Fractional Modeling of Deep Coal Rock Creep Considering Strong Time-Dependent Behavior
Abstract
1. Introduction
2. Fractional Derivative Analysis of Strong Time-Dependent Rock Behavior
2.1. Characterization of Strong Time-Dependent Behavior in Deep Rock

2.2. Fractional Mechanical Element Considering Strong Time-Dependent Characteristics
3. Establishment of Fractional Creep Model Considering Strong Time-Dependent Behavior
3.1. Characterization of Strong Time-Dependent Behavior in Creep Model
3.2. Establishment of a One-Dimensional Strong Time-Dependent Creep Model
3.3. Establishment of a Three-Dimensional Strong Time-Dependent Creep Model
4. Model Validation and Characterization of Strong Time-Dependent Creep Behavior
4.1. Determination of Creep Model Parameters
4.2. Validation of the Creep Model and Analysis of Strong Time-Dependent Behavior
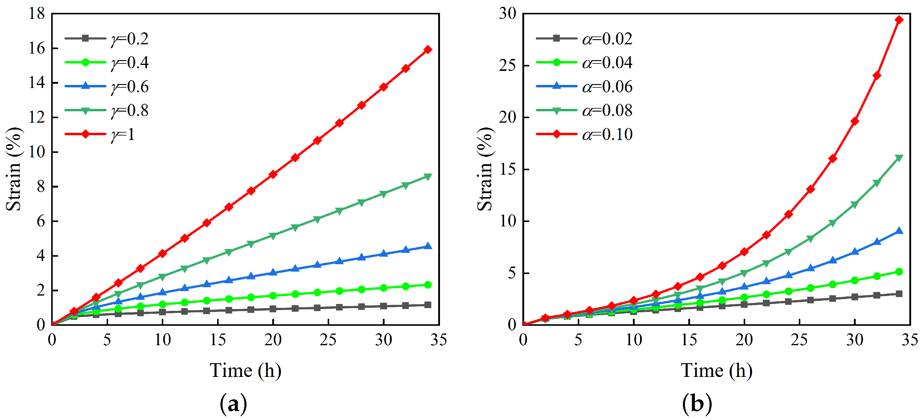
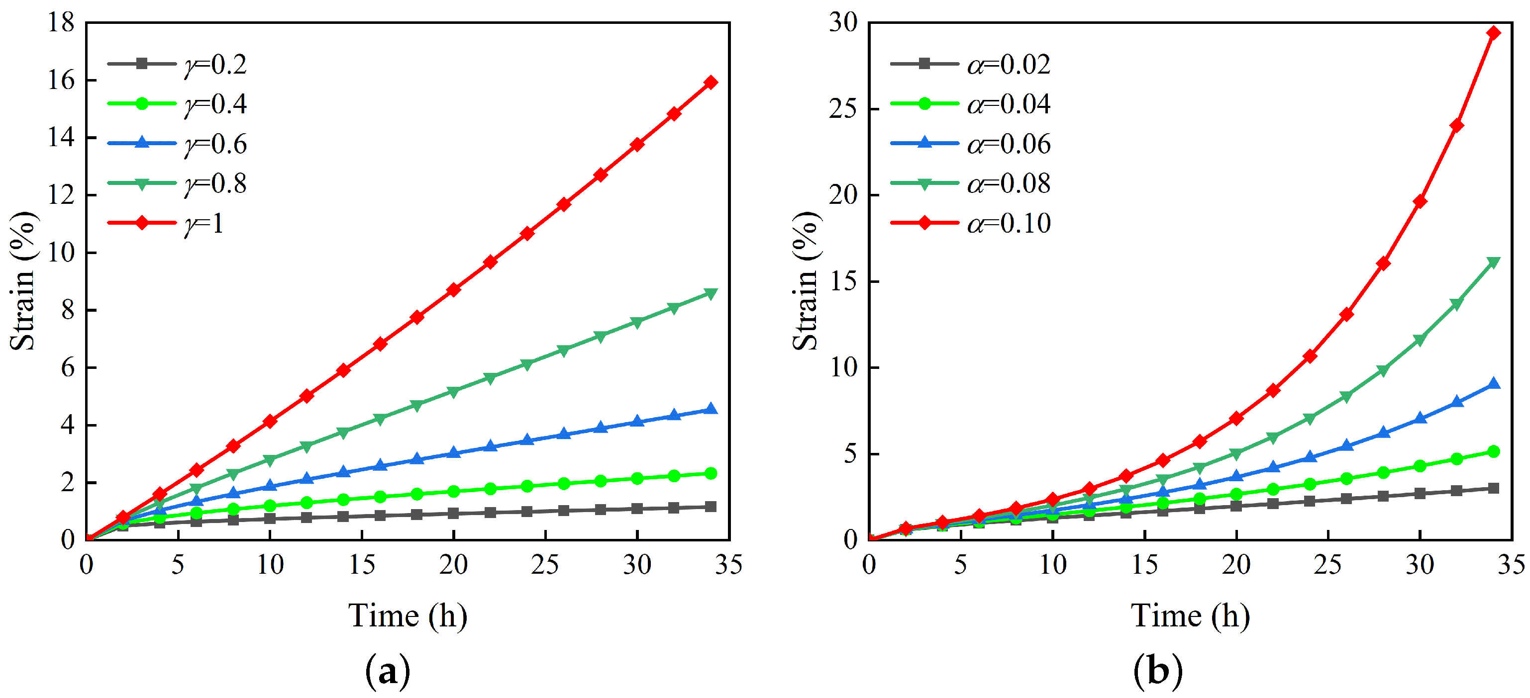
4.3. Parametric Sensitivity Analysis of the Creep Model
5. Conclusions
- (1)
- Based on field measurements of deep rock surrounding roadways and triaxial creep tests under high confining pressures, deep rock exhibits pronounced plastic deformation and strong time-dependent behavior, which can result in large roadway deformations that are difficult to support. These observations reveal the evolutionary patterns of strong time-dependent characteristics in deep rock from a deep engineering perspective.
- (2)
- Considering strong time-dependent effects, deep coal rock creep deviates from conventional behavior, with the actual stress evolving slowly. The stress increment , treated as a stress gradient, was incorporated into a strong time-dependent Abel dashpot element, forming a three-dimensional creep model that effectively represents the strong time-dependent properties of deep coal rock.
- (3)
- The proposed fractional strong time-dependent creep model outperforms the Nishihara and modified Nishihara models in fitting deep coal rock creep data, especially during the nonlinear accelerated-creep stage. By incorporating stress-gradient-induced strain, the model provides a quantitative measure of deep rock’s strong time-dependent behavior. Sensitivity analysis indicates that increasing stress levels, fractional orders, and the strong time-dependent coefficient enhances ultimate creep strain, shortens the steady-state stage, and accelerates the onset of nonlinear creep, reinforcing the strong time-dependent characteristics of deep coal rock.
Author Contributions
Funding
Data Availability Statement
Acknowledgments
Conflicts of Interest
References
- Xie, H.P. Research framework and anticipated results of deep rock mechanics and mining theory. Adv. Eng. Sci. 2017, 49, 1–16. [Google Scholar] [CrossRef]
- Zhou, H.W.; Wang, C.P.; Han, B.B.; Duan, Z.Q. A creep constitutive model for salt rock based on fractional derivatives. Int. J. Rock Mech. Min. Sci. 2011, 48, 116–121. [Google Scholar] [CrossRef]
- Qiao, L.P.; Wang, Z.C.; Liu, J.; Li, W. Internal state variable creep constitutive model for the rock creep behavior. Bull. Eng. Geol. Environ. 2022, 81, 456. [Google Scholar] [CrossRef]
- Lyu, C.; Xu, D.; Liu, J.F.; Ren, Y.; Liang, C.; Zhao, C.X. Investigation on very long-term brittle creep test and creep-damage constitutive model for granite. Acta Geotech. 2023, 18, 3947–3954. [Google Scholar] [CrossRef]
- Hu, S.C.; Zhang, C.X.; Ru, W.K.; Han, J.M.; Guo, S.H.; Zhou, X.D.; Yang, L. Creep properties and energy evolution characteristics of weakly cemented rock under step loading. Int. J. Rock Mech. Min. Sci. 2023, 170, 105428. [Google Scholar] [CrossRef]
- Yang, S.Q.; Tang, J.Z.; Wang, S.S.; Yang, D.S.; Zheng, W.T. An experimental and modeling investigation on creep mechanical behavior of granite under triaxial cyclic loading and unloading. Rock Mech. Rock Eng. 2022, 55, 5577–5597. [Google Scholar] [CrossRef]
- Liu, Y.D.; Zhang, H.J.; Qin, Z.; Chen, X.X.; Liu, W.L. Energy evolution and deformation features of re-loading creep failure in yellow sandstone after cyclic water intrusion. Int. J. Rock Mech. Min. Sci. 2025, 186, 106019. [Google Scholar] [CrossRef]
- Zheng, Z.M.; Yu, Y.; Cheng, P. A modified creep model for rock considering hardening and damage. Mech. Time-Depend. Mater. 2023, 28, 289–301. [Google Scholar] [CrossRef]
- Reyes de Luna, E.; Kryvko, A.; Pascual-Francisco, J.B.; Hernández, I.; Samayoa, D. Generalized Kelvin–Voigt creep model in fractal space-time. Mathematics 2024, 12, 3099. [Google Scholar] [CrossRef]
- Yan, B.Q.; Guo, Q.F.; Ren, F.H.; Cai, M.F. Modified Nishihara model and experimental verification of deep rock mass under the water-rock interaction. Int. J. Rock Mech. Min. Sci. 2020, 128, 104250. [Google Scholar] [CrossRef]
- Zhang, L.; Zhou, H.W.; Wang, X.Y.; Wang, L.; Su, T.; Wei, Q.; Deng, T.F. A triaxial creep model for deep coal considering temperature effect based on fractional derivative. Acta Geotech. 2022, 17, 1739–1751. [Google Scholar] [CrossRef]
- Yang, S.; Song, H.C.; Zhou, H.W.; Xie, S.L.; Zhang, L.; Zhou, W.T. A fractional derivative insight into full-stage creep behavior in deep coal. Fractal Fract. 2025, 9, 473. [Google Scholar] [CrossRef]
- Wu, J.P.; Hu, B.; Li, J.; Zhang, X.Y.; Dai, X.; Cui, K. Fractional-order constitutive modeling of shear creep damage in carbonaceous mud shale: Experimental verification of acoustic emission ringing count rate analysis. Fractal Fract. 2025, 9, 610. [Google Scholar] [CrossRef]
- Yang, S.; Zhou, W.T.; Xie, S.L.; Lei, B.; Song, H.C. Fractional order analysis of creep characteristics of sandstone with multiscale damage. Mathematics 2025, 13, 2551. [Google Scholar] [CrossRef]
- Chen, J.; Lu, D.; Wu, F.; Fan, J.Y.; Liu, W. A non-linear creep constitutive model for salt rock based on fractional derivatives. Therm. Sci. 2019, 23, 773–779. [Google Scholar] [CrossRef]
- Zhou, H.W.; Wang, C.P.; Mishnaevsky, L.; Duan, Z.Q.; Ding, J.Y. A fractional derivative approach to full creep regions in salt rock. Mech. Time-Depend. Mater. 2013, 17, 413–425. [Google Scholar] [CrossRef]
- Gao, Y.F.; Yin, D.S. A full-stage creep model for rocks based on the variable-order fractional calculus. Appl. Math. Model. 2021, 95, 435–446. [Google Scholar] [CrossRef]
- Wu, F.; Liu, J.; Zou, Q.L.; Li, C.B.; Chen, J.; Gao, R.B. A triaxial creep model for salt rocks based on variable-order fractional derivative. Mech. Time-Depend. Mater. 2021, 25, 101–118. [Google Scholar] [CrossRef]
- Zuo, J.P.; Wang, J.T.; Jiang, Y. Macro/meso failure behavior of surrounding rock in deep roadway and its control technology. Int. J. Coal Sci. Technol. 2019, 6, 301–319. [Google Scholar] [CrossRef]
- Yan, L.H.; Chang, J.C.; Shi, W.B.; Wang, T.; Qiao, L.Q.; Guo, Y.J.; Wang, H.D. Creep deformation characteristics and control technology in deep mine soft rock roadway. Geomech. Geophys. Geo-Energy Geo-Resour. 2024, 10, 144. [Google Scholar] [CrossRef]
- Gao, H.; Xie, H.P.; Zhang, Z.T.; Lu, J.; Zhang, D.M.; Zhang, R.; Wu, M.Y. True triaxial energy evolution characteristics and failure mechanism of deep rock subjected to mining-induced stress. Int. J. Rock Mech. Min. Sci. 2024, 176, 105724. [Google Scholar] [CrossRef]
- Yang, Z.L.; Zhang, C.; Yang, D.H. Investigation of the time-dependent stability of a coal roadway under the deep high-stress condition based on the cvisc creep model. Sustainability 2023, 15, 12673. [Google Scholar] [CrossRef]
- Yang, K.Y.; Chen, C.X.; Sun, Y.L.; Xia, K.Z.; Wang, T.L. Mining-induced deformation for a haulage drift of the hanging wall at Jinshandian iron mine in China. Front. Earth Sci. 2023, 10, 998759. [Google Scholar] [CrossRef]
- Xie, S.L.; Zhou, H.W.; Jia, W.H.; Cao, Y.P.; Hu, X.F.; Yue, H.N.; Zhang, L. Effects of creep deformation on the spatial evolution of pore and fracture structures in coal under unloading confining pressure. Int. J. Rock Mech. Min. Sci. 2024, 174, 105658. [Google Scholar] [CrossRef]
- Zhang, L.; Wang, Y.M.; Gao, M.Z.; Jia, W.H.; Xie, S.L.; Hou, W.; Wang, X.Y.; Zhang, H. Spatio-temporal evolution of pore and fracture structures in coal induced by initial damage and creep behavior: A real-time NMR-based approach. Int. J. Min. Sci. Technol. 2024, 34, 1409–1425. [Google Scholar] [CrossRef]
- Li, X.F.; Wu, D.; Wu, M.X. Creep characteristics and fractional rheological model of granite under temperature and disturbance load coupling. Mech. Time-Depend. Mater. 2023, 28, 81–98. [Google Scholar] [CrossRef]
- Xie, H.P.; Gao, M.Z.; Zhang, R.; Peng, G.Y.; Wang, W.Y.; Li, A.Q. Study on the mechanical properties and mechanical response of coal mining at 1000 m or deeper. Rock Mech. Rock Eng. 2019, 52, 1475–1490. [Google Scholar] [CrossRef]
- Xie, H.P. Research review of the state key research development program of China: Deep rock mechanics and mining theory. J. China Coal Soc. 2019, 44, 1283–1305. [Google Scholar] [CrossRef]
- Ping, C.; Wen, Y.D.; Wang, Y.X.; Yuan, H.P.; Yuan, B.X. Study on nonlinear damage creep constitutive model for high-stress soft rock. Environ. Earth Sci. 2016, 75, 900. [Google Scholar] [CrossRef]
- Shan, R.L.; Bai, Y.; Ju, Y.; Han, T.Y.; Dou, H.Y.; Li, Z.L. Study on the triaxial unloading creep mechanical properties and damage constitutive model of red sandstone containing a single ice-filled flaw. Rock Mech. Rock Eng. 2021, 54, 833–855. [Google Scholar] [CrossRef]
- Wu, F.; Zhang, H.; Zou, Q.L.; Li, C.B.; Chen, J.; Gao, R.B. Viscoelastic-plastic damage creep model for salt rock based on fractional derivative theory. Mech. Mater. 2020, 150, 103600. [Google Scholar] [CrossRef]
- Li, X.; Cao, W.G.; Su, Y.H. A statistical damage constitutive model for softening behavior of rocks. Eng. Geol. 2012, 143–144, 1–17. [Google Scholar] [CrossRef]
- Zhou, H.W.; Jia, W.H.; Xie, S.L.; Su, T.; Zhang, L.; Ma, B.W.; Hou, W. A statistical damage-based fractional creep model for Beishan granite. Mech. Time-Depend. Mater. 2023, 27, 163–183. [Google Scholar] [CrossRef]
- Ran, H.; Guo, Y.; Feng, G.; Qi, T.; Du, X. Creep properties and resistivity-ultrasonic-AE responses of cemented gangue backfill column under high-stress area. Int. J. Min. Sci. Technol. 2021, 31, 401–412. [Google Scholar] [CrossRef]
- Ru, W.; Hu, S.; Zhou, A.; Luo, P.; Gong, H.; Zhang, C.; Zhou, X. Study on creep characteristics and nonlinear fractional-order damage constitutive model of weakly cemented soft rock. Rock Mech. Rock Eng. 2023, 56, 8061–8082. [Google Scholar] [CrossRef]
- Jia, W.H.; Zhou, H.W.; Xie, S.L.; Wang, Y.M.; Hu, X.F.; Zhang, L. Pore-pressure and stress-coupled creep behavior in deep coal: Insights from real-time NMR analysis. Int. J. Min. Sci. Technol. 2024, 34, 77–90. [Google Scholar] [CrossRef]
- Lemaitre, J. A continuous damage mechanics model for ductile fracture. J. Eng. Mater. Technol. 1985, 107, 83–89. [Google Scholar] [CrossRef]
- Wu, F.; Gao, R.; Zou, Q.; Chen, J.; Liu, W.; Peng, K. Long-term strength determination and nonlinear creep damage constitutive model of salt rock based on multistage creep test: Implications for underground natural gas storage in salt cavern. Energy Sci. Eng. 2020, 8, 1592–1603. [Google Scholar] [CrossRef]
- Zheng, H.; Cai, Q.; Zhou, W.; Lu, X.; Li, M.; Qi, C.; Jiskani, I.M.; Zhang, Y. Creep behaviours of argillaceous sandstone: An experimental and modelling study. Appl. Sci. 2020, 10, 7602. [Google Scholar] [CrossRef]
- Chen, X.Y.; Wang, X.F.; Zhang, D.S.; Qin, D.D.; Wang, Y.; Wang, J.Y.; Chang, Z.C. Creep and control of the deep soft rock roadway (DSRR): Insights from laboratory testing and practice in Pingdingshan mining area. Rock Mech. Rock Eng. 2022, 55, 363–378. [Google Scholar] [CrossRef]
- Heeres, O.M.; Suiker, A.S.J.; de Borst, R. A comparison between the Perzyna viscoplastic model and the consistency viscoplastic model. Eur. J. Mech. A Solids 2002, 21, 1–12. [Google Scholar] [CrossRef]
- Yang, S.Q.; Xu, P.; Ranjith, P.G. Damage model of coal under creep and triaxial compression. Int. J. Rock Mech. Min. Sci. 2015, 80, 337–345. [Google Scholar] [CrossRef]
- Wang, L.J.; Zhou, H.W.; Cao, Z.G.; Rong, T.L.; Zhang, Y. Strong timeliness characteristics of coal and rock based on nonlinear rheological theory. J. China Coal Soc. 2021, 46, 713–720. [Google Scholar] [CrossRef]










| Creep Model | Rock Type | n | |||||||
|---|---|---|---|---|---|---|---|---|---|
| ST | MS | 7.699 | 0.855 | 0.272 | 9.979 | 908.600 | 0.437 | 1.136 | – | 
| ST | Coal | 1.598 | 4.599 | 1 | 18 | 798.500 | 0.432 | 28.870 | – | 
| IN | Coal | 1.598 | 4.599 | 1 | 18 | 1.500 | 0.556 | – | 39.950 | 
| NM | Coal | 1.598 | 4.599 | 59.760 | 1.330 | 2.641 | 1.000 | – | – | 
| Creep Model | ||
|---|---|---|
| Strong time-dependent creep model | 98.59% | 0.0430 | 
| Improved Nishihara model | 97.10% | 0.2907 | 
| Nishihara model | 96.61% | 0.3403 | 
| Disclaimer/Publisher’s Note: The statements, opinions and data contained in all publications are solely those of the individual author(s) and contributor(s) and not of MDPI and/or the editor(s). MDPI and/or the editor(s) disclaim responsibility for any injury to people or property resulting from any ideas, methods, instructions or products referred to in the content. | 
© 2025 by the authors. Licensee MDPI, Basel, Switzerland. This article is an open access article distributed under the terms and conditions of the Creative Commons Attribution (CC BY) license (https://creativecommons.org/licenses/by/4.0/).
Share and Cite
Yang, S.; Jia, W.; Xie, S.; Wang, H.; An, L. Fractional Modeling of Deep Coal Rock Creep Considering Strong Time-Dependent Behavior. Mathematics 2025, 13, 3247. https://doi.org/10.3390/math13203247
Yang S, Jia W, Xie S, Wang H, An L. Fractional Modeling of Deep Coal Rock Creep Considering Strong Time-Dependent Behavior. Mathematics. 2025; 13(20):3247. https://doi.org/10.3390/math13203247
Chicago/Turabian StyleYang, Shuai, Wenhao Jia, Senlin Xie, Haochen Wang, and Lu An. 2025. "Fractional Modeling of Deep Coal Rock Creep Considering Strong Time-Dependent Behavior" Mathematics 13, no. 20: 3247. https://doi.org/10.3390/math13203247
APA StyleYang, S., Jia, W., Xie, S., Wang, H., & An, L. (2025). Fractional Modeling of Deep Coal Rock Creep Considering Strong Time-Dependent Behavior. Mathematics, 13(20), 3247. https://doi.org/10.3390/math13203247
 
        



 
       