Next Article in Journal
A Minimal CA-Based Model Capturing Evolutionarily Relevant Features of Biological Development
Previous Article in Journal
On Smooth Solution to Three-Dimensional Incompressible Navier–Stokes Equations Based on Numerical Solutions by Finite Element Approximation
Previous Article in Special Issue
An Inventory Service-Level Optimization Problem for a Multi-Warehouse Supply Chain Network with Stochastic Demands
 
 
Font Type:
Arial Georgia Verdana
Font Size:
Aa Aa Aa
Line Spacing:
Column Width:
Background:
Article

Analysis of Blockchain Adoption in Environmental Monitoring Based on Evolutionary Game

School of Maritime Economics and Management, Dalian Maritime University, Dalian 116026, China
*
Author to whom correspondence should be addressed.
Mathematics 2025, 13(19), 3237; https://doi.org/10.3390/math13193237
Submission received: 17 July 2025 / Revised: 30 September 2025 / Accepted: 5 October 2025 / Published: 9 October 2025

Abstract

Environmental monitoring is the basis of environmental protection. China’s existing environmental monitoring system has been relatively perfect, but there are still data fraud and other illegal issues. Blockchain technology can well meet the requirements of environmental monitoring, but there are many obstacles in its adoption process, so this paper combines the characteristics of blockchain technology to integrate the two stakeholders of government and polluting enterprises into a unified model and introduces parameters related to smart contracts and corruption. The dynamic evolutionary game theory, combined with numerical simulation, is used to explore the behavioral decision-making characteristics and change rules of relevant stakeholders. The results show that there are stable conditions for the three strategies. Compared with the development cost of blockchain, the management cost of blockchain has a greater impact on the strategy choice of polluting enterprises because the income of polluting enterprises adopting blockchain technology can greatly affect the strategy choice of polluting enterprises, and there is a positive correlation between the income and the willingness of polluting enterprises to choose blockchain technology; only the construction cost of blockchain will cause fluctuations in the government’s strategy choice, and other factors will not have a greater impact on the government’s choice. This study provides a useful reference for promoting the adoption of blockchain technology in the field of environmental protection.

1. Introduction

Since the reform and opening up, China has officially embarked on the track of modern industrialization, completing the historic leap from a traditional agricultural country to the world’s largest manufacturing country [1]. The rapid growth of industry and manufacturing has injected continuous momentum into the economy, but it has also brought a huge amount of industrial waste. According to the “Annual Report on China’s Ecological Environment Statistics” released by the Ministry of Ecology and Environment, as of 2021, the discharge of chemical oxygen demand in industrial wastewater was 423,000 tons, the discharge of sulfur dioxide in industrial waste gas was 2,097,000 tons, and the production of general industrial solid waste reached as high as 3.97 billion tons. Such a large scale of emissions not only causes a series of hard-to-ignore environmental problems such as smog, water, and soil pollution, but also seriously threatens residents’ health and continuously erodes the ecosystem. How to accurately monitor and effectively control pollutant emissions has become the core problem in current environmental pollution research.
Environmental monitoring is the cornerstone of environmental governance. In recent years, the country has continuously strengthened the supervision of polluting enterprises, and the monitoring intensity of environmental protection departments on enterprise emissions has increased day by day [2]. For a long time, China has implemented a single management model dominated by government-affiliated monitoring institutions [3]. However, this highly centralized monitoring system has led to insufficient transparency of data to the outside world [4], and problems such as fragile electronic evidence, easy tampering, and waste of data management resources have frequently emerged [5], and environmental monitoring fraud incidents have also emerged one after another [6], and the perpetrators not only include enterprise managers and employees but also involve government officials [7]. As the first responsible person for the ecological environment, whether the monitoring data of polluting enterprises is true and reliable directly determines the effectiveness of government environmental governance. Therefore, it is imperative to build a credible environmental monitoring management system [8].
Blockchain technology, with its decentralized, tamper-proof, and transparent characteristics [9], provides new solutions for environmental monitoring. By being put on the chain, monitoring data can be made transparent and traceable throughout the process, and any participant can view and verify it, greatly reducing human intervention and errors, improving the accuracy and credibility of data, and thus effectively solving the existing pain points [10] and promoting the transformation, upgrading, and technological innovation of environmental monitoring.
However, the implementation of blockchain in environmental monitoring scenarios still faces multiple obstacles. On the one hand, monitoring data involves the privacy of enterprises and individuals, while blockchain is essentially a public distributed ledger. How to balance transparency and privacy security is a major problem [11]. On the other hand, the application of blockchain requires certain technical capabilities and resource investment, which poses challenges to monitoring practitioners and regulatory authorities, and it is also necessary to balance technical costs and application difficulties [12]. To break through these bottlenecks, it is necessary to trace the root cause and “prescribe the right medicine”, clarify the adoption willingness of different stakeholders and their influencing factors, which will be the key to solving the problem.
Although blockchain has broad prospects in improving the transparency, security, and efficiency of environmental monitoring [13,14,15,16], existing research mainly focuses on technical feasibility and system design, proposing many blockchain-based frameworks or platforms to strengthen data storage, sharing, and tracing [17,18,19,20,21], and trying to integrate auxiliary technologies such as cloud computing and big data analysis [22,23], or optimize system performance through smart contracts and consensus mechanisms [24,25,26]. However, these studies generally ignore the institutional and behavioral dimensions, especially the roles of key stakeholders such as governments and polluting enterprises in the adoption process. Without a deep understanding of their incentives, risks, and long-term interests, the effective implementation and large-scale promotion of the blockchain environmental monitoring system will be difficult to achieve [27]. Therefore, revealing the behavioral mechanisms behind technology adoption is the key to bridging the gap between technological potential and real-world application.
Based on this, this paper constructs a government–polluting enterprise dual-subject evolutionary game model, incorporating the core characteristics of blockchain, smart contracts, regulatory incentives, and corruption risks into the analysis framework to explore their impact on the strategic choices of both parties. The paper first analyzes the model equilibrium and system stability and then reveals the impact of key parameter changes on the behavior evolution of the participants through numerical simulation. This study not only provides a new theoretical perspective for the literature on environmental governance and technology diffusion but also provides practical insights for formulating policies and strategies to promote the large-scale application of blockchain in environmental monitoring. By resonating technological capabilities with the intrinsic motivations of stakeholders, this paper aims to promote the in-depth implementation of blockchain solutions in real environmental protection scenarios.
The rest of the paper is organized as follows. Section 2 establishes the evolutionary game model between government and polluting enterprises, detailing the model assumptions, parameter symbols, and the resulting payoff matrix. Section 3 conducts the stability analysis. Section 4 presents the simulation study. Section 5 concludes the paper and offers policy implications.

2. Construction of Evolutionary Game Model Between Government and Polluting Enterprise

2.1. Model Parameters

Hypothesis 1.
There are two stakeholders in the adoption of enterprise environmental monitoring blockchain technology: the government and the polluting enterprises. In the process of the game, the two parties consider how to maximize their profits.
Hypothesis 2.
Both the government and the polluting enterprises are bounded rational, that is, they cannot find the optimal strategy through a game, but need to continue the game trial and error until they reach the optimal equilibrium point.
Hypothesis 3.
The government needs to play an active guiding role in the process of adopting the environmental monitoring blockchain technology for polluting enterprises, and needs to take a tough attitude to regulate the behavior of polluting enterprises. The government may be awarded by the superior government and supported by the society for proper environmental governance, so it is willing to actively guide polluting enterprises and vigorously promote blockchain technology. On the contrary, the government may oppose the promotion of blockchain technology because of the exposure of data fraud and corruption after adopting blockchain technology, so the government has two strategic choices of “promoting blockchain technology” and “not promoting blockchain technology”. Polluting enterprises may benefit from the adoption of blockchain technology, and accordingly will bear the risk of data authenticity. Therefore, polluting enterprises have two strategic choices of “adopting blockchain technology” and “not adopting blockchain technology”.
Hypothesis 4.
Suppose the probability that the government chooses to “promote blockchain technology” is  x , and  x 0 , 1 . Then the probability that the government chooses “not to promote blockchain technology” is  1 x . Suppose that the probability of the polluting enterprise choosing to “adopt blockchain technology” is  y , and  y 0 , 1 . Then the probability that the polluting enterprise chooses “not to adopt blockchain technology” is  1 y .
Based on the above assumptions, the parameters of the model are shown in Table 1.
In order to enhance the credibility of the model, the following rational explanations are provided for the selection of the above parameters:
Wang et al. [28] proposed that the government should invest initial costs in environmental governance. In this model, the initial cost of building a blockchain platform for the government, C 1 involves various expenses: investments in blockchain infrastructure platforms, GPS and other related facilities, the Internet of Things, and the cost of training blockchain technicians—these components clearly correspond to real-world environmental monitoring blockchain projects. In analyzing the results of participants’ strategic choices using game theory, Yang et al. [29] found that there are issues of corruption, such as data falsification and industry bribery, in environmental monitoring. Therefore, this model adds parameters L. In addition, government cost subsidies to enterprises have a positive impact on the promotion of environmental monitoring tasks. Therefore, this model adds parameters S and Δ S .
In terms of benefits, governments often enhance their credibility by achieving results in environmental governance. For example, the 2022 publication “Evolutionary Game Analysis of Environmental Behavior of Polluting Enterprises and Local Governments under Public Participation” mentions that when the environmental protection measures promoted by the government are recognized, it will reap reputational benefits. Therefore, this model adds parameters R 1 and R 3 . However, the government’s lack of active promotion of blockchain technology does not mean that companies will earn zero profits under the traditional model. In response to this reality, this model sets parameter R 2 .
Yu et al. [30] suggested that cost is a key consideration for companies when deciding whether to adopt new technologies. Therefore, introduce parameter M 1 and M 2 . They represent the blockchain-related costs borne by polluting enterprises. In real-world scenarios, they represent the capital investment in building internal blockchain systems and the capital investment in introducing new management systems. The choice of parameter E 1 reflects that when considering whether to adopt new technology, companies will compare its benefits with those of traditional models. If blockchain technology does not bring significant benefits, companies may maintain traditional models. In addition, in the market environment, a company’s reputation is very important to its development. Zhang et al. [31] suggested that if a company’s relevant information is transparent and open, the trust value of its partners will increase, which is beneficial to the company’s reputation. Therefore, parameter E 2 is added to this model.
Li et al. [32] proposed that blockchain technology can effectively improve data management efficiency, not only saving labor costs but also reducing the potential risks and costs associated with data errors. Therefore, this model introduces parameters F .

2.2. Establishment of Evolutionary Game Model

2.2.1. Establish a Payoff Matrix for Both Parties Involved in the Game

Starting from the different strategies of each participant, there are 4 strategy combinations available. The payoff matrix for the game between the two parties can be constructed based on the payoff combinations, as shown in Table 2.

2.2.2. Government Replicator Dynamic Equation Calculation

The benefits of the government’s “promoting blockchain technology” and “not promoting blockchain technology” are respectively P 1 and P 2 . According to the calculation in Table 2, the expected benefits of the two strategies of the government can be obtained:
P 1 = y R 1 + R 2 + R 3 C 1 S + 1 y R 1 + R 2 C 2 L
P 2 = y R 2 C 2 L + 1 y R 2 C 2 L
And then calculate the average expected payoff of the government on the choice of the two strategies, P :
P = x P 1 + 1 x P 2 = x y 1 C 2 + L R 1 R 2 + y R 1 C 1 + R 2 + R 3 S y 1 C 2 + L R 2 y C 2 + L R 2 x 1
Further, the government’s replication dynamic equation F(x) can be calculated:
F x = d x d t = x P 1 P = x x 1 R 1 C 1 y + C 2 y + L y + R 3 y S y

2.2.3. Polluting Enterprise Replicator Dynamic Equation Calculation

The benefits of “adopting blockchain technology” and “not adopting blockchain technology” for polluting enterprises are as follows: P 3 and P 4 . According to the calculation in Table 2, the expected revenue of the two strategies can be obtained:
P 3 = x E 1 + E 2 + F + Δ S M 2 + 1 x E 1 + E 2 + F M 1 M 2
P 4 = x E 1 + 1 x E 1
Then the average expected payoff of the two strategies is calculated, P * :
P * = y P 3 + 1 y P 4 = E 1 + E 2 y + F y M 1 y M 2 y + Δ S x y + M 1 x y
Further, the replicated dynamic equation of the polluting enterprise is calculated, F y :
F y = d y d t = y P 3 P * = y y 1 E 2 + F M 1 M 2 + Δ S x + M 1 x

3. Stability Analysis of Evolutionary Game

In the evolutionary game between the government and polluting enterprises, the players are not perfectly rational, and their strategy choices will continuously adjust based on feedback from the game process. Ultimately, the system may converge to a stable strategy state, or it may become stuck in a state of fluctuation or cycling. The core objective of stability analysis is to identify the evolutionary stable strategy to which the game system may ultimately converge as the core reference for the game equilibrium outcome. In this section, we first solve the replicator dynamic equations to identify all possible equilibrium points in the system. Then, we use the determinant and trace of the Jacobian matrix to assess the disturbance resilience of each equilibrium point, ultimately screening out the truly meaningful evolutionary stable strategies that provide a theoretical basis for government decision-making.

3.1. Equilibrium Point Calculation

Simultaneous F x = d x d t = x P 1 P = x x 1 R 1 C 1 y + C 2 y + L y + R 3 y S y = 0 and F y = d y d t = y P 3 P * = y y 1 E 2 + F M 1 M 2 + Δ S x + M 1 x = 0 .
Five equilibrium points 0 , 0 , 1 , 0 , 0 , 1 and 1 , 1 are obtained. x * , y * x * = E 2 + F M 1 M 2 Δ S + M 1 , y * = R 1 C 2 C 1 + L + R 3 S The equilibrium solutions of the two-party evolutionary game are obtained from the replicator dynamic equation, but these equilibrium points are not necessarily the evolutionary equilibrium points of the two-dimensional system composed of the government and the polluting enterprises. If the determinant is greater than zero and the trace is less than zero at the same time, the equilibrium point is the evolutionary stable point of the replicator dynamic equation, that is, the evolutionary stable strategy (ESS).
The local stability of Jacobian matrix can be used to analyze the stability of two replicating dynamic equilibrium points. F x and F y . The Jacobian matrix obtained by partial derivation is:
J = F x x F x y F y x F y y
In the following formula:
F x x = x 1 R 1 C 1 y + C 2 y + L y + R 3 y S y x R 1 C 1 y + C 2 y + L y + R 3 y S y
F x y = x x 1 C 2 C 1 + L + R 3 S
F y x = y Δ S + M 1 y 1
F y y = y E 2 + F M 1 M 2 + Δ S x + M 1 x y 1 E 2 + F M 1 M 2 + Δ S x + M 1 x
The matrix determinant can be obtained as:
det J = x 1 R 1 C 1 y + C 2 y + L y + R 3 y S y x R 1 C 1 y + C 2 y + L y + R 3 y S y × y E 2 + F M 1 M 2 + Δ S x + M 1 x y 1 E 2 + F M 1 M 2 + Δ S x + M 1 x x x 1 C 2 C 1 + L + R 3 S × y Δ S + M 1 y 1
The trace of the matrix is as follows:
t r J = x 1 R 1 C 1 y + C 2 y + L y + R 3 y S y x R 1 C 1 y + C 2 y + L y + R 3 y S y y E 2 + F M 1 M 2 + Δ S x + M 1 x y 1 E 2 + F M 1 M 2 + Δ S x + M 1 x

3.2. Stability Analysis of Each Equilibrium Point

The determinant and trace of each equilibrium point can be obtained by substituting each equilibrium point into Formulas (14) and (15), as shown in Table 3:
According to the calculation, due to the local equilibrium point x * , y * , the value of 0 is not satisfied t r J < 0 , therefore x * , y * does not need to be considered. Table 4 shows the conditions for the remaining equilibrium points to become locally stable points.
According to the local stability of the Jacobian matrix, the evolutionary stable strategy of the system is determined. That is, only when the determinant value of the Jacobian matrix of the system is positive and the trace value is negative, the point has local stability, that is, ESS. When both values are positive, the point is unstable; When its trace value is 0, the point is a saddle point. It can be seen from Table 4 that there are three evolutionary stable strategies in the game system:
0 , 0 , 1 , 0 , 1 , 1 . There is an unstable point 0 , 0 and a saddle point x * , y * . Stable evolution strategy 0 , 0 means that the government does not promote blockchain technology, and polluting enterprises do not choose to adopt blockchain. The instability of this strategy shows that the government and polluting enterprises will not reject blockchain technology at the same time, because both sides can benefit from blockchain technology in environmental monitoring, and will actively explore and apply this technology. The evolutionary stable strategy 0 , 1 means that the government does not promote blockchain technology, while the polluting enterprises choose to adopt blockchain technology. When the polluting enterprises think that the blockchain technology is profitable and the advantages outweigh the disadvantages, even without government intervention, the polluting enterprises will choose to adopt the blockchain technology. Evolutionary stability strategy 1 , 0 means that the government promotes blockchain technology, and polluting enterprises will not choose to adopt blockchain technology. When enterprises think that the risk of adopting blockchain technology is greater than the benefit, even with the guidance of the government, enterprises will not adopt blockchain technology. Subsidies alone may not be enough to attract polluting enterprises, but they need to reward and punish them, formulate stricter regulatory standards and penalties for enterprises that do not adopt blockchain technology, increase the cost and risk of traditional monitoring methods for polluting enterprises, so as to enhance the acceptance of blockchain technology by polluting enterprises. The evolutionary stable strategy 1 , 1 indicates that the government promotes blockchain technology, and the polluting enterprises choose blockchain technology, which is a relatively ideal strategy. The transformation of the monitoring mode of the polluting enterprises needs the active guidance of the government, and both of them are indispensable for the willingness of blockchain technology.

4. Simulation Analysis

4.1. Standards for Result Analysis

The simulation results are evaluated based on the following criteria to quantify the impact of parameters on strategic choices:
1. Convergence Trend: The core standard is whether the probability curve (vertical axis: probability of choosing a strategy; horizontal axis: evolutionary time) stabilizes at 0 (reject) or 1 (adopt) after a certain number of cycles. A stable strategy must show no significant fluctuations after convergence.
2. Sensitivity Degree: Measured by the difference in convergence speed and stability between curves under different parameter values. Larger gaps indicate higher sensitivity of the strategy to that parameter.
3. Threshold Effect: Identified if the strategy shifts from “adopt” to “reject” (or vice versa) when a parameter exceeds a specific value, reflecting a critical point for decision-making.
4. Initial Fluctuation: Evaluates whether the curve shows short-term hesitation (e.g., temporary decline) before converging, which indicates the parameter’s influence on the trial-and-error process of bounded rational subjects.

4.2. Simulation of Evolution Path of Each Equilibrium Point

(1)
0 , 1 point evolution path
It can be seen from Table 4 that the stability condition of the 0 , 1 point is E 2 + F > M 1 + M 2 and C 1 + S > C 2 + L + R 1 + R 3 . Based on this condition, the numerical simulation is carried out by setting C 1 = 12 , C 2 = 5 , R 1 = 5 , R 2 = 10 , R 3 = 2 , M 1 = 10 , M 2 = 6 , L = 4 , E 1 = 6 , E 2 = 9 , F = 8 , S = 5 , Δ S = 5 . The system simulation results are shown in Figure 1.
As can be seen from Figure 1, when the E 2 + F > M 1 + M 2 and C 1 + S > C 2 + L + R 1 + R 3 . Under this condition, the game strategy of polluting enterprises and the government evolves to the equilibrium point 0 , 1 , and finally reaches a stable state, that is, the polluting enterprises finally choose the strategy of “adopting blockchain technology”, and the government finally chooses the strategy of “not promoting blockchain technology”. This is consistent with the above theoretical analysis.
(2)
1 , 0 point evolution path
It can be seen from Table 4 that the stability condition of the 1 , 0 point is R 1 + M 2 > Δ S + E 2 + F and Δ S + E 2 + F < M 2 . Based on this condition, the numerical simulation is carried out by setting C 1 = 12 , C 2 = 5 , R 1 = 5 , R 2 = 10 , R 3 = 2 , M 1 = 10 , M 2 = 6 , L = 4 , E 1 = 6 , E 2 = 9 , F = 8 , S = 5 , Δ S = 5 . The system simulation results are shown in Figure 2.
As can be seen from Figure 2, when the E 2 + F > M 1 + M 2 and C 1 + S > C 2 + L + R 1 + R 3 . Under this condition, the game strategy of polluting enterprises and the government evolves to the equilibrium point 1 , 0 , and finally reaches a stable state, that is, the polluting enterprises finally choose the strategy of “adopting blockchain technology”, and the government finally chooses the strategy of “not promoting blockchain technology”. This is consistent with the above theoretical analysis.
(3)
1 , 1 point evolution path
It can be seen from Table 4 that the stability condition of the 1 , 1 point is M 2 < Δ S + E 2 + F and C 1 + S < C 2 + L + R 1 + R 3 . Based on this condition, the numerical simulation is carried out by setting C 1 = 10 , C 2 = 4 , R 1 = 3 , R 2 = 10 , R 3 = 3 , M 1 = 10 , M 2 = 7 , L = 3 , E 1 = 2 , E 2 = 3 , F = 3 , S = 2 , Δ S = 2 . The system simulation results are shown in Figure 3.
As can be seen from Figure 1, when the M 2 < Δ S + E 2 + F and C 1 + S < C 2 + L + R 1 + R 3 . Under this condition, the game strategy of polluting enterprises and the government evolves to the equilibrium point 1 , 1 , and finally reaches a stable state, that is, the polluting enterprises finally choose the strategy of “adopting blockchain technology”, and the government finally chooses the strategy of “not promoting blockchain technology”. This is consistent with the above theoretical analysis.

4.3. Simulation Analysis of Parameter Sensitivity

In order to explore the influence of the change in each parameter on the strategy selection in the game process more intuitively, this paper uses MATLAB R2022a software to carry out numerical simulation analysis. Drawing lessons from the existing research and combining it with the analysis of practical problems, it is proposed that C 1 = 10 , C 2 = 4 , S = 2 , L = 3 , R 1 = 3 , R 2 = 10 , R 3 = 3 , M 1 = 10 , M 2 = 7 , Δ S = 2 , E 1 = 2 , E 2 = 3 , F = 3 as the initial value for the simulation.

4.3.1. Analysis of Blockchain Development Cost and Management Cost

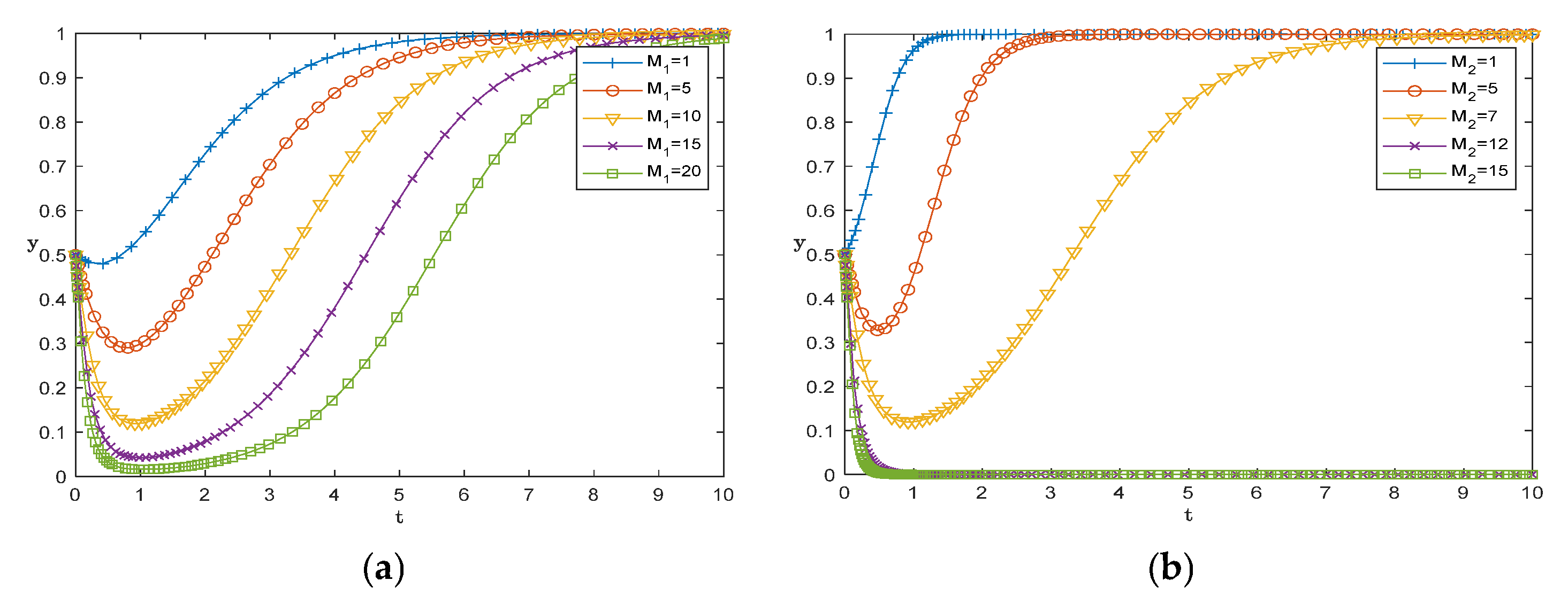
With the other parameters held constant, the development cost of blockchain to be borne by the enterprise M 1 is 1, 5, 10, 15 and 20, respectively, and the management cost to be invested by the enterprise in blockchain M 2 is 1, 5, 7, 12 and 15, respectively. This shows that the government does not force the enterprises to adopt blockchain technology, and the enterprises are required to bear the development cost of blockchain investment, which does not affect their behavior. However, no matter how much the cost increases, companies will still choose to adopt blockchain technology in the end. The high cost of blockchain development is not the reason why companies are reluctant to adopt blockchain technology, as the impact of data falsification or excessive emissions is far more serious than the investment in development.
In Figure 4a, the curves corresponding to different values of M 1 almost overlap, all converging rapidly to 1 (enterprises ultimately choose to adopt). Even when M 1 increases from 1 to 20, there is no significant difference in the trend of the curves, with only a slight slowdown in the convergence speed. In Figure 4b, the smaller the value of M 2 , the faster the curve converges to 1; when M 2 increases, the curve first decreases briefly (enterprises’ strategies waver) and then rises again, eventually still converging to 1, but the convergence cycle is extended to 10–15 cycles. Moreover, when M 2 = 15 , the decline is the most significant. This shows that M 2 has a strong influence on the strategy choice of enterprises. When the management cost is small, enterprises will not hesitate to choose to adopt blockchain technology, and as the management cost increases, enterprises will waver in their willingness to choose to adopt blockchain technology until the cost exceeds the expectation, and then their strategy choice will firmly change to not adopting blockchain technology.
For enterprises, they are more sensitive to the long-term management costs of blockchain (such as operation and maintenance, personnel training), while the initial development costs (such as system construction) have a limited impact. This indicates that policies should focus on reducing enterprises’ long-term management burdens, including establishing a blockchain operation and maintenance sharing platform to share the management costs of small and medium-sized enterprises and conducting free technical training to improve enterprises’ blockchain application capabilities and reduce additional costs caused by operational errors.

4.3.2. Analysis of the Benefits of Increased Credibility of Polluting Companies

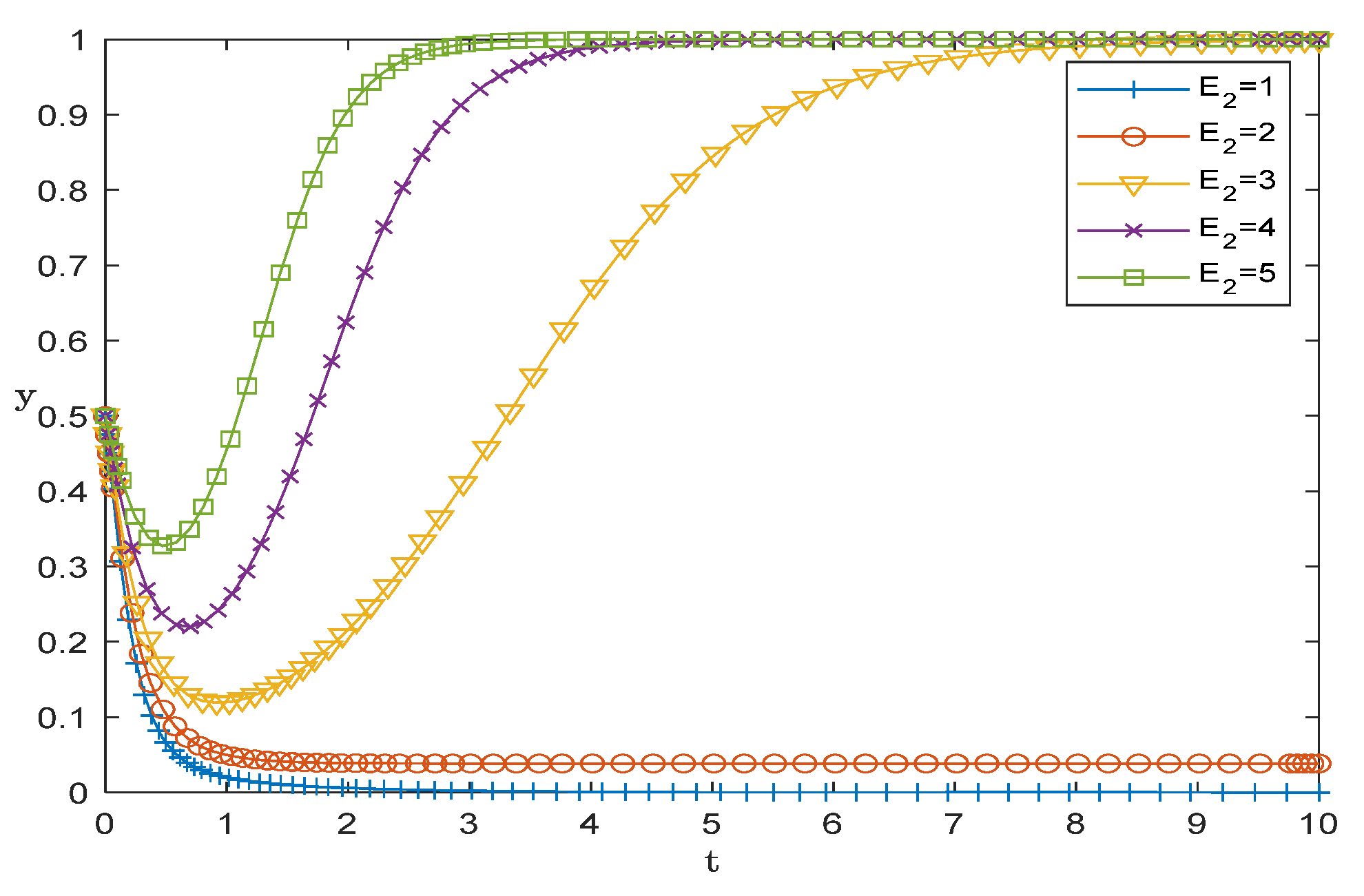
Keeping other parameters constant, the benefits E 2 brought by the improvement of corporate credibility are set to 1, 2, 3, 4, and 5, respectively. From Figure 5, we can see that when the value of E 2 is relatively high, the curve shows a trend of first decreasing and then increasing, and finally converges to 1. The larger the value, the faster the convergence speed. As the value of E 2 continues to decrease, when it drops below a certain threshold, the curve gradually decreases and finally converges to 0. The smaller the value, the faster the convergence speed. We can see that enterprises’ acceptance of blockchain is strongly correlated with the benefits of credibility. And this indicates that the benefits that companies receive due to the improvement of their credibility have a significant impact on their strategic choices. When the benefits are small, companies will be more determined not to adopt blockchain technology, because the high construction and management costs associated with adopting this technology are not worth the relatively small benefits. As the benefits increase, companies may choose to adopt blockchain technology, but they may still hesitate in their initial strategic choices. There are several reasons for this. Firstly, although polluting companies can benefit from adopting blockchain technology, there are still significant risks. Due to the tamper-proof nature of blockchain information, some unscrupulous polluting companies may be exposed for falsifying data, and subsequently punished by the government and society. Secondly, blockchain technology is a relatively new technology, and polluting companies may not be able to predict whether the benefits they will receive are worth changing their traditional business practices. To address these two issues, the government should play an active guiding role, by choosing some companies for pilot projects, continuously improving the management model after companies adopt blockchain technology, and imposing strict regulatory measures on companies that violate regulations to profit illegally. And policies need to strengthen the linkage mechanism between “environmental credit and market returns”. For instance, the emission data certified by blockchain can be linked to enterprises’ credit interest rates and government procurement qualifications, and the quantitative value of E 2 should be clarified. When E 2 exceeds the threshold, enterprises will naturally tend to adopt blockchain.

4.3.3. Analysis of Government Subsidies

Keeping other parameters constant, the subsidy S provided by the government to polluting enterprises and the subsidy Δ S received by polluting enterprises from the government are set to 0.5, 1, 2, 3, and 4, respectively. From Figure 6, we can see that when the value of Δ S is relatively high, the curve shows a trend of first decreasing and then increasing, and finally converges to 1. The larger the value, the faster the convergence speed. As the value of Δ S continues to decrease, when it drops below a certain threshold, the curve gradually decreases and finally converges to 0. The smaller the value, the faster the convergence speed. This indicates that the subsidies that polluting companies receive from the government have a significant impact on their strategic choices. When the subsidies are small, polluting companies will be more determined not to adopt blockchain technology, because the high construction and management costs associated with adopting this technology are not worth the relatively small subsidies. As the subsidies increase, polluting companies may choose to adopt blockchain technology, but they may still hesitate in their initial strategic choices. However, from Figure 7, we can see that although the value of S varies, the five curves almost overlap and converge to 1 at a faster speed. This indicates that government’s subsidies have a significant impact on the strategic choices of polluting enterprises. Regardless of the amount of subsidies, they can promote enterprises to ultimately decide to adopt blockchain technology. Meanwhile, for the government, the amount of subsidies does not affect its determination to encourage enterprises to adopt blockchain technology. As long as subsidies are provided, it can effectively promote enterprises’ acceptance of this technology, thereby facilitating the application and promotion of blockchain technology in the field of environmental monitoring. We can see that indirect subsidies (e.g., tax reductions, technical research and development subsidies) are more effective than direct financial subsidies because they reduce enterprises’ “hidden costs” (e.g., R&D risks) and avoid excessive reliance on short-term funds. The government can provide as much financial support as possible to polluting companies, which can help to improve their willingness to adopt blockchain technology, strengthen regional environmental management, and achieve a win-win governance effect. In terms of policies, a special fund for “blockchain + environmental governance” can be established. Enterprises adopting blockchain can be granted progressive tax rebates based on their emission reduction effects, while simplifying the subsidy application process to reduce operational costs for enterprises.

4.3.4. Analysis of Saved Management Cost

Keeping other parameters constant, the management cost savings F incurred by polluting companies adopting blockchain technology are set to 1, 2, 3, 4, and 5, respectively. From Figure 8, we can see that when the value of F is relatively high, the curve shows a trend of first decreasing and then increasing, and finally converges to 1. The larger the value, the faster the convergence speed. As the value of F continues to decrease, when it drops below a certain threshold, the curve gradually decreases and finally converges to 0. The smaller the value, the faster the convergence speed. By adopting blockchain technology, polluting companies can reduce their management costs for pollution data, while also improving their own production efficiency. Therefore, this parameter has a significant impact on the behavior of polluting companies. As the cost savings increase, companies are more inclined to choose to adopt blockchain technology.
We can see that the management cost savings ( F ) generated by blockchain through functionalities such as automated data reporting and streamlined regulatory integration constitute the core driving force for enterprises. Policies should facilitate the process reengineering of “blockchain + supervision”. For instance, developing standardized data interfaces to enable the automatic synchronization of enterprises’ pollutant discharge data to the systems of environmental protection authorities, thereby reducing the costs associated with manual reporting and verification. Additionally, documents such as Guidelines for Blockchain-based Environmental Data Management could be issued to clarify the quantitative measurement methods for F , enhancing enterprises’ predictability of benefits.

4.3.5. Analysis of Government Indirect Benefits

Assuming that other parameters remain constant, the benefits of government promotion of blockchain technology, as recognized by the public or higher-level government, denoted as R 1 , are set to 1, 2, 3, 4, and 5, respectively. The reputation benefits brought by smart contracts to the government, denoted as R 3 , are set to 1, 2, 3, 5, and 10, respectively. From Figure 9 and Figure 10, it can be seen that both types of benefits converge to 1 at a relatively fast speed, and the convergence speed increases with the increase in benefits. However, the change in the benefits of government recognition by the public or higher-level government is more significant, while the curves of the benefits brought by smart contracts are close to each other. Therefore, for the government, even if the benefits of both types are not high, it will not affect its determination to encourage polluting enterprises to adopt blockchain. Moreover, compared with the benefits brought by smart contracts, the government values more the recognition from the public and higher-level government. This may be because the government’s promotion of blockchain technology, recognized by the public and higher-level government, can bring a series of social and political benefits, strengthen the interaction and communication between the government and the public, and improve the government’s management capabilities in the field of environmental protection. These benefits can to some extent enhance the government’s social reputation and political status, thereby enhancing the government’s authority and influence, and promoting the promotion and application of blockchain technology. In addition, once the government’s promotion of blockchain technology is recognized by the public and higher-level government, more enterprises and institutions will participate in blockchain construction and application, thereby promoting the rapid development and application of blockchain technology. In summary, we can see that the core motivation for governments to promote blockchain lies in recognition from the public and superior authorities, while the technical enabling role of smart contracts needs to be integrated with institutional design. In terms of policies, the effectiveness of blockchain in environmental governance can be incorporated into the government performance evaluation system to enhance the institutional formal value of R 1 . Meanwhile, blockchain monitoring data can be made public through media to strengthen public trust in the government’s environmental protection efforts. Furthermore, standards and specifications for smart contracts can be formulated to clarify the triggering conditions for automatic rewards and punishments (such as automatic fines for excessive emissions). Pilot projects of the “blockchain + smart contract” regulatory model can be carried out to improve government reputation through technical transparency.

4.3.6. Cost Analysis of Government Building Blockchain

Keeping other parameters constant, the cost of government investment in blockchain technology C 1 is set to 1, 5, 10, 15, and 20, respectively. From Figure 11, we can see that when the cost of C 1 is relatively low, the curve converges to 1 at a relatively fast speed, and the curves are close to each other. As C 1 increases, when it exceeds a certain threshold, the curve begins to show inflection points, and the number of inflection points increases with the value. It can be seen that the cost of government investment in blockchain technology C 1 does not affect the government’s strategy choices. When the cost is high, the government may hesitate in the early stages, but it will soon become determined. As time goes by, the government’s willingness to adopt blockchain technology may decrease in the later stages, but it will soon recover. This is because the government has invested a lot of funds and manpower in the early stages of blockchain construction and achieved certain construction and monitoring results. Therefore, the curve shows a trend of first decreasing and then increasing in the initial stage of construction. However, with the continuous development and application of blockchain technology, the government may encounter new challenges and problems in the later stages, such as technology upgrades, security issues, and maintenance costs. These problems may cause the curve to decline again. However, as the government continues to overcome difficulties and promote technology upgrades, the curve will rise again. Therefore, the government needs to consider various factors during the blockchain construction process, continuously optimize construction plans and monitoring mechanisms to ensure the sustained and stable development of construction results. In summary, government blockchain platform construction costs ( C 1 ) may cause governments to hesitate in the short term, but promotion will still proceed in the long run. In terms of policies, it is necessary to optimize the cost-sharing mechanism. For instance, adopting a model of “government guidance + social capital participation” to attract environmental protection enterprises and technology companies to jointly invest in blockchain platforms; implementing phased construction to reduce the pressure of initial investment; and incorporating C 1 into local environmental protection special financial funds to avoid competition with other people’s livelihood expenditures.

4.3.7. Analysis of Government Administration Costs When Not Promoting Blockchain Technology

The cost of managing social stability due to the corruption problems caused by data falsification and bribery in polluting enterprises, denoted as L , is set to 1, 2, 3, 5, and 10, respectively, assuming that the government does not promote blockchain. From Figure 12, it can be seen that all curves corresponding to L values converge to 1 within 5–7 cycles, and the curves almost overlap, only when L = 10, the convergence is slightly slower. Therefore, the cost of government management of social stability is not the main influencing factor in government decision-making. On the one hand, the government can adopt other measures to prevent corruption problems such as data falsification and bribery in polluting enterprises, such as strengthening supervision and increasing punishment, and the cost of these measures may be relatively low, so their impact on decision-making is small. On the other hand, the government’s goal is to protect the environment and the public interest, rather than to take measures to maintain social stability. Therefore, although social stability is an important factor in government decision-making, it is not the only determining factor.

4.4. Summary of Simulation Results

Based on the analysis of the above research results, the following summary table of experimental results can be obtained. As shown in Table 5 (Summary of Simulation Results.

5. Conclusions

This study, through constructing an evolutionary game model between the government and polluting enterprises and combining it with numerical simulation, explores the behavioral decision-making characteristics and evolution rules of stakeholders in the application of blockchain technology in environmental monitoring.
In this exploratory analysis, we find there appear to be three evolutionary stable strategies in the game system: the government does not promote and enterprises do not adopt; the government does not promote but enterprises take the initiative to adopt; and the government promotes and enterprises adopt (the latter seems a relatively ideal strategy within the model’s scope). For polluting enterprises, the management cost of blockchain shows a more notable impact on their strategic choices than the development cost in our simulation. A low management cost tends to prompt enterprises to adopt it quickly in the simulated scenario, and the balance between cost and benefit ultimately shapes their choice trend. Enterprises’ willingness to adopt is positively correlated with the benefits brought by improved credibility, government subsidies, and reduced data management costs in this exploratory study. When these benefits are low in the simulation, enterprises tend to refuse; when the benefits increase, the tendency to adopt strengthens, and the convergence speed of the strategy accelerates. For the government, only the construction cost of blockchain technology causes fluctuations in its strategic choices in our model, while factors such as the cost of social stability management due to corruption when not promoting, and the reputation gains from smart contracts when promoting, have a limited impact on the stability of its long-term strategy as per our exploration. The adopted method of evolutionary game combined with numerical simulation focuses on the dynamic interaction between the government and polluting enterprises, reflecting the “trial-and-error adjustment” process of bounded rational subjects, and is more in line with the logical direction of actual decision-making in this exploratory effort. By introducing parameters related to smart contracts and corruption, the model attempts to connect technical characteristics with institutional factors, making an initial effort to make up for the lack of attention to stakeholders’ willingness in previous technology-oriented studies. Numerical simulation quantitatively reveals the heterogeneous impacts of different factors, such as costs and benefits, on strategic choices in our simulated context, providing a more detailed reference direction for targeted policy formulation.
Based on these exploratory research findings, in practical applications, the government can appropriately increase subsidies to polluting enterprises to reduce their initial adoption costs, but more attention should be paid to helping enterprises reduce long-term management costs, such as providing technical training and platform maintenance support. At the same time, it is necessary to strengthen the publicity of the long-term benefits of blockchain technology (such as improved credibility and data management efficiency) to enhance enterprises’ initiative to adopt it. In addition, the government should reasonably control the construction cost of blockchain platforms to avoid excessive cost fluctuations affecting the stability of promotion strategies.
It is important to clearly acknowledge the limitations of this study. Firstly, the model only involves two types of stakeholders, the government and polluting enterprises, and does not consider other subjects such as third-party monitoring agencies and the public, which may limit the comprehensiveness of the analysis. Secondly, some parameters in the model (such as benefit coefficients) are set based on theoretical assumptions and existing research, lacking verification with large-scale actual data, which may lead to deviations between simulation results and real scenarios. Thirdly, the model does not include the impact of government financial constraints on subsidy capacity, which may reduce the consistency between conclusions and practical decision-making. Future research can be expanded in the following aspects: expanding the game subjects to include third-party institutions or the public to explore the impact of multi-stakeholder interaction on blockchain adoption; collecting actual data through field research or case studies to calibrate model parameters and improve the practical applicability of conclusions; introducing government financial constraint variables into the model to analyze the impact of fiscal pressure on subsidy strategies and blockchain promotion; combining specific technical scenarios (such as different types of blockchain architectures) to explore the matching relationship between technical characteristics and adoption effects.

Author Contributions

L.Z.: conceptualization, methodology, supervision, project administration, visualization, writing—original draft, writing—review and editing. S.H.: conceptualization, formal analysis, methodology, supervision, writing—review and editing, funding acquisition. L.Q.: conceptualization, formal analysis, methodology. K.Z.: data curation, software, validation. All authors have read and agreed to the published version of the manuscript.

Funding

This research was funded by the National Natural Science Foundation of China, grant number 72271038. Also this research was funded by the Liaoning Provincial Social Science Planning Fund of China, grant number L21BGL008.

Data Availability Statement

The original contributions presented in this study are included in the article. Further inquiries can be directed to the corresponding author.

Conflicts of Interest

The authors declare no known competing financial interests or personal relationships that could have appeared to influence the work reported in this paper. This research was supported by the National Natural Science Foundation of China. The funders had no role in the design of the study, collection, analysis, or interpretation of data, writing of the manuscript, or decision to publish the results. All authors contributed to the study conception and design. All authors read and approved the final manuscript.

References

  1. Zhang, D.; Cao, H.B.; Zhao, H. The development course and trend analysis on industrial pollution control. Environ. Eng. 2022, 40, 1–7. [Google Scholar]
  2. Yan, J.R. Discussion on the Role and Application of Environmental Monitoring in Environmental Protection. Resour. Conserv. Environ. Prot. 2019, 11, 36–48. [Google Scholar] [CrossRef]
  3. China Association of Environmental Protection Industry. Environmental Monitoring Services Industry 2019 Development Report. In China Environmental Protection Industry Development Report (2020); China Meteorological Press: Beijing, China, 2020; pp. 272–289. [Google Scholar]
  4. Zhang, L.; Mol, A.P.J.; He, G. Transparency and information disclosure in China’s environmental governance. Curr. Opin. Environ. Sustain. 2016, 18, 17–24. [Google Scholar] [CrossRef]
  5. Bingfang, W.; Xin, Z.; Hongwei, Z.; Miao, Z.; Fuyou, T. Big Data Methods for Environmental Data. Bull. Chin. Acad. Sci. Chin. Version 2018, 33, 804–811. [Google Scholar]
  6. Ye, R.; You, L.; Chen, J.; Lu, F. Analysis of Behavioral Logic and Factors of Environmental Monitoring Data Counterfeiting. J. Nanjing Tech Univ. Soc. Sci. Ed. 2019, 18, 10. [Google Scholar]
  7. Liu, D.; Wang, S. Handling different types of environmental monitoring fraud in multiple ways. Int. J. Environ. Sci. Technol. 2019, 16, 4963–4966. [Google Scholar] [CrossRef]
  8. Idrees, Z.; Zheng, L. Low cost air pollution monitoring systems: A review of protocols and enabling technologies. J. Ind. Inf. Integr. 2020, 17, 100123. [Google Scholar] [CrossRef]
  9. Chen, Y.; Ding, S.; Xu, Z.; Zheng, H.; Yang, S. Blockchain-Based Medical Records Secure Storage and Medical Service Framework. J. Med. Syst. 2018, 43, 5. [Google Scholar] [CrossRef]
  10. Shen, D.; Ruan, M.; Wang, X. Blockchain technology in environmental protection. Sci. Technol. Innov. 2019, 22, 57–58. [Google Scholar]
  11. Biryukov, A.; Khovratovich, D.; Pustogarov, I. Deanonymisation of clients in Bitcoin P2P network. arXiv 2014, arXiv:1405.7418. [Google Scholar] [CrossRef]
  12. Gao, H.Y.; Li, L.X.; Lin, H.; Li, J.; Deng, D.; Li, S.X. Research and application progress of blockchain in area of data integrity protection. J. Comput. Appl. 2021, 41, 745–755. [Google Scholar]
  13. Wong, L.-W.; Leong, L.-Y.; Hew, J.-J.; Tan, G.W.-H.; Ooi, K.-B. Time to seize the digital evolution: Adoption of blockchain in operations and supply chain management among Malaysian SMEs. Int. J. Inf. Manag. 2020, 52, 101997. [Google Scholar] [CrossRef]
  14. Lee, J.-S.; Chew, C.-J.; Liu, J.-Y.; Chen, Y.-C.; Tsai, K.-Y. Medical blockchain: Data sharing and privacy preserving of EHR based on smart contract. J. Inf. Secur. Appl. 2022, 65, 103117. [Google Scholar] [CrossRef]
  15. Wang, O.; Scrimgeour, F. Consumer adoption of blockchain food traceability: Effects of innovation-adoption characteristics, expertise in food traceability and blockchain technology, and segmentation. Br. Food J. 2023, 125, 2493–2513. [Google Scholar] [CrossRef]
  16. Efthymiou, M.; McCarthy, K.; Markou, C.; O’Connell, J.F. An Exploratory Research on Blockchain in Aviation: The Case of Maintenance, Repair and Overhaul (MRO) Organizations. Sustainability 2022, 14, 2643. [Google Scholar] [CrossRef]
  17. Guillaume, C. The environment needs cryptogovernance. Nature 2017, 545, 403–405. [Google Scholar] [CrossRef] [PubMed]
  18. Marsal-Llacuna, M.-L. The people’s smart city dashboard (PSCD): Delivering on community-led governance with blockchain. Technol. Forecast. Soc. Change 2020, 158, 120150. [Google Scholar] [CrossRef]
  19. Guo, M.; Huang, Z.; Wu, L.; Tan, C.L.; Peng, J.; Guo, X.; Chen, H. Application of Blockchain Technology in Environmental Health: Literature Review and Prospect of Visualization Based on CiteSpace. Technologies 2022, 10, 100. [Google Scholar] [CrossRef]
  20. Tong, X.; Li, X.; Tong, L. Research on the Application of Blockchain Technology in the Collaborative Governance of Beijing-Tianjin-Hebei Ecological Environment. Professional Committee on Control and Decision Making for Information Physical Systems, Chinese Society of Automation. In Proceedings of the 33rd Chinese Conference on Control and Decision Making, Kunming, China, 22–24 May 2021; pp. 537–541. [Google Scholar]
  21. Zhang, J.; Li, J.; Ye, D.; Sun, C. The Impact of Digital Economy of Resource-Based City on Carbon Emissions Trading by Blockchain Technology. Comput. Intell. Neurosci. 2022, 2022, 6366061. [Google Scholar] [CrossRef]
  22. Bckel, A.; Nuzum, A.K.; Weissbrod, I. Blockchain for the Circular Economy: Analysis of the Research-Practice Gap. Sustain. Prod. Consum. 2021, 25, 525–539. [Google Scholar] [CrossRef]
  23. Peterson, K.; Deeduvanu, R.; Kanjamala, P.; Boles, K. A blockchain-based approach to health information exchange networks. NIST Workshop Blockchain Healthc. 2016, 11, 1–10. [Google Scholar]
  24. Hu, Q.; Lv, G.; Gao, J.; Fu, D.; Miao, B. Research on the Application of Blockchain Technology in Environmental Monitoring. Chin. J. Environ. Manag. 2022, 14, 21–29. [Google Scholar]
  25. Pilkington, M. Blockchain technology: Principles and applications. In Handbook of Research on Digital Transformations; Edward Elgar Publishing: London, UK, 2015. [Google Scholar]
  26. Zhou, W.; Long, M. Secure Transmission Scheme for Environmental Monitoring Data Based on Blockchain. Comput. Sci. 2020, 47, 315–320. [Google Scholar]
  27. Miller, T.; Durlik, I.; Kostecka, E.; Kozlovska, P.; Łobodzińska, A.; Sokołowska, S.; Nowy, A. Integrating artificial intelligence agents with the internet of things for enhanced environmental monitoring: Applications in water quality and climate data. Electronics 2025, 14, 696. [Google Scholar] [CrossRef]
  28. Wang, Y.; Zhou, X.; Bai, G.; Li, X. Analysis of the Construction of an Enterprise Emergency Management System under Government Supervision: The View of Evolutionary Game Theory. Math. Probl. Eng. 2022, 2022, 4781158. [Google Scholar] [CrossRef]
  29. Yang, Y.; Pu, J.; Yuan, Z.; Cheng, L. Environmental protection tax, environmental monitoring agency behavior and green technology innovation of resource-based enterprises: Empirical evidence from China. Emerg. Mark. Financ. Trade 2024, 60, 1301–1315. [Google Scholar] [CrossRef]
  30. Yu, L.; Yang, M.; Zhang, Z. Introducing blockchain into low-carbon e-commerce supply chains: A differential game analysis in monopoly and oligopoly markets. Int. J. Prod. Res. 2025, 63, 5263–5291. [Google Scholar] [CrossRef]
  31. Zhang, S.; Zhang, X.; Wang, B.; Dan, B. Quality Information Disclosure and Blockchain Technology Adoption of Competitive Suppliers on the Third-Party E-Commerce Platform. J. Theor. Appl. Electron. Commer. Res. 2025, 20, 127. [Google Scholar] [CrossRef]
  32. Li, X.; Huang, Y.; Liu, Y.; Yi, H.; Li, L.; Wu, Y.; Zhang, X.; Yang, X.; Lin, Y.; Lu, D.; et al. Enhancing Data Integrity in Data-Driven Environmental Science Research through Blockchain Technology. Environ. Sci. Technol. 2025, 59, 18696–18705. [Google Scholar] [CrossRef]
Figure 1. 0 , 1 point evolution path.
Figure 1. 0 , 1 point evolution path.
Mathematics 13 03237 g001
Figure 2. 1 , 0 point evolution path.
Figure 2. 1 , 0 point evolution path.
Mathematics 13 03237 g002
Figure 3. 1 , 1 point evolution path.
Figure 3. 1 , 1 point evolution path.
Mathematics 13 03237 g003
Figure 4. (a) Sensitivity analysis of blockchain development costs ( M 1 ) on strategy choices of polluting enterprises (Horizontal axis: evolutionary time; vertical axis: probability that enterprises choose “adopt blockchain”. Legend: M 1 = 1, 5, 10, 15, 20). (b) Sensitivity analysis of blockchain management costs ( M 2 ) on strategy choices of polluting enterprises (Horizontal axis: evolutionary time; vertical axis: probability that enterprises choose “adopt blockchain”. Legend: M 2 = 1, 5, 7, 12, 15).
Figure 4. (a) Sensitivity analysis of blockchain development costs ( M 1 ) on strategy choices of polluting enterprises (Horizontal axis: evolutionary time; vertical axis: probability that enterprises choose “adopt blockchain”. Legend: M 1 = 1, 5, 10, 15, 20). (b) Sensitivity analysis of blockchain management costs ( M 2 ) on strategy choices of polluting enterprises (Horizontal axis: evolutionary time; vertical axis: probability that enterprises choose “adopt blockchain”. Legend: M 2 = 1, 5, 7, 12, 15).
Mathematics 13 03237 g004
Figure 5. Sensitivity analysis of benefits from increased credibility ( E 2 ) of polluting enterprises on strategy choices (Horizontal axis: Evolutionary time; Vertical axis: Probability that enterprises choose “adopt blockchain”; Legend: E 2 = 1, 2, 3, 4, 5).
Figure 5. Sensitivity analysis of benefits from increased credibility ( E 2 ) of polluting enterprises on strategy choices (Horizontal axis: Evolutionary time; Vertical axis: Probability that enterprises choose “adopt blockchain”; Legend: E 2 = 1, 2, 3, 4, 5).
Mathematics 13 03237 g005
Figure 6. Sensitivity analysis of indirect government subsidies ( Δ S ) on the strategy choices of polluting enterprises (Horizontal axis: evolutionary time; vertical axis: probability that enterprises choose “adopt blockchain”; Legend: Δ S = 0.5, 1, 2, 3, 4).
Figure 6. Sensitivity analysis of indirect government subsidies ( Δ S ) on the strategy choices of polluting enterprises (Horizontal axis: evolutionary time; vertical axis: probability that enterprises choose “adopt blockchain”; Legend: Δ S = 0.5, 1, 2, 3, 4).
Mathematics 13 03237 g006
Figure 7. Sensitivity analysis of direct government subsidies ( S ) on the strategy choices of polluting enterprises (Horizontal axis: evolutionary time; vertical axis: probability that enterprises choose “adopt blockchain”; Legend: S = 0.5, 1, 2, 3, 4).
Figure 7. Sensitivity analysis of direct government subsidies ( S ) on the strategy choices of polluting enterprises (Horizontal axis: evolutionary time; vertical axis: probability that enterprises choose “adopt blockchain”; Legend: S = 0.5, 1, 2, 3, 4).
Mathematics 13 03237 g007
Figure 8. Sensitivity analysis of management cost savings ( F ) from polluting enterprises’ adoption of blockchain on strategy choices (Horizontal axis: evolutionary time; vertical axis: probability that enterprises choose “adopt blockchain”; Legend: F = 1, 2, 3, 4, 5).
Figure 8. Sensitivity analysis of management cost savings ( F ) from polluting enterprises’ adoption of blockchain on strategy choices (Horizontal axis: evolutionary time; vertical axis: probability that enterprises choose “adopt blockchain”; Legend: F = 1, 2, 3, 4, 5).
Mathematics 13 03237 g008
Figure 9. Sensitivity analysis of government’s public/superior recognition benefits ( R 1 ) on strategy choices (Horizontal axis: evolutionary time; vertical axis: probability that the government chooses “promote blockchain”; legend: R 1 = 1, 2, 3, 4, 5).
Figure 9. Sensitivity analysis of government’s public/superior recognition benefits ( R 1 ) on strategy choices (Horizontal axis: evolutionary time; vertical axis: probability that the government chooses “promote blockchain”; legend: R 1 = 1, 2, 3, 4, 5).
Mathematics 13 03237 g009
Figure 10. Sensitivity analysis of government’s reputation benefits from smart contracts ( R 3 ) on strategy choices (Horizontal axis: evolutionary time; vertical axis: probability that the government chooses “promote blockchain”; legend: R 3 = 1, 2, 3, 5, 10).
Figure 10. Sensitivity analysis of government’s reputation benefits from smart contracts ( R 3 ) on strategy choices (Horizontal axis: evolutionary time; vertical axis: probability that the government chooses “promote blockchain”; legend: R 3 = 1, 2, 3, 5, 10).
Mathematics 13 03237 g010
Figure 11. Sensitivity analysis of government blockchain platform construction costs ( C 1 ) on strategy choices (Horizontal axis: evolutionary time; vertical axis: probability that the government chooses “promote blockchain”; legend: C 1 = 1, 5, 10, 15, 20).
Figure 11. Sensitivity analysis of government blockchain platform construction costs ( C 1 ) on strategy choices (Horizontal axis: evolutionary time; vertical axis: probability that the government chooses “promote blockchain”; legend: C 1 = 1, 5, 10, 15, 20).
Mathematics 13 03237 g011
Figure 12. Sensitivity analysis of the government’s social stability management costs ( L ) due to not promoting blockchain in strategy choices (Horizontal axis: evolutionary time; vertical axis: probability that the government chooses “promote blockchain”; legend: L = 1, 2, 3, 5, 10).
Figure 12. Sensitivity analysis of the government’s social stability management costs ( L ) due to not promoting blockchain in strategy choices (Horizontal axis: evolutionary time; vertical axis: probability that the government chooses “promote blockchain”; legend: L = 1, 2, 3, 5, 10).
Mathematics 13 03237 g012
Table 1. Symbols and meanings of model parameters.
Table 1. Symbols and meanings of model parameters.
ParameterExplanation of Meaning
C 1 A series of costs that the government needs to invest in the construction of the blockchain platform (such as the investment in the underlying platform of the blockchain, the investment in GPS and other related facilities, the Internet of Things, and the cost of blockchain technology training for personnel)
C 2 The cost of the government’s supervision of pollutant discharge by polluting enterprises
S In order to encourage enterprises to choose to adopt blockchain technology, the government needs to subsidize its cost.
LThe government does not promote the blockchain, which leads to corruption problems such as data fraud and bribery of polluting enterprises, and the cost of managing social stability.
R 1 The government promotes blockchain technology, which is recognized by the public or the superior government.
R 2 When the government does not promote the adoption of blockchain technology, enterprises adopt the original benefits of the traditional model to the society and the government
R 3 The government’s promotion of blockchain technology can facilitate the development of smart contracts that automatically trigger penalties or rewards based on predefined environmental indicators, incentivizing companies to reduce their impact on the environment, thereby generating reputational gains for the government.
M 1 Polluting enterprises choose to adopt blockchain technology, and when the government does not promote blockchain technology, polluting enterprises need to bear the cost of blockchain investment in the development zone.
M 2 Polluting enterprises choose to adopt blockchain technology and need to invest in management costs.
Δ S Polluting enterprises adopt blockchain technology and receive financial subsidies from the government.
E 1 Polluting enterprises do not adopt blockchain to choose the traditional way of income.
E 2 After the polluting enterprises adopt blockchain technology, the partners and regulators of the polluting enterprises can know the polluting situation and treatment effect of the enterprises in real time, and improve the credibility and compliance of the enterprises, thus bringing benefits.
F When polluting enterprises choose to adopt blockchain technology, blockchain can simplify the management of pollutant-related data, automate the reporting and monitoring process, and reduce the indirect benefits of data management costs.
Table 2. Payoff matrix.
Table 2. Payoff matrix.
GovernmentPolluting Enterprises
Adopted ( y )Not adopted ( 1 y )
Promotion ( x ) R 1 + R 2 + R 3 C 1 S ,
E 1 + E 2 + F + Δ S M 2
R 1 + R 2 C 2 L ,
E 1
No Promotion ( 1 x ) R 2 C 2 L ,
E 1 + E 2 + F M 1 M 2
R 2 C 2 L ,
E 1
Table 3. Determinant and trace of the Jacobian matrix corresponding to each equilibrium point.
Table 3. Determinant and trace of the Jacobian matrix corresponding to each equilibrium point.
Equilibrium Point d e J t r J
0 , 0 R 1 E 2 + F M 1 M 2 E 2 + F M 1 M 2 + R 1
0 , 1 E 2 + F M 1 M 2 C 2 C 1 + L + R 1 + R 3 S C 2 C 1 E 2 F + L + M 1 + M 2 + R 1 + R 3 S
1 , 0 R 1 Δ S + E 2 + F M 2 Δ S + E 2 + F M 2 R 1
1 , 1 Δ S + E 2 + F M 2 × C 2 C 1 + L + R 1 + R 3 S
C 1 C 2 Δ S E 2 F L + M 2 R 1 R 3 + S
x * , y * 0
Table 4. Analysis of stability results.
Table 4. Analysis of stability results.
Equilibrium
Point
Stable
Condition
d e J t r J Stability
0 , 0 The stability does not hold??Unstable
0 , 1 E 2 + F > M 1 + M 2 ,
C 1 + S > C 2 + L + R 1 + R 3
+ ESS
1 , 0 R 1 + M 2 > Δ S + E 2 + F ,
Δ S + E 2 + F < M 2
+ ESS
1 , 1 M 2 < Δ S + E 2 + F ,
C 1 + S < C 2 + L + R 1 + R 3
+ ESS
x * , y * 0Saddle point
“+”: Positive det J; “−”: Negative tr J; “?”: Unknown det J/tr J for (0,0) (stability not holding).
Table 5. Summary of Simulation Results.
Table 5. Summary of Simulation Results.
Parameter CategorySpecific ParameterImpact on Polluting Enterprises’ StrategyImpact on Government’s Strategy
Blockchain CostsDevelopment cost ( M 1 )High development costs do not significantly deter adoption; enterprises prioritize long-term benefits over one-time investments.No significant impact; government strategy remains stable regardless of development cost fluctuations.
Management cost ( M 2 )Strong influence: Low management costs accelerate adoption; high costs cause hesitation but may eventually converge to adoption if benefits outweigh costs.No significant impact.
Enterprise BenefitsCredibility improvement benefits ( E 2 )Positive correlation: Higher benefits speed up adoption; benefits below a threshold lead to rejection.No significant impact.
Government subsidies ( S )Positive correlation: Higher subsidies increase adoption willingness; low subsidies may result in rejection.No significant impact; government remains committed to promotion regardless of subsidy amounts.
Management cost savings ( F )Positive correlation: Higher savings accelerate adoption; savings below a threshold reduce willingness.No significant impact.
Government BenefitsPublic/higher-level recognition ( R 1 )No direct impact on enterprises.Positive correlation: Higher recognition speeds up promotion commitment; even low recognition does not deter promotion.
Smart contract reputation benefits ( R 3 )No direct impact on enterprises.Moderate positive correlation: Benefits influence promotion speed but not long-term commitment; less critical than public/higher-level recognition.
Government CostsBlockchain construction cost ( C 1 )No direct impact on enterprises.Causes short-term fluctuations: High costs may lead to initial hesitation, but government eventually resumes promotion due to long-term gains.
Social stability management cost ( L ) (due to corruption without blockchain)No direct impact on enterprises.Minimal impact: Government decisions prioritize environmental goals over social stability costs; other anti-corruption measures mitigate reliance on blockchain.
Disclaimer/Publisher’s Note: The statements, opinions and data contained in all publications are solely those of the individual author(s) and contributor(s) and not of MDPI and/or the editor(s). MDPI and/or the editor(s) disclaim responsibility for any injury to people or property resulting from any ideas, methods, instructions or products referred to in the content.

Share and Cite

MDPI and ACS Style

Zhang, L.; Hu, S.; Qiao, L.; Zhong, K. Analysis of Blockchain Adoption in Environmental Monitoring Based on Evolutionary Game. Mathematics 2025, 13, 3237. https://doi.org/10.3390/math13193237

AMA Style

Zhang L, Hu S, Qiao L, Zhong K. Analysis of Blockchain Adoption in Environmental Monitoring Based on Evolutionary Game. Mathematics. 2025; 13(19):3237. https://doi.org/10.3390/math13193237

Chicago/Turabian Style

Zhang, Lili, Shuolei Hu, Lei Qiao, and Kai Zhong. 2025. "Analysis of Blockchain Adoption in Environmental Monitoring Based on Evolutionary Game" Mathematics 13, no. 19: 3237. https://doi.org/10.3390/math13193237

APA Style

Zhang, L., Hu, S., Qiao, L., & Zhong, K. (2025). Analysis of Blockchain Adoption in Environmental Monitoring Based on Evolutionary Game. Mathematics, 13(19), 3237. https://doi.org/10.3390/math13193237

Note that from the first issue of 2016, this journal uses article numbers instead of page numbers. See further details here.

Article Metrics

Back to TopTop