.00173 | 0.04896 | 0.3833 | 0.00102 | 0.04186 | 224 | |
| RADE | 0.6003 | 0.00463.5 | 0.00051 | 0.5243 | 0.00173 | 0.04864 | 0.3859 | 0.00134 | 0.03503 | 18.53 | |
| PE | 1.1043 | 1.81817 | 0.84067 | 0.6313 | 0.20717 | 0.26267 | 0.4985 | 0.34837 | 0.24637 | 427 | |
| 100 | MLE | 0.5949 | 0.00341 | 0.00846 | 0.5232 | 0.00101 | 0.04651 | 0.3866 | 0.00071 | 0.03351 | 111 |
| LSE | 0.6001 | 0.00405 | 0.00021 | 0.5245 | 0.00155.5 | 0.04892 | 0.3817 | 0.00115.5 | 0.04575 | 245 | |
| WLSE | 0.5981 | 0.00373 | 0.00313 | 0.5254 | 0.00143 | 0.05085 | 0.3825 | 0.00093 | 0.04374 | 213 | |
| CME | 0.5956 | 0.00416 | 0.00735 | 0.5251 | 0.00155.5 | 0.05024 | 0.3863 | 0.00115.5 | 0.03432 | 286 | |
| ADE | 0.5986 | 0.00362 | 0.00242 | 0.5264 | 0.00143 | 0.05286 | 0.3813 | 0.00082 | 0.04676 | 213 | |
| RADE | 0.5972 | 0.00384 | 0.00474 | 0.5245 | 0.00143 | 0.04913 | 0.3858 | 0.00104 | 0.03563 | 213 | |
| PE | 1.2434 | 2.08927 | 1.07247 | 0.6216 | 0.25547 | 0.24337 | 0.5730 | 0.47037 | 0.43267 | 427 |
| For α | For β | For λ | |||||||||
|---|---|---|---|---|---|---|---|---|---|---|---|
| n | Methods | Average | MSE | RBIAS | Average | MSE | RBIAS | Average | MSE | RBIAS | ⅀Ranks |
| 25 | MLE | 0.7767 | 0.02566 | 0.02916 | 0.6506 | 0.00532.5 | 0.08436 | 0.4966 | 0.00531 | 0.00681 | 22.54.5 |
| LSE | 0.7968 | 0.02252 | 0.00401 | 0.6468 | 0.00564 | 0.07794 | 0.4670 | 0.00715 | 0.06596 | 223 | |
| WLSE | 0.7933 | 0.02241 | 0.00832 | 0.6333 | 0.00441 | 0.00651 | 0.4848 | 0.00654 | 0.03044 | 131 | |
| CME | 0.7856 | 0.02494 | 0.01805 | 0.6424 | 0.00532.5 | 0.07062 | 0.4964 | 0.00623 | 0.00712 | 18.52 | |
| ADE | 0.7909 | 0.02333 | 0.01144 | 0.6461 | 0.00585.5 | 0.07683 | 0.4797 | 0.00562 | 0.04065 | 22.54.5 | |
| RADE | 0.7925 | 0.02505 | 0.00943 | 0.6484 | 0.00585.5 | 0.08075 | 0.4903 | 0.00846 | 0.01953 | 27.56 | |
| PE | 0.8682 | 0.24227 | 0.08537 | 0.6745 | 0.16187 | 0.12427 | 0.5482 | 0.11737 | 0.09657 | 427 | |
| 50 | MLE | 0.7972 | 0.01013 | 0.00354 | 0.6344 | 0.00271 | 0.05733 | 0.4858 | 0.00241 | 0.02841 | 131 |
| LSE | 0.8044 | 0.01034.5 | 0.00556 | 0.6350 | 0.00355.5 | 0.05844 | 0.4725 | 0.00435 | 0.05516 | 316 | |
| WLSE | 0.8028 | 0.00991 | 0.00343 | 0.6324 | 0.00333 | 0.05391 | 0.4780 | 0.00343 | 0.04395 | 163 | |
| CME | 0.7987 | 0.01086 | 0.00161 | 0.6373 | 0.00355.5 | 0.06226 | 0.4839 | 0.00384 | 0.03222 | 24.54 | |
| ADE | 0.8027 | 0.01002 | 0.00332 | 0.6325 | 0.00302 | 0.05412 | 0.4784 | 0.00302 | 0.04334 | 142 | |
| RADE | 0.8033 | 0.01034.5 | 0.00425 | 0.6353 | 0.00344 | 0.05895 | 0.4815 | 0.00456 | 0.03693 | 27.55 | |
| PE | 1.0527 | 0.74397 | 0.31597 | 0.6862 | 0.19487 | 0.14377 | 0.5491 | 0.19867 | 0.09827 | 427 | |
| 75 | MLE | 0.7966 | 0.00643.5 | 0.00426 | 0.6331 | 0.00221 | 0.05523 | 0.4828 | 0.00181 | 0.03431 | 15.52.5 |
| LSE | 0.8014 | 0.00655 | 0.00184 | 0.6342 | 0.00296 | 0.05694 | 0.4735 | 0.00305.5 | 0.05306 | 30.56 | |
| WLSE | 0.7999 | 0.00631.5 | 0.00011 | 0.6323 | 0.00263 | 0.05392 | 0.4777 | 0.00243 | 0.04465 | 15.52.5 | |
| CME | 0.7976 | 0.00676 | 0.00305 | 0.6362 | 0.00285 | 0.06036 | 0.4807 | 0.00284 | 0.03862 | 285 | |
| ADE | 0.8003 | 0.00631.5 | 0.00042 | 0.6319 | 0.00242 | 0.05311 | 0.4778 | 0.00212 | 0.04434 | 12.51 | |
| RADE | 0.8007 | 0.00643.5 | 0.00093 | 0.6345 | 0.00274 | 0.05765 | 0.4787 | 0.00305.5 | 0.04253 | 244 | |
| PE | 1.1215 | 0.91217 | 0.40197 | 0.6789 | 0.20597 | 0.13167 | 0.5646 | 0.16027 | 0.12927 | 427 | |
| 100 | MLE | 0.7972 | 0.00481 | 0.00356 | 0.6311 | 0.00181 | 0.05184 | 0.4813 | 0.00131 | 0.03732.5 | 15.51.5 |
| LSE | 0.8005 | 0.00525 | 0.00073 | 0.6325 | 0.00245 | 0.05415 | 0.4758 | 0.00225.5 | 0.04826 | 29.55.5 | |
| WLSE | 0.7992 | 0.00503.5 | 0.00104 | 0.6304 | 0.00213 | 0.05072 | 0.4793 | 0.00173 | 0.04154 | 19.54 | |
| CME | 0.7976 | 0.00536 | 0.00295 | 0.6342 | 0.00266 | 0.05716 | 0.4813 | 0.00214 | 0.03732.5 | 29.55.5 | |
| ADE | 0.7998 | 0.00492 | 0.00031.5 | 0.6309 | 0.00192 | 0.05173 | 0.4777 | 0.00152 | 0.04445 | 15.51.5 | |
| RADE | 0.7997 | 0.00503.5 | 0.00031.5 | 0.6304 | 0.00234 | 0.05061 | 0.4826 | 0.00225.5 | 0.03481 | 16.53 | |
| PE | 1.1409 | 0.89347 | 0.42617 | 0.6964 | 0.15637 | 0.16077 | 0.5400 | 0.12807 | 0.08017 | 427 |
| For α | For β | For λ | |||||||||
|---|---|---|---|---|---|---|---|---|---|---|---|
| n | Methods | Average | MSE | RBIAS | Average | MSE | RBIAS | Average | MSE | RBIAS | ⅀Ranks |
| 25 | MLE | 1.0534 | 0.02966 | 0.05346 | 0.7891 | 0.00442 | 0.05213 | 0.6031 | 0.00531 | 0.00521 | 193 |
| LSE | 1.0462 | 0.02451.5 | 0.04621 | 0.8050 | 0.00964 | 0.07335 | 0.5510 | 0.01096 | 0.08166 | 23.54 | |
| WLSE | 1.0463 | 0.02451.5 | 0.04632 | 0.7826 | 0.00533 | 0.04342 | 0.5695 | 0.00773 | 0.05096 | 17.52 | |
| CME | 1.0482 | 0.02815 | 0.04823 | 0.8182 | 0.01756 | 0.09096 | 0.5780 | 0.01065 | 0.03663 | 286 | |
| ADE | 1.0514 | 0.02734 | 0.05144 | 0.7819 | 0.00291 | 0.04271 | 0.5824 | 0.00572 | 0.02942 | 141 | |
| RADE | 1.0525 | 0.02693 | 0.05255 | 0.7949 | 0.01195 | 0.05994 | 0.5774 | 0.00924 | 0.03774 | 255 | |
| PE | 1.0511 | 0.20517 | 0.05117 | 0.9492 | 0.13577 | 0.26567 | 0.4465 | 0.08147 | 0.25597 | 427 | |
| 50 | MLE | 1.0094 | 0.01344 | 0.00941 | 0.7885 | 0.00391 | 0.05133.5 | 0.5776 | 0.00371 | 0.03731 | 11.51 |
| LSE | 1.0117 | 0.01313 | 0.01175 | 0.7938 | 0.00575 | 0.05855 | 0.5570 | 0.00725 | 0.07167 | 306 | |
| WLSE | 1.0115 | 0.01291 | 0.01153 | 0.7885 | 0.00494 | 0.05133.5 | 0.5656 | 0.00563 | 0.05746 | 20.53 | |
| CME | 1.0114 | 0.01395 | 0.01142 | 0.7949 | 0.00586 | 0.05996 | 0.5729 | 0.00624 | 0.04523 | 265 | |
| ADE | 1.0116 | 0.01302 | 0.01164 | 0.7855 | 0.00402 | 0.04732 | 0.5692 | 0.00492 | 0.05135 | 172 | |
| RADE | 1.0151 | 0.01426 | 0.01516 | 0.7841 | 0.00463 | 0.04551 | 0.5774 | 0.00776 | 0.03762 | 244 | |
| PE | 1.0626 | 0.33227 | 0.06267 | 0.8553 | 0.27637 | 0.14057 | 0.5719 | 0.10767 | 0.04694 | 397 | |
| 75 | MLE | 1.0053 | 0.00842 | 0.00531 | 0.7871 | 0.00281 | 0.04942 | 0.5786 | 0.00281 | 0.03562 | 91 |
| LSE | 1.0059 | 0.00874 | 0.00593 | 0.7905 | 0.00414 | 0.05404 | 0.5656 | 0.00485.5 | 0.05747 | 27.55.5 | |
| WLSE | 1.0061 | 0.00842 | 0.00614 | 0.7908 | 0.00373 | 0.05445 | 0.5678 | 0.00373 | 0.05376 | 233 | |
| CME | 1.0055 | 0.00915.5 | 0.00552 | 0.7944 | 0.00476 | 0.05926 | 0.5741 | 0.00444 | 0.04324 | 27.55.5 | |
| ADE | 1.0066 | 0.00842 | 0.00665 | 0.7875 | 0.00312 | 0.05003 | 0.5701 | 0.00302 | 0.04985 | 192 | |
| RADE | 1.0087 | 0.00915.5 | 0.00876 | 0.7861 | 0.00455 | 0.04821 | 0.5751 | 0.00485.5 | 0.04143 | 264 | |
| PE | 1.0817 | 0.36007 | 0.08177 | 0.8481 | 0.23057 | 0.13087 | 0.5817 | 0.11697 | 0.03051 | 367 | |
| 100 | MLE | 1.0150 | 0.00301 | 0.01501 | 0.7829 | 0.00151 | 0.04393 | 0.5971 | 0.00181 | 0.00481 | 81 |
| LSE | 1.0193 | 0.00375 | 0.01935 | 0.7917 | 0.00346 | 0.05567 | 0.5746 | 0.00303 | 0.04237 | 336 | |
| WLSE | 1.0179 | 0.00312 | 0.01792 | 0.7823 | 0.00274 | 0.04312 | 0.5871 | 0.00314 | 0.02145 | 192 | |
| CME | 1.0191 | 0.00386 | 0.01914 | 0.7858 | 0.00295 | 0.04775.5 | 0.5881 | 0.00325.5 | 0.01983 | 295 | |
| ADE | 1.0188 | 0.00323 | 0.01883 | 0.7837 | 0.00213 | 0.04494 | 0.5858 | 0.00252 | 0.02376 | 214 | |
| RADE | 1.0216 | 0.00364 | 0.02166 | 0.7784 | 0.00182 | 0.03791 | 0.5941 | 0.00325.5 | 0.00982 | 20.53 | |
| PE | 1.1058 | 0.32707 | 0.10587 | 0.7858 | 0.07477 | 0.04775.5 | 0.5872 | 0.05197 | 0.02134 | 37.57 |
| For α | For β | For λ | |||||||||
|---|---|---|---|---|---|---|---|---|---|---|---|
| n | Methods | Average | MSE | RBIAS | Average | MSE | RBIAS | Average | MSE | RBIAS | ⅀Ranks |
| 25 | MLE | 1.3842 | 0.06695 | 0.15356 | 0.7789 | 0.00482 | 0.02634 | 0.6119 | 0.05936 | 0.22387 | 306.5 |
| LSE | 1.3559 | 0.05032 | 0.12993 | 0.8343 | 0.00291 | 0.04295 | 0.5068 | 0.03155 | 0.01372 | 181.5 | |
| WLSE | 1.3547 | 0.04851 | 0.12892 | 0.7591 | 0.02696 | 0.05116 | 0.5542 | 0.00991 | 0.10844 | 203 | |
| CME | 1.3811 | 0.06364 | 0.15095 | 0.7866 | 0.02325 | 0.01673 | 0.5634 | 0.01883 | 0.12685 | 254 | |
| ADE | 1.3754 | 0.05933 | 0.14624 | 0.8023 | 0.02034 | 0.00292 | 0.5525 | 0.01872 | 0.10513 | 181.5 | |
| RADE | 1.3982 | 0.07646 | 0.16527 | 0.8022 | 0.01113 | 0.00271 | 0.5644 | 0.02544 | 0.12886 | 275 | |
| PE | 1.2191 | 0.52917 | 0.01591 | 0.9339 | 0.09847 | 0.16737 | 0.4979 | 0.17597 | 0.00411 | 306.5 | |
| 50 | MLE | 1.1977 | 0.01701 | 0.00193.5 | 0.8427 | 0.00672 | 0.05346 | 0.4869 | 0.00272 | 0.02604 | 18.52 |
| LSE | 1.1988 | 0.01944 | 0.00091 | 0.8398 | 0.00814 | 0.04985 | 0.4703 | 0.00454 | 0.05947 | 254 | |
| WLSE | 1.1977 | 0.01783 | 0.00193.5 | 0.8358 | 0.00703 | 0.04474 | 0.4759 | 0.00323 | 0.04816 | 22.53 | |
| CME | 1.2053 | 0.02126 | 0.00445 | 0.8291 | 0.00905 | 0.03633 | 0.4932 | 0.00505 | 0.01352 | 265.5 | |
| ADE | 1.1983 | 0.01742 | 0.00142 | 0.8264 | 0.00441 | 0.03291 | 0.4831 | 0.00261 | 0.03385 | 121 | |
| RADE | 1.2093 | 0.02115 | 0.00776 | 0.8274 | 0.01056 | 0.03432 | 0.4964 | 0.00916 | 0.00711 | 265.5 | |
| PE | 1.4037 | 0.78257 | 0.16987 | 0.9371 | 0.24397 | 0.17147 | 0.5086 | 0.10567 | 0.01723 | 387 | |
| 75 | MLE | 1.2035 | 0.01021.5 | 0.00294 | 0.8392 | 0.00442 | 0.04903 | 0.4853 | 0.00231 | 0.02953 | 14.52 |
| LSE | 1.2023 | 0.01084 | 0.00191 | 0.8415 | 0.00584.5 | 0.05196 | 0.4765 | 0.00394.5 | 0.04716 | 265.5 | |
| WLSE | 1.2029 | 0.01053 | 0.00242 | 0.8406 | 0.00543 | 0.05075 | 0.4796 | 0.00303 | 0.04085 | 213 | |
| CME | 1.2063 | 0.01145 | 0.00535 | 0.8404 | 0.00584.5 | 0.05054 | 0.4874 | 0.00394.5 | 0.02522 | 254 | |
| ADE | 1.2031 | 0.01021.5 | 0.00263 | 0.8360 | 0.00381 | 0.04502 | 0.4813 | 0.00262 | 0.03734 | 13.51 | |
| RADE | 1.2089 | 0.01216 | 0.00756 | 0.8335 | 0.00706 | 0.04191 | 0.4911 | 0.00596 | 0.01781 | 265.5 | |
| PE | 1.4539 | 1.10587 | 0.21167 | 0.9042 | 0.24527 | 0.13027 | 0.5445 | 0.23577 | 0.08917 | 427 | |
| 100 | MLE | 1.2039 | 0.00791.5 | 0.00334 | 0.8387 | 0.00393 | 0.04844.5 | 0.4844 | 0.00171 | 0.03124 | 183 |
| LSE | 1.2033 | 0.00844 | 0.00281 | 0.8381 | 0.00494.5 | 0.04773 | 0.4789 | 0.00305 | 0.04207 | 24.54 | |
| WLSE | 1.2035 | 0.00813 | 0.00302.5 | 0.8349 | 0.00382 | 0.04372 | 0.4828 | 0.00213 | 0.03445 | 17.52 | |
| CME | 1.2063 | 0.00885 | 0.00535 | 0.8387 | 0.00494.5 | 0.04844.5 | 0.4861 | 0.00284 | 0.02783 | 265 | |
| ADE | 1.2036 | 0.00791.5 | 0.00302.5 | 0.8335 | 0.00331 | 0.04181 | 0.4827 | 0.00192 | 0.03456 | 141 | |
| RADE | 1.2082 | 0.00916 | 0.00686 | 0.8397 | 0.00796 | 0.04966 | 0.4862 | 0.00446 | 0.02762 | 326 | |
| PE | 1.4382 | 1.01727 | 0.19857 | 0.9844 | 0.57577 | 0.23057 | 0.5034 | 0.09367 | 0.00671 | 367 |
| For α | For β | For λ | |||||||||
|---|---|---|---|---|---|---|---|---|---|---|---|
| n | Methods | Average | MSE | RBIAS | Average | MSE | RBIAS | Average | MSE | RBIAS | ⅀Ranks |
| 25 | MLE | 1.4428 | 0.03311 | 0.03812 | 0.9829 | 0.00963 | 0.09215 | 0.6807 | 0.00291 | 0.02751 | 131 |
| LSE | 1.4047 | 0.03854 | 0.06356 | 0.9687 | 0.01636 | 0.07634 | 0.6764 | 0.02025 | 0.03362 | 276 | |
| WLSE | 1.4064 | 0.03502 | 0.06245 | 0.9842 | 0.01214 | 0.09366 | 0.6658 | 0.00922 | 0.04885 | 245 | |
| CME | 1.4335 | 0.03965 | 0.04433 | 0.9404 | 0.00281 | 0.04493 | 0.7295 | 0.01173.5 | 0.04224 | 19.52 | |
| ADE | 1.4267 | 0.03643 | 0.04884 | 0.9321 | 0.01535 | 0.03571 | 0.7239 | 0.02656 | 0.03423 | 224 | |
| RADE | 1.4666 | 0.05976 | 0.02231 | 0.8654 | 0.00672 | 0.03852 | 0.7771 | 0.01173.5 | 0.11026 | 20.53 | |
| PE | 0.8636 | 0.51697 | 0.42437 | 1.5326 | 2.19757 | 0.70297 | 0.4038 | 0.15327 | 0.42327 | 427 | |
| 50 | MLE | 1.4963 | 0.03256 | 0.00241 | 0.9685 | 0.00751 | 0.07614 | 0.6994 | 0.00671 | 0.00091 | 141 |
| LSE | 1.4562 | 0.02693 | 0.02925 | 0.9273 | 0.00872 | 0.03031 | 0.7050 | 0.01345 | 0.00723 | 192 | |
| WLSE | 1.4606 | 0.02682 | 0.02634 | 0.9817 | 0.01355 | 0.09086 | 0.6665 | 0.01183 | 0.04796 | 266 | |
| CME | 1.4729 | 0.02825 | 0.01803 | 0.9591 | 0.01113 | 0.06563 | 0.7039 | 0.01406 | 0.00562 | 224 | |
| ADE | 1.4734 | 0.02794 | 0.01772 | 0.9808 | 0.01576 | 0.08985 | 0.6740 | 0.00962 | 0.03715 | 245 | |
| RADE | 1.4471 | 0.02441 | 0.03536 | 0.9385 | 0.01164 | 0.04282 | 0.6846 | 0.01244 | 0.02204 | 213 | |
| PE | 1.1279 | 0.52047 | 0.24807 | 1.0101 | 0.19367 | 0.12237 | 0.5719 | 0.10257 | 0.18307 | 427 | |
| 75 | MLE | 1.4633 | 0.00845 | 0.02442 | 0.9213 | 0.00112 | 0.02373 | 0.7251 | 0.00081 | 0.03593 | 161 |
| LSE | 1.4424 | 0.00804 | 0.03846 | 0.8538 | 0.00283 | 0.05135 | 0.7474 | 0.00524 | 0.06785 | 275 | |
| WLSE | 1.4522 | 0.00793 | 0.03184 | 0.8278 | 0.01497 | 0.08026 | 0.8027 | 0.02736 | 0.14676 | 326 | |
| CME | 1.4522 | 0.00721 | 0.03195 | 0.8975 | 0.00091 | 0.00271 | 0.7280 | 0.00705 | 0.04004 | 172.5 | |
| ADE | 1.4569 | 0.00762 | 0.02873 | 0.9749 | 0.01156 | 0.08327 | 0.6756 | 0.00182 | 0.03482 | 224 | |
| RADE | 1.4679 | 0.01086 | 0.02141 | 0.9199 | 0.00584 | 0.02212 | 0.7218 | 0.00223 | 0.03121 | 172.5 | |
| PE | 1.2394 | 0.16987 | 0.17377 | 0.9438 | 0.01105 | 0.04874 | 0.5771 | 0.03957 | 0.17557 | 377 | |
| 100 | MLE | 1.4871 | 0.00331 | 0.00861 | 0.9444 | 0.00391 | 0.04933 | 0.7052 | 0.00251 | 0.00751 | 81 |
| LSE | 1.4644 | 0.00456 | 0.02385 | 0.9620 | 0.01455 | 0.06897 | 0.6829 | 0.00555 | 0.02444 | 325 | |
| WLSE | 1.4686 | 0.00393 | 0.02094 | 0.9616 | 0.00824 | 0.06846 | 0.6812 | 0.00332 | 0.02695 | 244 | |
| CME | 1.4725 | 0.00424 | 0.01833 | 0.9376 | 0.00462 | 0.04181 | 0.7086 | 0.00504 | 0.01233 | 173 | |
| ADE | 1.4742 | 0.00372 | 0.01712 | 0.9477 | 0.00493 | 0.05314 | 0.6942 | 0.00343 | 0.00832 | 162 | |
| RADE | 1.4563 | 0.00435 | 0.02916 | 0.9610 | 0.01526 | 0.06795 | 0.6741 | 0.00716 | 0.03706 | 346 | |
| PE | 1.1429 | 0.43237 | 0.23807 | 0.9383 | 0.17297 | 0.04262 | 0.5923 | 0.07667 | 0.15397 | 377 |
| For α | For β | For λ | |||||||||
|---|---|---|---|---|---|---|---|---|---|---|---|
| n | Methods | Average | MSE | RBIAS | Average | MSE | RBIAS | Average | MSE | RBIAS | ⅀Ranks |
| 25 | MLE | 1.9144 | 0.11774 | 0.06366 | 0.8305 | 0.02031 | 0.03822 | 0.5518 | 0.02975 | 0.10376 | 244 |
| LSE | 1.8347 | 0.09092 | 0.01931 | 0.8433 | 0.02623.5 | 0.05416 | 0.5018 | 0.01491 | 0.00361 | 14.52 | |
| WLSE | 1.8419 | 0.08921 | 0.02332 | 0.8338 | 0.02362 | 0.04234 | 0.5156 | 0.02393 | 0.04232 | 141 | |
| CME | 1.9123 | 0.12745 | 0.06245 | 0.8371 | 0.03245 | 0.04645 | 0.5472 | 0.02444 | 0.09444 | 285 | |
| ADE | 1.8659 | 0.09463 | 0.03663 | 0.8225 | 0.02623.5 | 0.02821 | 0.5319 | 0.02012 | 0.06383 | 15.53 | |
| RADE | 1.9028 | 0.15136 | 0.05714 | 0.8306 | 0.03666 | 0.03833 | 0.5444 | 0.03976 | 0.08885 | 306 | |
| PE | 2.3480 | 3.61297 | 0.30457 | 0.8483 | 0.19837 | 0.06047 | 0.5726 | 0.20517 | 0.14527 | 427 | |
| 50 | MLE | 1.8141 | 0.03701 | 0.00793 | 0.8550 | 0.01784 | 0.06886 | 0.4871 | 0.00671 | 0.02573 | 181 |
| LSE | 1.7836 | 0.04474 | 0.00914 | 0.8312 | 0.01732 | 0.03902 | 0.4867 | 0.01184 | 0.02654 | 202.5 | |
| WLSE | 1.7901 | 0.03873 | 0.00552 | 0.8394 | 0.01773 | 0.04934 | 0.4852 | 0.00993 | 0.02965 | 202.5 | |
| CME | 1.8169 | 0.05065 | 0.00946 | 0.8257 | 0.01661 | 0.03221 | 0.5077 | 0.01406 | 0.01532 | 214 | |
| ADE | 1.7934 | 0.03722 | 0.00371 | 0.8519 | 0.02356 | 0.06495 | 0.4797 | 0.00852 | 0.04056 | 225 | |
| RADE | 1.8163 | 0.05716 | 0.00925 | 0.8343 | 0.01845 | 0.04303 | 0.4973 | 0.01295 | 0.00541 | 256 | |
| PE | 2.3731 | 3.74997 | 0.31847 | 0.9123 | 0.27977 | 0.14047 | 0.5377 | 0.15997 | 0.07547 | 427 | |
| 75 | MLE | 1.8223 | 0.02341 | 0.01244 | 0.8436 | 0.00911 | 0.05456 | 0.4869 | 0.00441 | 0.02615 | 182 |
| LSE | 1.8106 | 0.03214 | 0.00591 | 0.8379 | 0.01446 | 0.04754 | 0.4852 | 0.00795 | 0.02957 | 276 | |
| WLSE | 1.8149 | 0.02783 | 0.00833 | 0.8325 | 0.01242.5 | 0.04071 | 0.4907 | 0.00663 | 0.01854 | 16.51 | |
| CME | 1.8333 | 0.03585 | 0.01855 | 0.8363 | 0.01274 | 0.04543 | 0.4962 | 0.00774 | 0.00752 | 234 | |
| ADE | 1.8133 | 0.02552 | 0.00742 | 0.8385 | 0.01325 | 0.04815 | 0.4864 | 0.00612 | 0.02716 | 223 | |
| RADE | 1.8357 | 0.04166 | 0.01986 | 0.8339 | 0.01242.5 | 0.04242 | 0.4977 | 0.01156 | 0.00461 | 23.55 | |
| PE | 2.2628 | 3.65377 | 0.25717 | 1.0091 | 0.56377 | 0.26147 | 0.5071 | 0.26177 | 0.01423 | 387 | |
| 100 | MLE | 1.8145 | 0.01791 | 0.00814 | 0.8490 | 0.00781 | 0.06136 | 0.4814 | 0.00341 | 0.03736 | 193 |
| LSE | 1.8052 | 0.02304 | 0.00291 | 0.8382 | 0.01075 | 0.04785 | 0.4836 | 0.00554 | 0.03275 | 245 | |
| WLSE | 1.8088 | 0.02013 | 0.00493 | 0.8296 | 0.01034 | 0.03702 | 0.4911 | 0.00473 | 0.01773 | 182 | |
| CME | 1.8218 | 0.02485 | 0.01215 | 0.8378 | 0.01156 | 0.04724 | 0.4928 | 0.00625 | 0.01432 | 276 | |
| ADE | 1.8075 | 0.01922 | 0.00412 | 0.8372 | 0.00892 | 0.04653 | 0.4848 | 0.00432 | 0.03024 | 151 | |
| RADE | 1.8227 | 0.02896 | 0.01266 | 0.8267 | 0.00993 | 0.03341 | 0.4975 | 0.00696 | 0.00511 | 234 | |
| PE | 2.3683 | 3.84997 | 0.31577 | 0.9398 | 0.41607 | 0.17477 | 0.5453 | 0.22677 | 0.09067 | 427 |
| Parameters | MLE | LSE | WLSE | CME | ADE | RADE | PE | |
|---|---|---|---|---|---|---|---|---|
| α = 0.6, β = 0.5, λ = 0.4 | 25 | 1 | 6 | 4 | 5 | 3 | 2 | 7 |
| 50 | 1 | 5.5 | 3 | 5.5 | 4 | 2 | 7 | |
| 75 | 1 | 6 | 2 | 5 | 4 | 3 | 7 | |
| 100 | 1 | 5 | 3 | 6 | 3 | 3 | 7 | |
| α = 0.8, β = 0.6, λ = 0.5 | 25 | 4.5 | 3 | 1 | 2 | 4.5 | 6 | 7 |
| 50 | 1 | 6 | 3 | 4 | 2 | 5 | 7 | |
| 75 | 2.5 | 6 | 2.5 | 5 | 1 | 4 | 7 | |
| 100 | 1.5 | 5.5 | 4 | 5.5 | 1.5 | 3 | 7 | |
| α = 1, β = 0.75, λ = 0.6 | 25 | 3 | 4 | 2 | 6 | 1 | 5 | 7 |
| 50 | 1 | 6 | 3 | 5 | 2 | 4 | 7 | |
| 75 | 1 | 5.5 | 3 | 5.5 | 2 | 4 | 7 | |
| 100 | 1 | 6 | 2 | 5 | 4 | 3 | 7 | |
| α = 1.2, β = 0.8, λ = 0.5 | 25 | 6.5 | 1.5 | 3 | 4 | 1.5 | 5 | 6.5 |
| 50 | 2 | 4 | 3 | 5.5 | 1 | 5.5 | 7 | |
| 75 | 2 | 5.5 | 3 | 4 | 1 | 5.5 | 7 | |
| 100 | 3 | 4 | 2 | 5 | 1 | 6 | 7 | |
| α = 1.5, β = 0.9, λ = 0.7 | 25 | 1 | 6 | 5 | 2 | 4 | 3 | 7 |
| 50 | 1 | 2 | 6 | 4 | 5 | 3 | 7 | |
| 75 | 1 | 5 | 6 | 2.5 | 4 | 2.5 | 7 | |
| 100 | 1 | 5 | 4 | 3 | 2 | 6 | 7 | |
| α = 1.8, β = 0.8, λ = 0.5 | 25 | 4 | 2 | 1 | 5 | 3 | 6 | 7 |
| 50 | 1 | 2.5 | 2.5 | 4 | 5 | 6 | 7 | |
| 75 | 2 | 6 | 1 | 4 | 3 | 5 | 7 | |
| 100 | 3 | 5 | 2 | 6 | 1 | 4 | 7 | |
| ∑Ranks overall rank | 47 | 113 | 71 | 108.5 | 63.5 | 101.5 | 167.5 | |
| 1 | 6 | 3 | 5 | 2 | 4 | 7 |
| Models | PDF Structure | Parameters | Typical HRF Shape |
|---|---|---|---|
| Weibull (We) | α, λ > 0 | Increasing/Decreasing | |
| Gamma (Ga) | α, λ > 0 | Increasing/Decreasing | |
| Entropy Chen (EC) | α, β > 0 | J-shaped/Bathtub | |
| Inverse Power Logistic Exponential (IPLE) | α, β, λ > 0 | Reversed J/Unimodal | |
| Inverse Power Perk (IPP) | α, β, λ > 0 | Reversed J | |
| Inverse Power Entropy Chen (IPEC) | α, β, λ > 0 | Reversed J/Unimodal |
| Models | Estimates | AIC | BIC | CAIC | HQIC | K-S | p-Value |
|---|---|---|---|---|---|---|---|
| IPEC | 35.7898 4.9410 0.3452 | 108.8913 | 112.0248 | 110.303 | 109.5713 | 0.1155 | 0.9421 |
| EC | 0.1389 0.4877 | 114.5252 | 116.6143 | 115.1919 | 114.9786 | 0.2176 | 0.2733 |
| IPP | 23.4405 2.5810 72.6663 | 109.3388 | 112.4724 | 110.7506 | 110.0189 | 0.1287 | 0.8774 |
| We | 2.1788 8.1146 | 112.616 | 114.7051 | 113.2827 | 113.0694 | 0.2097 | 0.3143 |
| IPLE | 1.9308 1.4531 7.6290 | 138.2598 | 141.3934 | 139.6716 | 138.9399 | 0.2544 | 0.1319 |
| Ga | 4.9982 1.4298 | 109.4703 | 113.5594 | 111.137 | 109.9237 | 0.1856 | 0.4649 |
| Models | Estimates | AIC | BIC | CAIC | HQIC | K-S | p-Value |
| IPEC | 91.0159 10.0307 0.19243 | 114.3132 | 117.4467 | 115.7249 | 114.9932 | 0.1623 | 0.6376 |
| EC | 0.07456 0.52686 | 115.9618 | 118.0509 | 116.6285 | 116.4152 | 0.2108 | 0.3083 |
| IPP | 233.472 2.82735 235.893 | 115.3482 | 118.4817 | 116.7599 | 116.0282 | 0.1790 | 0.5115 |
| We | 2.7279 10.050 | 114.5954 | 118.2314 | 115.9236 | 115.0488 | 0.2021 | 0.3575 |
| IPLE | 2.0518 1.5781 14.7604 | 143.4295 | 146.5631 | 144.8413 | 144.1096 | 0.2995 | 0.0462 |
| Ga | 7.0890 1.2578 | 115.3259 | 118.1265 | 116.3215 | 115.2314 | 0.1663 | 0.6066 |
| Models | Estimates | AIC | BIC | CAIC | HQIC | K-S | p-Value |
|---|---|---|---|---|---|---|---|
| IPEC | 4.8977 2.0231 1.1177 | 36.789 | 39.776 | 38.289 | 37.372 | 0.1003 | 0.9878 |
| EC | 0.3969 0.8029 | 48.054 | 50.045 | 48.759 | 48.442 | 0.1909 | 0.4599 |
| IPP | 32519.1 4.0178 6.0218 | 36.817 | 39.805 | 38.317 | 37.401 | 0.1021 | 0.9853 |
| We | 2.7868 2.1301 | 45.1728 | 47.1643 | 45.8787 | 45.5616 | 0.1850 | 0.5003 |
| IPLE | 1.1660 3.5193 2.6903 | 64.531 | 67.518 | 66.031 | 65.114 | 0.3135 | 0.0393 |
| Ga | 9.6698 0.1965 | 39.637 | 41.629 | 40.343 | 40.026 | 0.1734 | 0.5843 |
| Methods | Metrics of Sufficiency | ||||
|---|---|---|---|---|---|
| Estimate | Estimate | Estimate | K-S | p-Value | |
| MLE | 35.7898 | 4.9410 | 0.3452 | 0.1155 | 0.9421 |
| PE | 39.0285 | 10.9562 | 0.1620 | 0.1382 | 0.8174 |
| LSE | 30.8796 | 23.2822 | 0.0694 | 0.1196 | 0.9247 |
| WLSE | 26.5852 | 9.5434 | 0.1615 | 0.1189 | 0.9275 |
| CME | 42.1577 | 13.7784 | 0.1294 | 0.1109 | 0.9583 |
| ADE | 31.1115 | 25.8246 | 0.0629 | 0.1165 | 0.9381 |
| RADE | 34.0649 | 22.0607 | 0.0757 | 0.1147 | 0.9451 |
| Methods | Metrics of Sufficiency | ||||
|---|---|---|---|---|---|
| Estimate | Estimate | Estimate | K-S | p-Value | |
| MLE | 91.0159 | 10.0307 | 0.1924 | 0.1623 | 0.6376 |
| PE | 85.3249 | 18.3659 | 0.1132 | 0.1352 | 0.7496 |
| LSE | 89.3821 | 259.5573 | 0.0073 | 0.1415 | 0.7942 |
| WLSE | 88.0281 | 36.7421 | 0.0516 | 0.1456 | 0.7649 |
| CME | 107.0881 | 277.717 | 0.0071 | 0.1306 | 0.8664 |
| ADE | 86.0834 | 63.8352 | 0.0296 | 0.1527 | 0.7118 |
| RADE | 117.146 | 73.8526 | 0.0275 | 0.1329 | 0.8522 |
| Methods | Metrics of Sufficiency | ||||
|---|---|---|---|---|---|
| Estimate | Estimate | Estimate | K-S | p-Value | |
| MLE | 4.8977 | 2.0231 | 1.1177 | 0.1003 | 0.9878 |
| PE | 4.9927 | 1.0376 | 2.1265 | 0.1151 | 0.9536 |
| LSE | 4.7565 | 3.4354 | 0.6429 | 0.1004 | 0.9881 |
| WLSE | 4.3138 | 1.2673 | 1.6175 | 0.1049 | 0.9804 |
| CME | 5.5224 | 3.7169 | 0.6597 | 0.0923 | 0.9956 |
| ADE | 4.8718 | 0.4042 | 5.5629 | 0.0994 | 0.9891 |
| RADE | 4.9553 | 3.5274 | 0.6463 | 0.0995 | 0.9889 |
Disclaimer/Publisher’s Note: The statements, opinions and data contained in all publications are solely those of the individual author(s) and contributor(s) and not of MDPI and/or the editor(s). MDPI and/or the editor(s) disclaim responsibility for any injury to people or property resulting from any ideas, methods, instructions or products referred to in the content. |
© 2025 by the authors. Licensee MDPI, Basel, Switzerland. This article is an open access article distributed under the terms and conditions of the Creative Commons Attribution (CC BY) license (https://creativecommons.org/licenses/by/4.0/).
Share and Cite
Rammadan, D.A.; Mohamed El Gazar, A.; Hasaballah, M.M.; Balogun, O.S.; Bakr, M.E.; Alshangiti, A.M. Modeling Physical and Medical Lifetime Data Using the Inverse Power Entropy Chen Distribution. Mathematics 2025, 13, 3743. https://doi.org/10.3390/math13233743
Rammadan DA, Mohamed El Gazar A, Hasaballah MM, Balogun OS, Bakr ME, Alshangiti AM. Modeling Physical and Medical Lifetime Data Using the Inverse Power Entropy Chen Distribution. Mathematics. 2025; 13(23):3743. https://doi.org/10.3390/math13233743
Chicago/Turabian StyleRammadan, Dina A., Ahmed Mohamed El Gazar, Mustafa M. Hasaballah, Oluwafemi Samson Balogun, Mahmoud E. Bakr, and Arwa M. Alshangiti. 2025. "Modeling Physical and Medical Lifetime Data Using the Inverse Power Entropy Chen Distribution" Mathematics 13, no. 23: 3743. https://doi.org/10.3390/math13233743
APA StyleRammadan, D. A., Mohamed El Gazar, A., Hasaballah, M. M., Balogun, O. S., Bakr, M. E., & Alshangiti, A. M. (2025). Modeling Physical and Medical Lifetime Data Using the Inverse Power Entropy Chen Distribution. Mathematics, 13(23), 3743. https://doi.org/10.3390/math13233743

