Non-Contact Pulse Rate Detection Methods Based on Adaptive Projection Plane
Abstract
1. Introduction
2. rPPG Algorithms in Color Space Model
2.1. Spatial Vector Projection
- GREEN [1]: The algorithm directly takes the green channel as the BVP signal, and the projection vector used is [0, 1, 0]. The reason is that different frequencies of light have different abilities to penetrate the skin. Blue light penetrates shallowly and cannot reach the blood vessels, while red light penetrates too strongly. The penetration of green light is proper. Therefore, the reflected light contains the strongest pulse wave information.
- POS [7]: It uses the projection matrix Pp = [0 1 −1; −2 1 1] to obtain the following two projection signals:It is actually a plane orthogonal to the luminance vector [1 1 1] in the color space. Subsequently, “alpha tuning” is performed on the two signals. Since the obtained projection signals show in-phase pulsation components and out-of-phase specular reflection components, the alpha tuning is performed by summing the two signals:where denotes the standard deviation operation.
- ICA [2,3]: It aims to extract the unknown source signal, namely the pulse signal p(t), from a set of observed mixed RGB signals given by , where A represents the demixing matrix. The approximation of the source signal can be expressed as follows:where W is the separation matrix, which is the inverse of A, and is a 3*3 projection matrix. ICA assumes that the components are statistically independent and non-Gaussian. However, this assumption can be violated by skin tone variations or rapid changes in illumination, which can reduce the method’s effectiveness. Typically, the component with the most prominent peak within the PR bandwidth is selected as the final projection vector, namely the second component.
- OMIT [9]: This algorithm generates an orthogonal matrix to represent the linearly uncorrelated components in the RGB signal and utilizes matrix decomposition to extract the pulse signal. The QR decomposition [17] method is employed in the RGB space with Householder reflections to find the linear least squares solution. According to the following equation:where c(t)n*k is the input RGB matrix, Qn*k is an orthogonal basis, and Rk*k is an invertible upper triangular matrix that indicates which columns of Q are correlated. This method has been proven to be robust against video compression artifacts.
2.2. Spatial Angle Projection
- Hue [11,12]: It demonstrates that in addition to the RGB color space, other color spaces can also be used for the pulse extraction because the transformed color space may eliminate some optical interferences. The HSV color space is one of them, in which H stands for hue, reflecting what kind of spectral wavelengths the color is closest to, S stands for saturation, and V stands for luminance. This model is schematically shown in Figure 1.
- This color space naturally separates luminance from color, thus avoiding the interference of colors by conditions such as light and darkness. Moreover, the luminance is more affected by lighting variation and motion, so the plane perpendicular to the luminance will contain less noise interference. So the Hue channel can be directly selected as the target signal. As shown in Figure 1, the Hue channel values obtained in each frame are changed in the color plane perpendicular to the luminance, representing different colors, and the angular change values between frames can be regarded as the amplitude change of the pulse signal.
- SSR [10]: This method believes that the angle values resulting from the temporal rotation of the spatial subspace constructed by all skin pixels in each frame contain pulsation information. It mainly consists of two steps, as shown in Figure 2. The SSR algorithm is a data-driven approach that does not require prior knowledge of skin color or pulsation. The assumption is that there are enough skin pixels in the spatial domain, and these pixels could be clustered together. The performance depends on the number of skin pixels and the accuracy of the skin mask.
- Synthesizing these numerous algorithms and exploring their underlying principles will facilitate the optimization of pulse signal extraction algorithms, which is a crucial research direction. Despite the wide variety of existing algorithms, the distribution of noise and pulse signals in RGB signals remains poorly defined, and a common challenge remains in developing a robust color space model that can adaptively and effectively suppress noise, which is the primary focus of this work.
3. The Adaptive Intermediate Projection Plane
3.1. The Visualization of Noise
3.2. Adaptive-Plane-Orthogonal-to-Noise (APON)
3.3. APON_Vector
3.4. APON_Angle
4. Experimental Results and Discussion
4.1. Experimental Setup
4.2. Results and Discussion
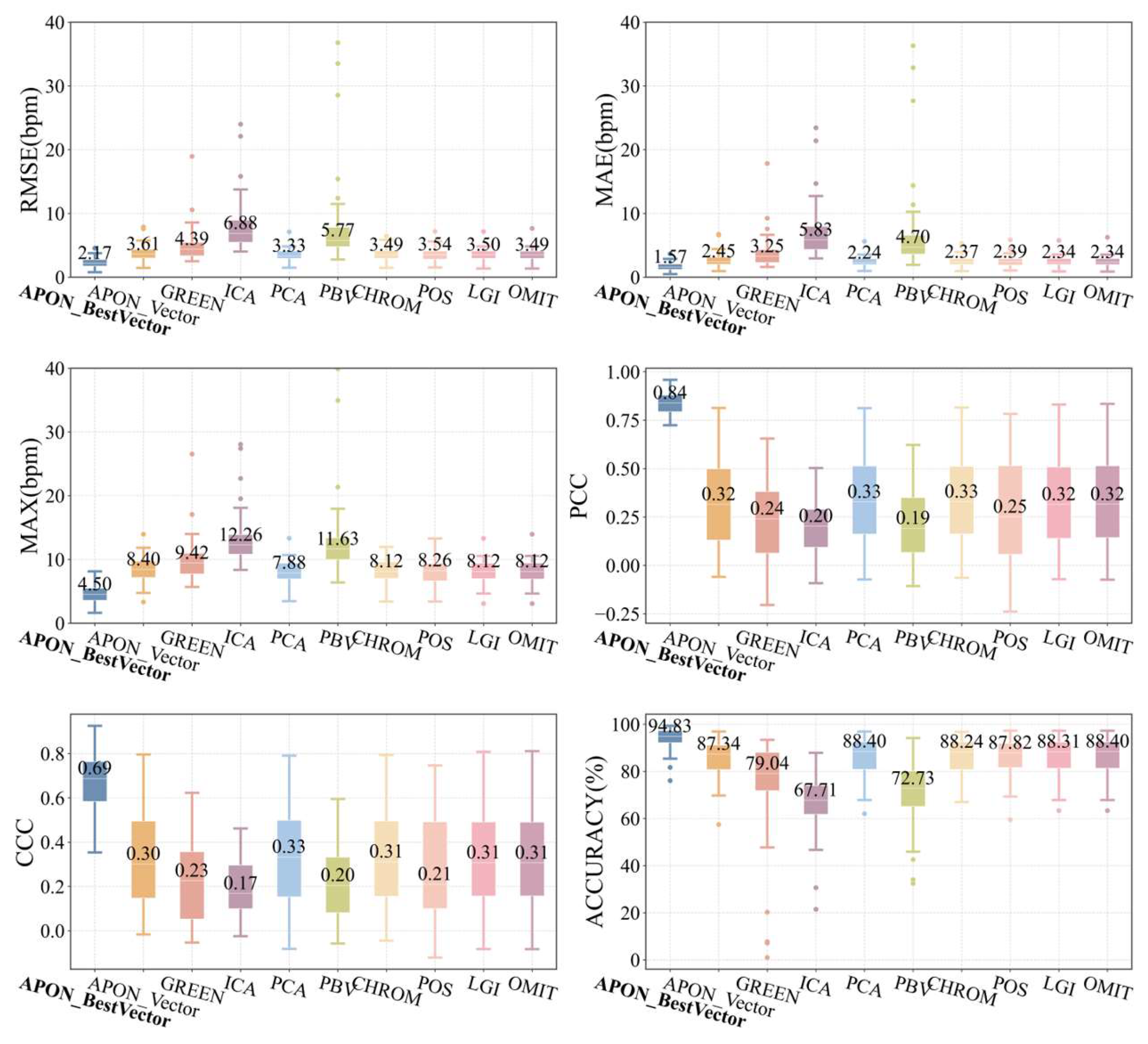
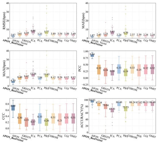
4.2.1. Comparison of APON_Vector with Other Spatial Vector Projection Algorithms
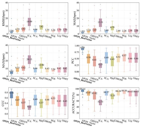
4.2.2. Comparison of APON_Angle with Other Spatial Angle Projection Algorithms
4.2.3. Different Window Lengths for the Adaptive Projection Plane
5. Conclusions
Supplementary Materials
Author Contributions
Funding
Data Availability Statement
Conflicts of Interest
References
- Verkruysse, W.; Svaasand, L.O.; Nelson, J.S. Remote Plethysmographic Imaging Using Ambient Light. Opt Express 2008, 16, 21434–21445. [Google Scholar] [CrossRef]
- Poh, M.-Z.; McDuff, D.J.; Picard, R.W. Non-Contact, Automated Cardiac Pulse Measurements Using Video Imaging and Blind Source Separation. Opt Express 2010, 18, 10762–10774. [Google Scholar] [CrossRef]
- Poh, M.-Z.; McDuff, D.J.; Picard, R.W. Advancements in Noncontact, Multiparameter Physiological Measurements Using a Webcam. IEEE Trans. Biomed. Eng. 2011, 58, 7–11. [Google Scholar] [CrossRef]
- Lewandowska, M.; Rumiński, J.; Kocejko, T.; Nowak, J. Measuring Pulse Rate with a Webcam—A Non-Contact Method for Evaluating Cardiac Activity. In Proceedings of the 2011 Federated Conference on Computer Science and Information Systems (FedCSIS), Szczecin, Poland, 18–21 September 2011; pp. 405–410. [Google Scholar]
- de Haan, G.; Jeanne, V. Robust Pulse Rate From Chrominance-Based rPPG. IEEE Trans. Biomed. Eng. 2013, 60, 2878–2886. [Google Scholar] [CrossRef]
- de Haan, G.; van Leest, A. Improved Motion Robustness of Remote-PPG by Using the Blood Volume Pulse Signature. Physiol. Meas. 2014, 35, 1913. [Google Scholar] [CrossRef]
- Wang, W.; den Brinker, A.C.; Stuijk, S.; de Haan, G. Algorithmic Principles of Remote PPG. IEEE Trans. Biomed. Eng. 2017, 64, 1479–1491. [Google Scholar] [CrossRef]
- Pilz, C.S.; Zaunseder, S.; Krajewski, J.; Blazek, V. Local Group Invariance for Heart Rate Estimation from Face Videos in the Wild. In Proceedings of the IEEE Conference on Computer Vision and Pattern Recognition Workshops, Salt Lake City, UT, USA, 18–22 June 2018; pp. 1254–1262. [Google Scholar]
- Casado, C.Á.; López, M.B. Face2PPG: An Unsupervised Pipeline for Blood Volume Pulse Extraction From Faces. IEEE J. Biomed. Health Inform. 2023, 27, 5530–5541. [Google Scholar] [CrossRef]
- Wang, W.; Stuijk, S.; de Haan, G. A Novel Algorithm for Remote Photoplethysmography: Spatial Subspace Rotation. IEEE Trans. Biomed. Eng. 2016, 63, 1974–1984. [Google Scholar] [CrossRef]
- Tsouri, G.R.; Li, Z. On the Benefits of Alternative Color Spaces for Noncontact Heart Rate Measurements Using Standard Red-Green-Blue Cameras. JBO 2015, 20, 48002. [Google Scholar] [CrossRef]
- Ernst, H.; Scherpf, M.; Malberg, H.; Schmidt, M. Color Spaces and Regions of Interest in Camera Based Heart Rate Estimation. In Proceedings of the 2020 11th Conference of the European Study Group on Cardiovascular Oscillations (ESGCO), Pisa, Italy, 15 July 2020; pp. 1–2. [Google Scholar]
- Song, R.; Chen, H.; Cheng, J.; Li, C.; Liu, Y.; Chen, X. PulseGAN: Learning to Generate Realistic Pulse Waveforms in Remote Photoplethysmography. IEEE J. Biomed. Health Inform. 2021, 25, 1373–1384. [Google Scholar] [CrossRef]
- Chen, W.; McDuff, D. DeepPhys: Video-Based Physiological Measurement Using Convolutional Attention Networks. In Proceedings of the European Conference on Computer Vision (ECCV), Munich, Germany, 8–14 September 2018; pp. 349–365. [Google Scholar]
- Liu, X.; Hill, B.; Jiang, Z.; Patel, S.; McDuff, D. EfficientPhys: Enabling Simple, Fast and Accurate Camera-Based Cardiac Measurement. In Proceedings of the 2023 IEEE/CVF Winter Conference on Applications of Computer Vision (WACV), Waikoloa, HI, USA, 2–7 January 2023; pp. 4997–5006. [Google Scholar]
- Zheng, X.; Yan, W.; Liu, B.; Wu, Y.I.; Tu, H. Estimation of Heart Rate and Respiratory Rate by Fore-Background Spatiotemporal Modeling of Videos. Biomed. Opt Express 2025, 16, 760–777. [Google Scholar] [CrossRef]
- Francis, J.G.F. The QR Transformation—Part 2. Comput. J. 1962, 4, 332–345. [Google Scholar] [CrossRef]
- Stricker, R.; Müller, S.; Gross, H.-M. Non-Contact Video-Based Pulse Rate Measurement on a Mobile Service Robot. In Proceedings of the 23rd IEEE International Symposium on Robot and Human Interactive Communication, Edinburgh, UK, 25–29 August 2014; pp. 1056–1062. [Google Scholar]
- Xue, L. Three-Dimensional Point Piecewise Linear Fitting Method Based on Least Square Method. J. Qiqihar Univ. (Nat. Sci. Ed.) 2015, 31, 84–85, 89. (In Chinese) [Google Scholar] [CrossRef]
- Boccignone, G.; Conte, D.; Cuculo, V.; D’Amelio, A.; Grossi, G.; Lanzarotti, R.; Mortara, E. pyVHR: A Python Framework for Remote Photoplethysmography. PeerJ Comput. Sci. 2022, 8, e929. [Google Scholar] [CrossRef]
- Wang, W.; den Brinker, A.C.; de Haan, G. Single-Element Remote-PPG. IEEE Trans. Biomed. Eng. 2019, 66, 2032–2043. [Google Scholar] [CrossRef]
- Zhu, Q.; Wong, C.-W.; Fu, C.-H.; Wu, M. Fitness Heart Rate Measurement Using Face Videos. In Proceedings of the 2017 IEEE International Conference on Image Processing (ICIP), Beijing, China, 17–20 September 2017; pp. 2000–2004. [Google Scholar]
- Bobbia, S.; Macwan, R.; Benezeth, Y.; Mansouri, A.; Dubois, J. Unsupervised Skin Tissue Segmentation for Remote Photoplethysmography. Pattern Recognit. Lett. 2019, 124, 82–90. [Google Scholar] [CrossRef]
- Lugaresi, C.; Tang, J.; Nash, H.; McClanahan, C.; Uboweja, E.; Hays, M.; Zhang, F.; Chang, C.-L.; Yong, M.G.; Lee, J.; et al. MediaPipe: A Framework for Building Perception Pipelines. arXiv 2019, arXiv:1906.08172. [Google Scholar]
- Zhu, Q.; Chen, M.; Wong, C.-W.; Wu, M. Adaptive Multi-Trace Carving for Robust Frequency Tracking in Forensic Applications. IEEE Trans. Inf. Forensics Secur. 2021, 16, 1174–1189. [Google Scholar] [CrossRef]
- Bland, J.M.; Altman, D.G. Statistical Methods for Assessing Agreement between Two Methods of Clinical Measurement. Lancet 1986, 1, 307–310. [Google Scholar] [CrossRef]
- Zhang, Y.; Fu, C.-H.; Zhang, L.; Hong, H. Adaptive Projection Plane and Feature Selection for Robust Non-Contact Heart Rate Detection. In Proceedings of the Fifteenth International Conference on Signal Processing Systems (ICSPS 2023), SPIE, Xi’an, China, 17–19 November 2023; Volume 13091, pp. 218–227. [Google Scholar]
- Spetlik, R.; Franc, V.; Cech, J.; Matas, J. Visual Heart Rate Estimation with Convolutional Neural Network. In Proceedings of the British Machine Vision Conference, Newcastle, UK, 3–6 September 2018; pp. 3–6. [Google Scholar]
- Liu, B.; Zheng, X.; Ivan Wu, Y. Remote Heart Rate Estimation in Intense Interference Scenarios: A White-Box Framework. IEEE Trans. Instrum. Meas. 2024, 73, 1–14. [Google Scholar] [CrossRef]
- Zhu, Q.; Wong, C.-W.; Lazri, Z.M.; Chen, M.; Fu, C.-H.; Wu, M. A Comparative Study of Principled rPPG-Based Pulse Rate Tracking Algorithms for Fitness Activities. IEEE Trans. Biomed. Eng. 2024, 72, 152–165. [Google Scholar] [CrossRef]

















| Category | Methods | Final Projection Vector or Angle | Summary | |
|---|---|---|---|---|
| Spatial vector projection | Chromaticity model-related | GREEN [1] | [0,1,0] | Use the green channel directly to extract the pulse signal |
| Physiological model-related | CHROM [5] | Alpha tuning using two color difference signals from different color channels based on a physiological model of skin optics, to obtain the pulse signal to obtain the pulse signal | ||
| PBV [6] | Define the blood volume pulse volume vector, derived from spectral reflectance data, which contains the characteristics of specific blood volume variations in the skin. is a 3 × N matrix containing N normalized color samples , and centered on the mean | |||
| POS [7] | The plane orthogonal to skin color to extract the pulse signal, then uses two orthogonal signals on the plane for alpha tuning | |||
| Matrix decomposition- related | ICA [2,3] | Wica [1,:] | W is the separation matrix, approximated as the inverse of the mixing matrix | |
| PCA [4] | Wpca [1,:] | W is composed of the corresponding eigenvectors of the covariance matrix | ||
| LGI [8] | Wlgi [1,:] | Invariant features related to the action of local transformations of variable local groups are introduced | ||
| OMIT [9] | Womit [1,:] | Finding Linear Least Squares Solutions in RGB Space by QR Factorization Using Householder Reflections | ||
| Spatial angle projection | SSR [10] | Input video frames to construct the spatial subspace, the rotation angle of the subspace between consecutive frames | ||
| Hue [11,12] | The angle change on the plane perpendicular to the luminance axis V represents the variation in hue channel | |||
| Dataset | Algorithms | RMSE (bpm) | MAE (bpm) | MAX (bpm) | PCC | CCC | ACC (%) |
|---|---|---|---|---|---|---|---|
| PURE | SSR | 2.22 ± 3.09 | 1.29 ± 2.40 | 8.86 ± 7.92 | 0.69 ± 0.34 | 0.68 ± 0.33 | 95.08 ± 11.52 |
| Hue | 1.58 ± 0.82 | 0.78 ± 0.39 | 7.69 ± 5.05 | 0.75 ± 0.28 | 0.73 ± 0.28 | 97.85 ± 2.87 | |
| APON_Angle | 1.58 ± 0.81 | 0.78 ± 0.38 | 7.69 ± 5.05 | 0.76 ± 0.27 | 0.74 ± 0.27 | 97.85 ± 2.87 | |
| UBFC2 | SSR | 8.86 ± 14.61 | 6.92 ± 13.85 | 19.25 ± 20.16 | 0.60 ± 0.49 | 0.62 ± 0.42 | 78.64 ± 28.84 |
| Hue | 6.08 ± 10.04 | 3.98 ± 9.03 | 17.22 ± 17.88 | 0.66 ± 0.45 | 0.66 ± 0.40 | 87.16 ± 20.88 | |
| APON_Angle | 5.67 ± 9.83 | 3.62 ± 8.79 | 16.66 ± 18.21 | 0.73 ± 0.38 | 0.70 ± 0.38 | 89.37 ± 18.70 |
Disclaimer/Publisher’s Note: The statements, opinions and data contained in all publications are solely those of the individual author(s) and contributor(s) and not of MDPI and/or the editor(s). MDPI and/or the editor(s) disclaim responsibility for any injury to people or property resulting from any ideas, methods, instructions or products referred to in the content. |
© 2025 by the authors. Licensee MDPI, Basel, Switzerland. This article is an open access article distributed under the terms and conditions of the Creative Commons Attribution (CC BY) license (https://creativecommons.org/licenses/by/4.0/).
Share and Cite
Fu, C.-H.; Zhang, Y.; Pan, J.; He, X.; Hong, H. Non-Contact Pulse Rate Detection Methods Based on Adaptive Projection Plane. Mathematics 2025, 13, 2749. https://doi.org/10.3390/math13172749
Fu C-H, Zhang Y, Pan J, He X, Hong H. Non-Contact Pulse Rate Detection Methods Based on Adaptive Projection Plane. Mathematics. 2025; 13(17):2749. https://doi.org/10.3390/math13172749
Chicago/Turabian StyleFu, Chang-Hong, Yan Zhang, Jiawei Pan, Xingyan He, and Hong Hong. 2025. "Non-Contact Pulse Rate Detection Methods Based on Adaptive Projection Plane" Mathematics 13, no. 17: 2749. https://doi.org/10.3390/math13172749
APA StyleFu, C.-H., Zhang, Y., Pan, J., He, X., & Hong, H. (2025). Non-Contact Pulse Rate Detection Methods Based on Adaptive Projection Plane. Mathematics, 13(17), 2749. https://doi.org/10.3390/math13172749

