Dynamic, Bifurcation, and Lyapunov Analysis of Fractional Rössler Chaos Using Two Numerical Methods
Abstract
1. Introduction
- For fractional-order chaotic systems, a more precise numerical approximation method (NAM) and a fractional Laplace decomposition method (LDM) are developed for more accurate and stable solutions. Both methods are tailored to fractional dynamics’ memory and sensitivity, making them more stable than typical methods.
- By integrating variable fractional parameters , , and , we investigate the fundamental fractional chaotic system and uncover unexpected and previously unpublished complicated dynamics. This research improves our knowledge of the system’s nonlinear dynamics and shows that fractional orders really drive chaos.
- Recent advances in fractional discretization schemes have increased convergence and reduced numerical dispersion, making the new NAM an effective tool for simulating high-dimensional fractional systems.
- We validate the accuracy, efficiency, and wide applicability of NAM and LDM by applying them to several fractional chaotic systems and comparing the findings to the popular Adams–Bashforth–Moulton (ABM) technique.
- Numerical simulations—time series, bifurcation diagrams, and Lyapunov exponent spectra—show that the suggested approaches can describe delicate system dynamics transitions. These results show that the upgraded NAM and LDM outperform existing numerical methods and lay the groundwork for studying complex fractional-order chaotic processes.
2. Background
3. Proposed Algorithms (NAM)
4. Dynamical Systems
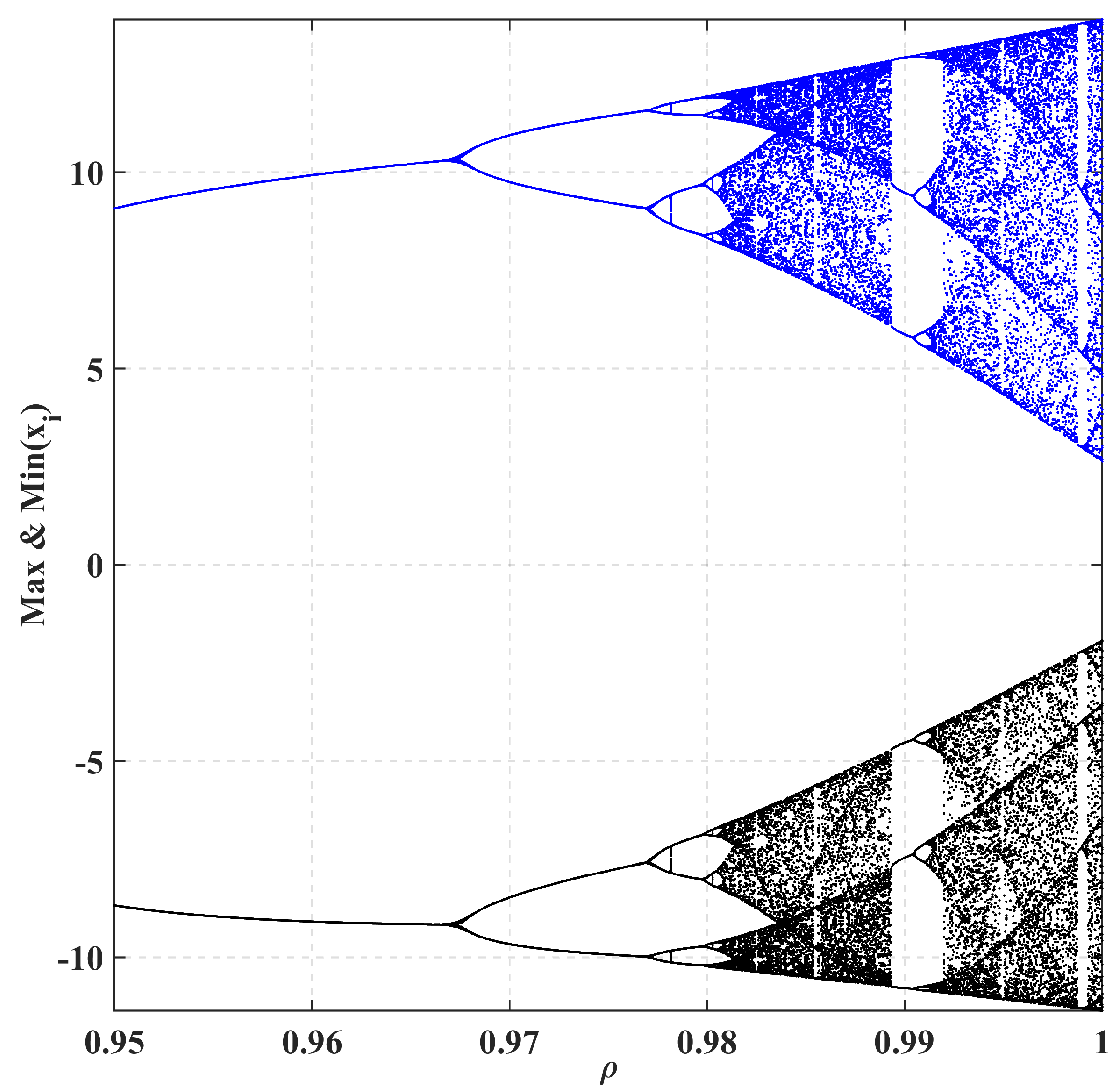
4.1. Bifurcations
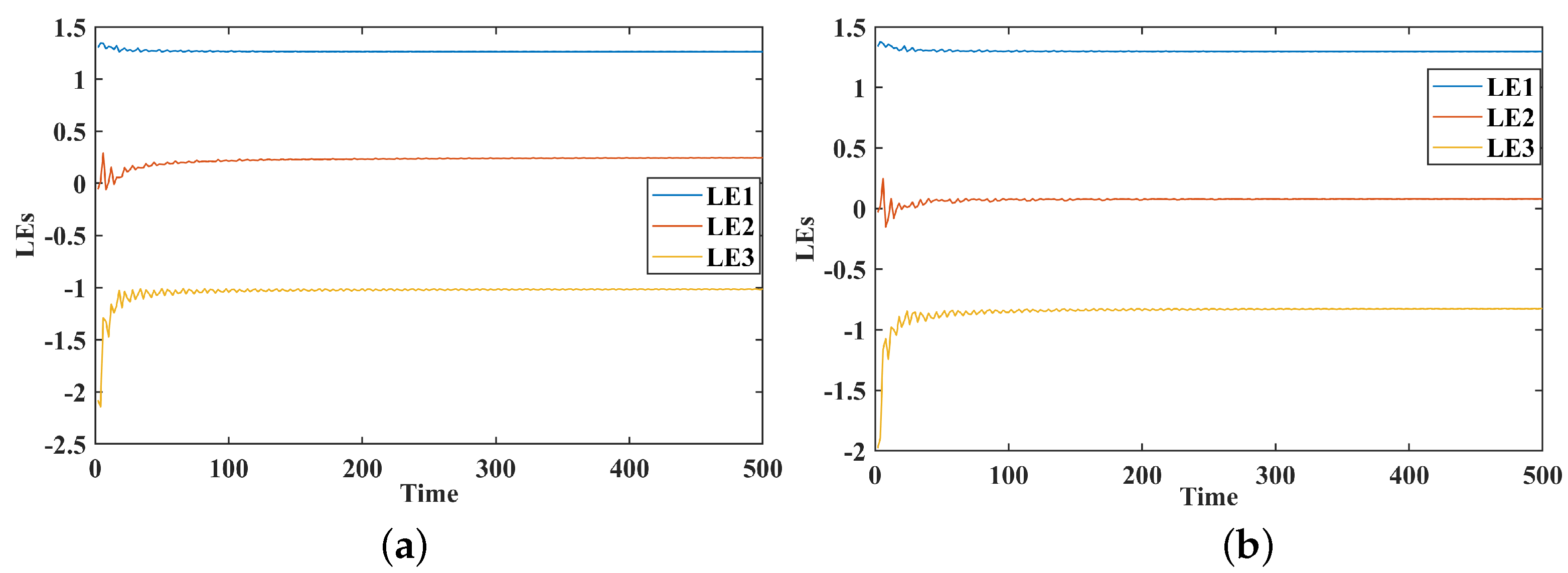
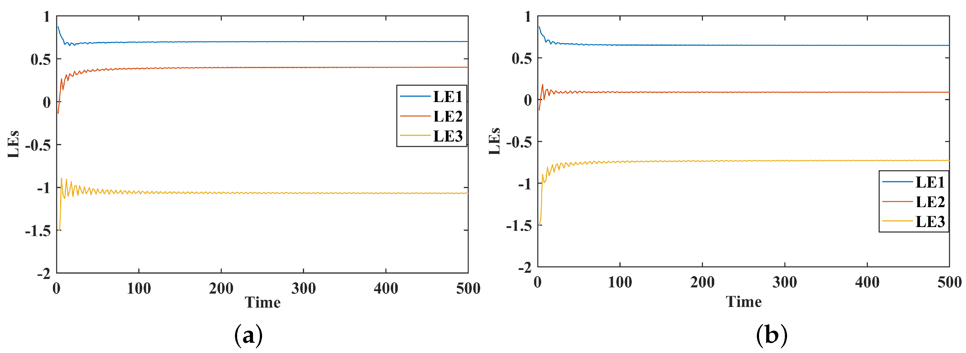
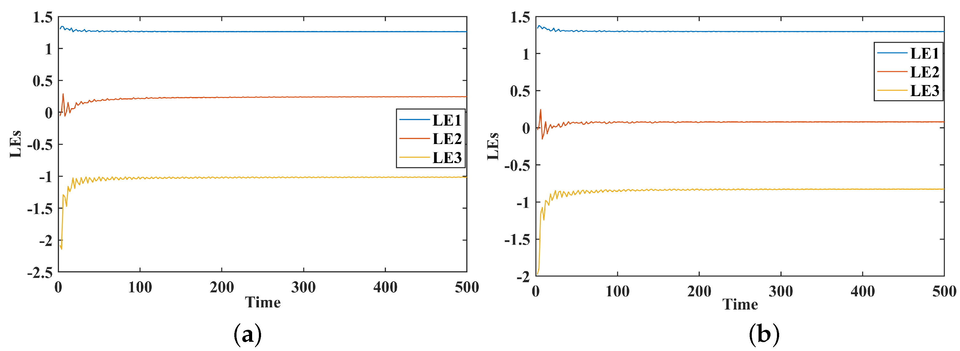
4.2. Lyapunov Exponents
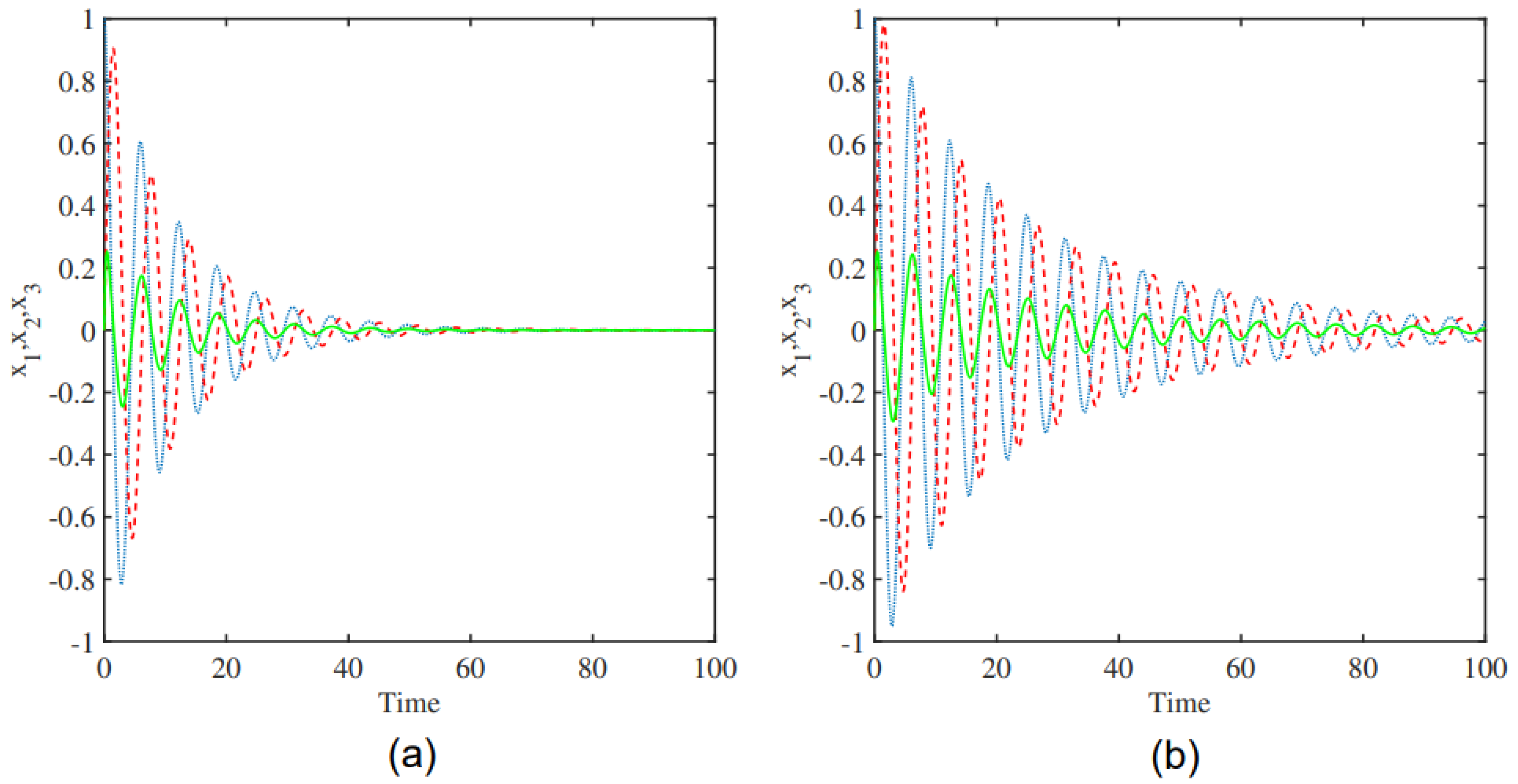
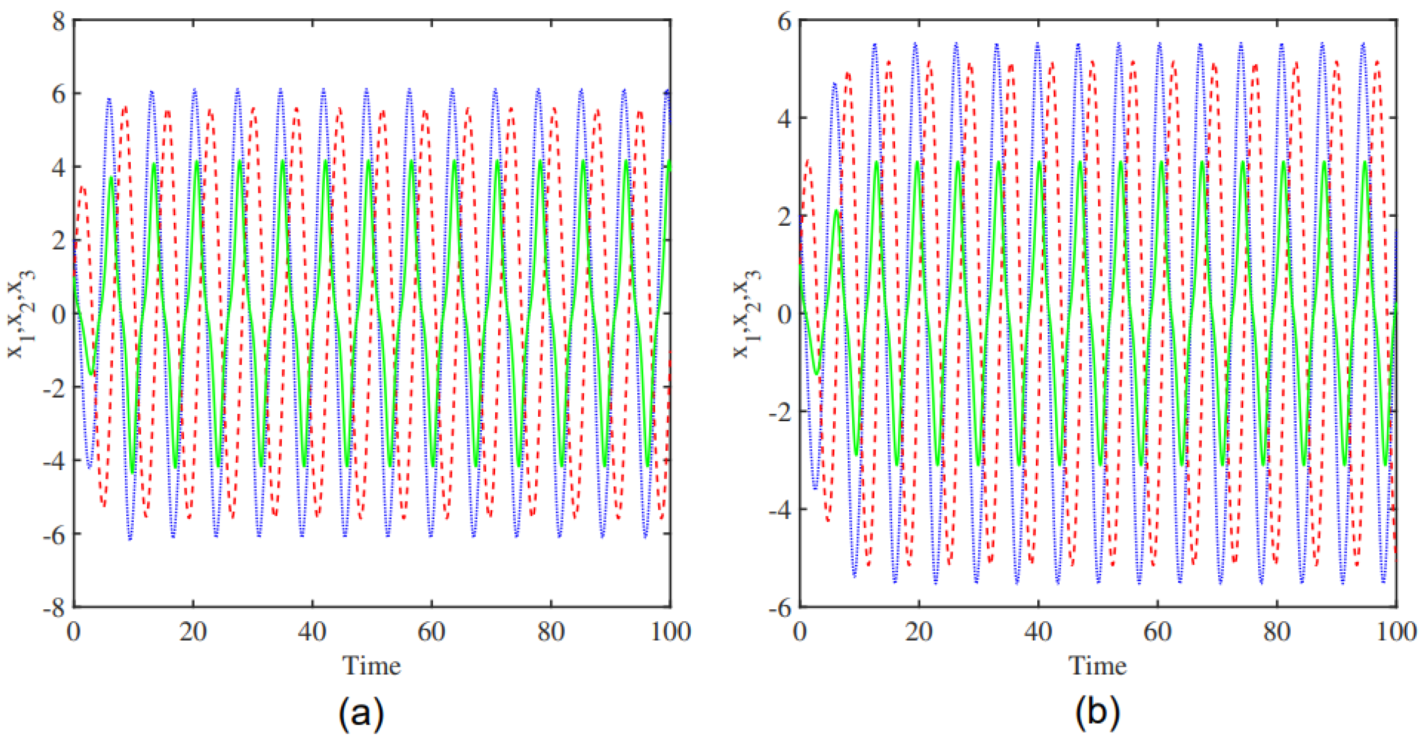
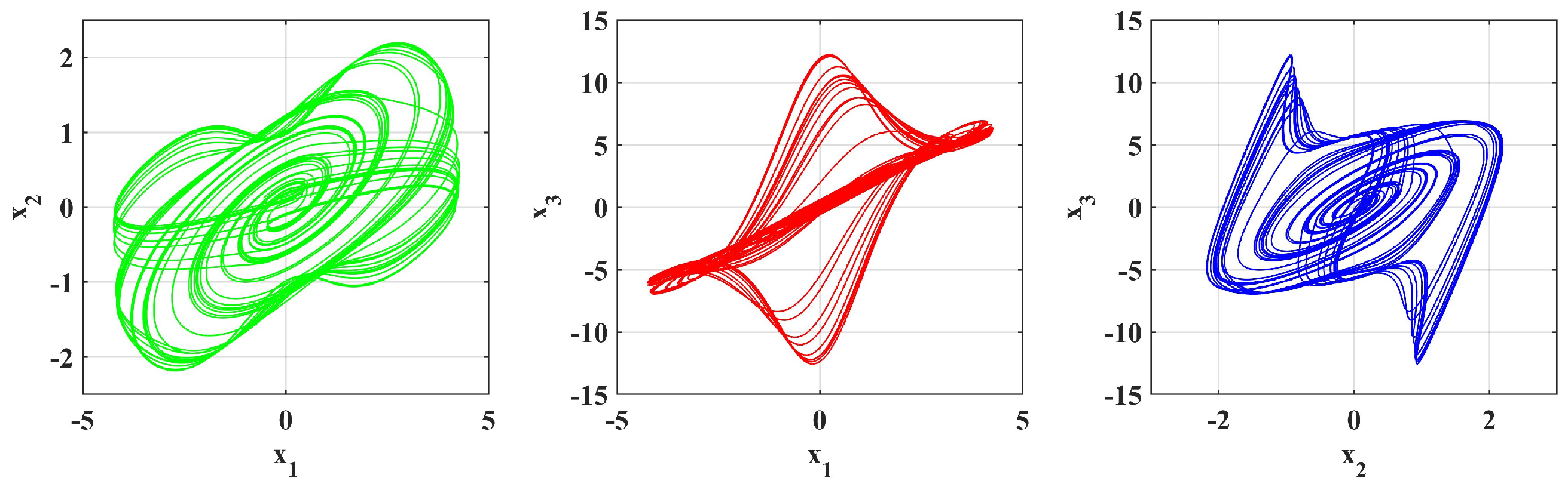
5. Numerical Simulations
Fractional-Order Choas System
6. Application of Laplace Decomposition Method (LDM)
7. Numerical Solutions
8. Validation of the Numerical Method
9. Discussion
10. Conclusions
Author Contributions
Funding
Data Availability Statement
Conflicts of Interest
References
- Das, S.; Nayak, P.C.; Prusty, R.C.; Panda, S. Design of fractional order multistage controller for frequency control improvement of a multi-microgrid system using equilibrium optimizer. Multiscale Multidiscip. Model. Exp. Des. 2024, 7, 1357–1373. [Google Scholar] [CrossRef]
- Boccaletti, S.; Kurths, J.; Osipov, G.; Valladares, D.L.; Zhou, C.S. The Synchronization of Chaotic Systems. Phys. Rep. 2002, 366, 1–101. [Google Scholar] [CrossRef]
- Volos, C.; Akgul, A.; Pham, V.-T.; Stouboulos, I.; Kyprianidis, I. A Simple Chaotic Circuit with a Hyperbolic Sine Function and Its Use in a Sound Encryption Scheme. Nonlinear Dyn. 2017, 89, 1047–1061. [Google Scholar] [CrossRef]
- El-Maksoud, A.J.A.; El-Kader, A.A.A.; Hassan, B.G.; Rihan, N.G.; Tolba, M.F.; Said, L.A.; Radwan, A.G.; Abu-Elyazeed, M.F. FPGA Implementation of Sound Encryption System Based on Fractional-Order Chaotic Systems. Microelectron. J. 2019, 90, 323–335. [Google Scholar] [CrossRef]
- Bingi, K.; Prusty, B.R.; Singh, A.P. A review on fractional-order modelling and control of robotic manipulators. Fractal Fract. 2023, 7, 77. [Google Scholar] [CrossRef]
- Alharbi, S.A.; Abdoon, M.A.; Degoot, A.M.; Alsemiry, R.D.; Allogmany, R.; Guma, F.E.L.; Berir, M. Mathematical modeling of influenza dynamics: A novel approach with SVEIHR and fractional calculus. Int. J. Biomath. 2025, 2450147. [Google Scholar] [CrossRef]
- Abdoon, M.A.; Alzahrani, A.B.M. Comparative analysis of influenza modeling using novel fractional operators with real data. Symmetry 2024, 16, 1126. [Google Scholar] [CrossRef]
- Kumar, S.; Kumar, R.; Cattani, C.; Samet, B. Chaotic behaviour of fractional predator-prey dynamical system. Chaos Solitons Fractals 2020, 135, 109811. [Google Scholar] [CrossRef]
- Baleanu, D.; Karaca, Y.; Vázquez, L.; Macías-Díaz, J.E. Advanced fractional calculus, differential equations and neural networks: Analysis, modeling and numerical computations. Phys. Scr. 2023, 98, 110201. [Google Scholar] [CrossRef]
- Chen, W.; Sun, H.; Li, X. Fractional Derivative Modeling in Mechanics and Engineering; Springer: Berlin/Heidelberg, Germany, 2022. [Google Scholar]
- Rossikhin, Y.A.; Shitikova, M.V. Application of fractional calculus for dynamic problems of solid mechanics: Novel trends and recent results. Appl. Mech. Rev. 2010, 63, 010801. [Google Scholar] [CrossRef]
- Khennaoui, A.A.; Ouannas, A.; Boulaaras, S.; Pham, V.-T.; Azar, A.T. A fractional map with hidden attractors: Chaos and control. Eur. Phys. J. Spec. Top. 2020, 229, 1083–1093. [Google Scholar] [CrossRef]
- Ouannas, A.; Wang, X.; Khennaoui, A.-A.; Bendoukha, S.; Pham, V.T.; Alsaadi, F.E. Fractional form of a chaotic map without fixed points: Chaos, entropy and control. Entropy 2018, 20, 720. [Google Scholar] [CrossRef]
- National Research Council, Division on Earth and Life Studies, Board on Life Sciences, and Committee on Key Challenge Areas for Convergence. Convergence: Facilitating Transdisciplinary Integration of Life Sciences, Physical Sciences, Engineering, and Beyond; National Academies Press: Washington, DC, USA, 2014. [Google Scholar]
- Xu, G.; Shekofteh, Y.; Akgül, A.; Li, C.; Panahi, S. A new chaotic system with a self-excited attractor: Entropy measurement, signal encryption, and parameter estimation. Entropy 2018, 20, 86. [Google Scholar] [CrossRef]
- Berezowski, M.; Lawnik, M. Hidden attractors in discrete dynamical systems. Entropy 2021, 23, 616. [Google Scholar] [CrossRef]
- Rajagopal, K.; Karthikeyan, A.; Duraisamy, P. Hyperchaotic chameleon: Fractional order FPGA implementation. Complexity 2017, 2017, 8979408. [Google Scholar] [CrossRef]
- Kadri, I.; Saadeh, R.S.; AlMutairi, D.M.; Dafaalla, M.E.; Berir, M.; Abdoon, M.A. Analytical and Numerical Investigation of a Fractional Order 4D Chaotic System via Caputo Fractional Derivative. Eur. J. Pure Appl. Math. 2025, 18, 6381. [Google Scholar] [CrossRef]
- Nisar, K.S.; Farman, M.; Abdel-Aty, M.; Ravichandran, C. A review of fractional order epidemic models for life sciences problems: Past, present and future. Alex. Eng. J. 2024, 95, 283–305. [Google Scholar] [CrossRef]
- Pan, I.; Das, S. Intelligent Fractional Order Systems and Control: An Introduction; Springer: Berlin/Heidelberg, Germany, 2012; Volume 438. [Google Scholar]
- Yue, P.; Tang, H.; Li, W.; Zhang, W.; Yan, B. MLKGC: Large Language Models for Knowledge Graph Completion Under Multimodal Augmentation. Mathematics 2025, 13, 1463. [Google Scholar] [CrossRef]
- Shi, J.; Liu, C.; Liu, J. Hypergraph-Based Model for Modelling Multi-Agent Q-Learning Dynamics in Public Goods Games. IEEE Trans. Netw. Sci. Eng. 2024, 11, 6169–6179. [Google Scholar] [CrossRef]
- Jin, W.; Adamatzky, A. Analysis of Parameter Space, Bifurcation and Symbolic Dynamics of Evolutionary Strategies on a One-Dimensional Regular Lattice. Int. J. Bifurcat. Chaos 2025, 35, 2550086. [Google Scholar] [CrossRef]
- Hegazi, A.S.; Ahmed, E.; Matouk, A.E. The effect of fractional order on synchronization of two fractional order chaotic and hyperchaotic systems. J. Fract. Calc. Appl. 2011, 1, 1–15. [Google Scholar]
- Aghababa, M.P. Finite-time chaos control and synchronization of fractional-order nonautonomous chaotic (hyperchaotic) systems using fractional nonsingular terminal sliding mode technique. Nonlinear Dyn. 2012, 69, 247–261. [Google Scholar] [CrossRef]
- Yousri, D.; Mirjalili, S. Fractional-order cuckoo search algorithm for parameter identification of the fractional-order chaotic, chaotic with noise and hyper-chaotic financial systems. Eng. Appl. Artif. Intell. 2020, 92, 103662. [Google Scholar] [CrossRef]
- Leutcho, G.D.; Wang, H.; Kengne, R.; Kengne, L.K.; Njitacke, Z.T.; Fozin, T.F. Symmetry-breaking, amplitude control and constant Lyapunov exponent based on single parameter snap flows. Eur. Phys. J. Spec. Top. 2021, 230, 1887–1903. [Google Scholar] [CrossRef]
- Li, C.; Hu, W.; Sprott, J.C.; Wang, X. Multistability in symmetric chaotic systems. Eur. Phys. J. Spec. Top. 2015, 224, 1493–1506. [Google Scholar] [CrossRef]
- Kadri, I.; Gundogdu, H.; Modawy, Y.M.; Imam, A.; Helal, K.A.; Elshamy, I.; Tahir, R.A. A Comparative Analysis of the Non-linear Time Fractional Whitham-Broer-Kaup Equations under Aboodh Decomposition Transform. Eur. J. Pure Appl. Math. 2025, 18, 6626. [Google Scholar] [CrossRef]
- Caputo, M. Linear models of dissipation whose Q is almost frequency independent—II. Geophys. J. Int. 1967, 13, 529–539. [Google Scholar] [CrossRef]
- Mechee, M.S.; Salman, Z.I.; Alkufi, S.Y. Novel Definitions of α-Fractional Integral and Derivative of the Functions. Iraqi J. Sci. 2023, 64, 5866–5877. [Google Scholar] [CrossRef]
- Podlubny, I. Fractional Differential Equations: An Introduction to Fractional Derivatives, Fractional Differential Equations, to Methods of Their Solution and Some of Their Applications; Elsevier: Amsterdam, The Netherlands, 1998; Volume 198. [Google Scholar]
- Atici, F.M.; Chang, S.; Jonnalagadda, J. Grünwald-Letnikov fractional operators: From past to present. Fract. Differ. Calc. 2021, 11, 147–159. [Google Scholar]
- Katugampola, U.N. New approach to a generalized fractional integral. Appl. Math. Comput. 2011, 218, 860–865. [Google Scholar] [CrossRef]
- Xue, D.; Zhao, C.; Chen, Y. A modified approximation method of fractional order system. In Proceedings of the 2006 International Conference on Mechatronics and Automation, Luoyang, China, 25–28 June 2006; IEEE: New York, NY, USA, 2006; pp. 1043–1048. [Google Scholar]
- Xue, D.; Bai, L. Numerical algorithms for Caputo fractional-order differential equations. Int. J. Control 2017, 90, 1201–1211. [Google Scholar] [CrossRef]
- Zhao, C.; Xue, D. Closed-form solutions to fractional-order linear differential equations. Front. Electr. Electron. Eng. China 2008, 3, 214–217. [Google Scholar] [CrossRef]
- Dai, D.; Li, X.; Li, Z.; Zhang, W.; Wang, Y. Numerical simulation of the fractional-order Lorenz chaotic systems with Caputo fractional derivative. Comput. Model. Eng. Sci. 2023, 135, 1371–1392. [Google Scholar]
- Ilhem, K.; Al Horani, M.; Khalil, R.R. Solution of Non-linear Fractional Burger’s Type Equations Using The Laplace Transform Decomposition Method. Results Nonlinear Anal. 2022, 5, 131–150. [Google Scholar] [CrossRef]
- Berir, M. The Impact of White Noise on Chaotic Behavior in a Financial Fractional System with Constant and Variable Order: A Comparative Study. Eur. J. Pure Appl. Math. 2024, 17, 3915–3931. [Google Scholar] [CrossRef]
- Alharbi, S.A.; Almuallem, N.A. Computational Study of a Fractional-Order HIV Epidemic Model with Latent Phase and Treatment. Fractal Fract. 2025, 9, 28. [Google Scholar] [CrossRef]
- Weilbeer, M. Efficient Numerical Methods for Fractional Differential Equations and Their Analytical Background; Papierflieger: Clausthal-Zellerfeld, Germany, 2006. [Google Scholar]
- Boukedroun, M.; Ayadi, S.; Chita, F.; Ege, M.E.; Ege, O.; Ramaswamy, R. Solutions of nonlinear fractional-order differential equation systems using a numerical technique. Axioms 2025, 14, 233. [Google Scholar] [CrossRef]
- Allogmany, R.; Almuallem, N.A.; Alsemiry, R.D.; Abdoon, M.A. Exploring Chaos in Fractional Order Systems: A Study of Constant and Variable-Order Dynamics. Symmetry 2025, 17, 605. [Google Scholar] [CrossRef]
- Abdoon, M.A. Fractional Derivative Approach for Modeling Chaotic Dynamics: Applications in Communication and Engineering Systems. In Proceedings of the International Conference on Mathematical Modelling, Applied Analysis and Computation, Jaipur, India, 1–3 August 2025; Springer: Berlin/Heidelberg, Germany, 2025; pp. 82–95. [Google Scholar]
- Alsubaie, N.E.; Guma, F.E.L.; Boulehmi, K.; Al-kuleab, N.; Abdoon, M.A. Improving Influenza Epidemiological Models under Caputo Fractional-Order Calculus. Symmetry 2024, 16, 929. [Google Scholar] [CrossRef]



















| t | |||
|---|---|---|---|
| 0 | 1 | 0 | 0 |
| 0.2 | |||
| 0.4 | |||
| 0.6 | |||
| 0.8 | |||
| 1 |
| h | |||
|---|---|---|---|
| 0.01 | |||
| 0.02 | |||
| 0.03 | |||
| 0.04 | |||
| 0.05 | |||
| ABM |
| h | |||
|---|---|---|---|
| 0.01 | |||
| 0.02 | |||
| 0.03 | |||
| 0.04 | |||
| 0.05 |
| 0.10 | 5.59 | 7.91 | 2.27 | 5.02 | 7.03 | 2.94 |
| 0.15 | 3.22 | 8.14 | 2.46 | 3.70 | 9.40 | 2.21 |
| 0.20 | 2.01 | 1.35 | 1.91 | 2.69 | 1.12 | 1.66 |
| 0.25 | 2.23 | 1.53 | 1.21 | 1.91 | 1.27 | 1.25 |
| 0.30 | 1.14 | 1.12 | 1.33 | 1.30 | 1.38 | 1.03 |
Disclaimer/Publisher’s Note: The statements, opinions and data contained in all publications are solely those of the individual author(s) and contributor(s) and not of MDPI and/or the editor(s). MDPI and/or the editor(s) disclaim responsibility for any injury to people or property resulting from any ideas, methods, instructions or products referred to in the content. |
© 2025 by the authors. Licensee MDPI, Basel, Switzerland. This article is an open access article distributed under the terms and conditions of the Creative Commons Attribution (CC BY) license (https://creativecommons.org/licenses/by/4.0/).
Share and Cite
Allogmany, R.; Alzahrani, S.S. Dynamic, Bifurcation, and Lyapunov Analysis of Fractional Rössler Chaos Using Two Numerical Methods. Mathematics 2025, 13, 3642. https://doi.org/10.3390/math13223642
Allogmany R, Alzahrani SS. Dynamic, Bifurcation, and Lyapunov Analysis of Fractional Rössler Chaos Using Two Numerical Methods. Mathematics. 2025; 13(22):3642. https://doi.org/10.3390/math13223642
Chicago/Turabian StyleAllogmany, Reem, and S. S. Alzahrani. 2025. "Dynamic, Bifurcation, and Lyapunov Analysis of Fractional Rössler Chaos Using Two Numerical Methods" Mathematics 13, no. 22: 3642. https://doi.org/10.3390/math13223642
APA StyleAllogmany, R., & Alzahrani, S. S. (2025). Dynamic, Bifurcation, and Lyapunov Analysis of Fractional Rössler Chaos Using Two Numerical Methods. Mathematics, 13(22), 3642. https://doi.org/10.3390/math13223642

