Influence of Magnetic Field and Porous Medium on Taylor–Couette Flows of Second Grade Fluids Due to Time-Dependent Couples on a Circular Cylinder
Abstract
1. Introduction
2. Problem Presentation
3. Solutions
3.1. Calculation of the Dimensionless Shear Stress
3.2. Calculation of the Dimensionless Velocity
4. Some Particular Cases and the Corresponding Solutions
4.1. The Cylinder Oscillates Around Its Symmetry Axis
4.2. The Cylinder Rotates Around Its Symmetry Axis
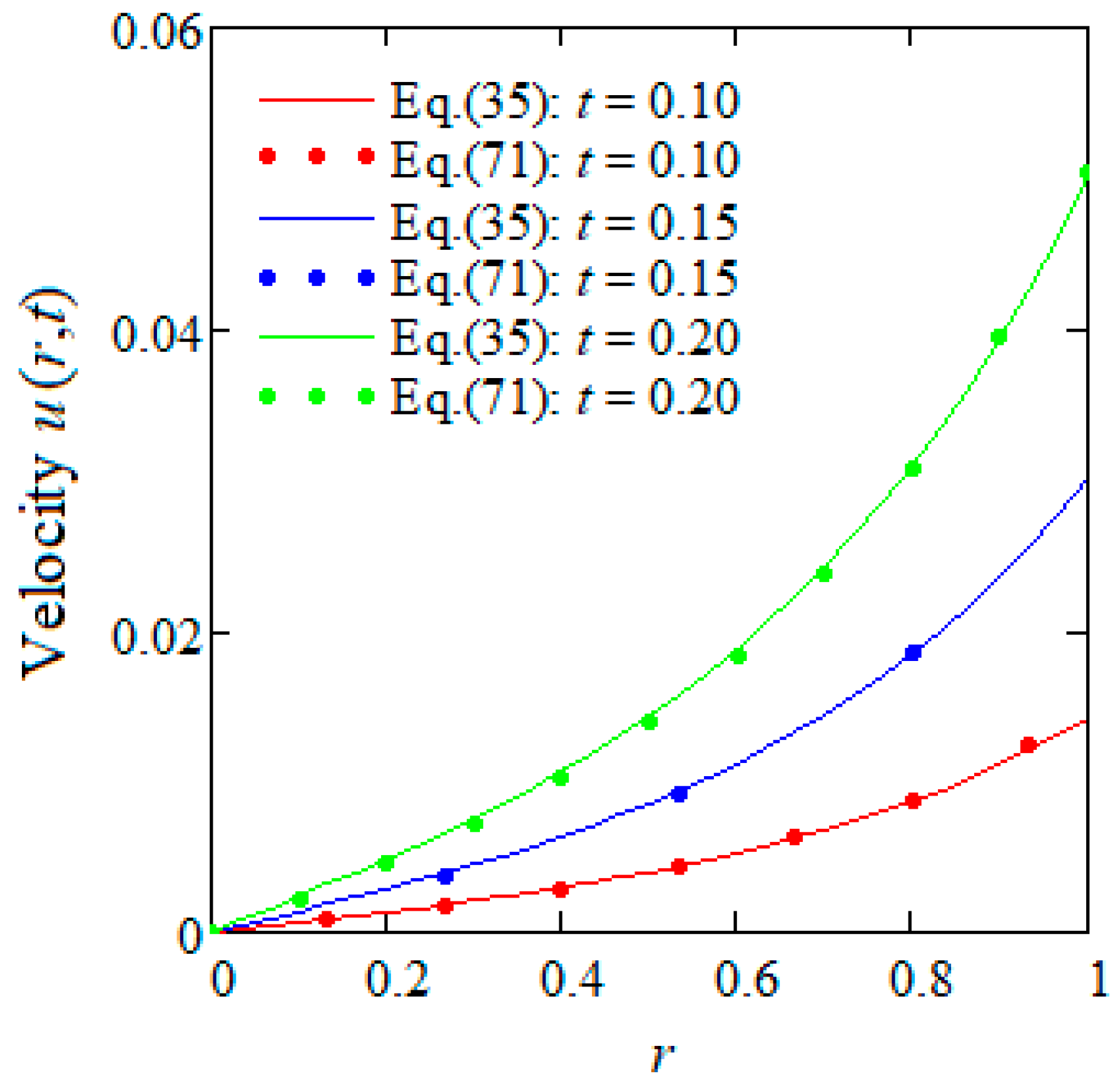
5. Comparisons Between Analytical and Numerical Solutions
5.1. Numerical Solutions for the Shear Stress
5.2. Numerical Solutions for the Velocity Field
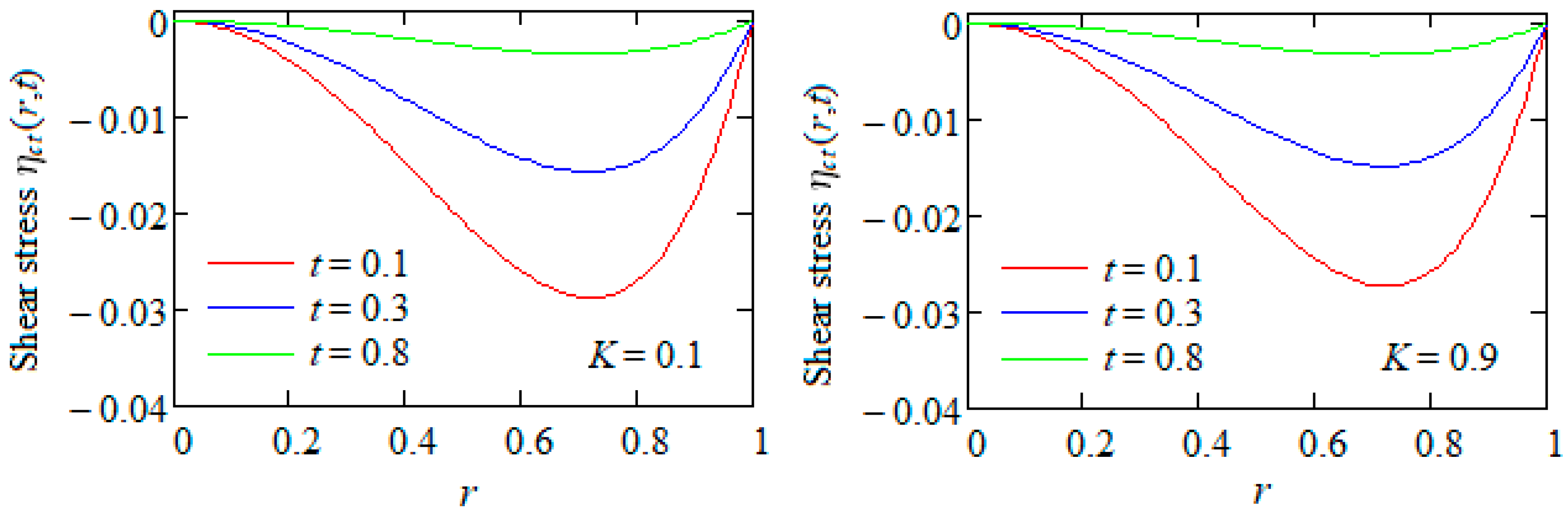
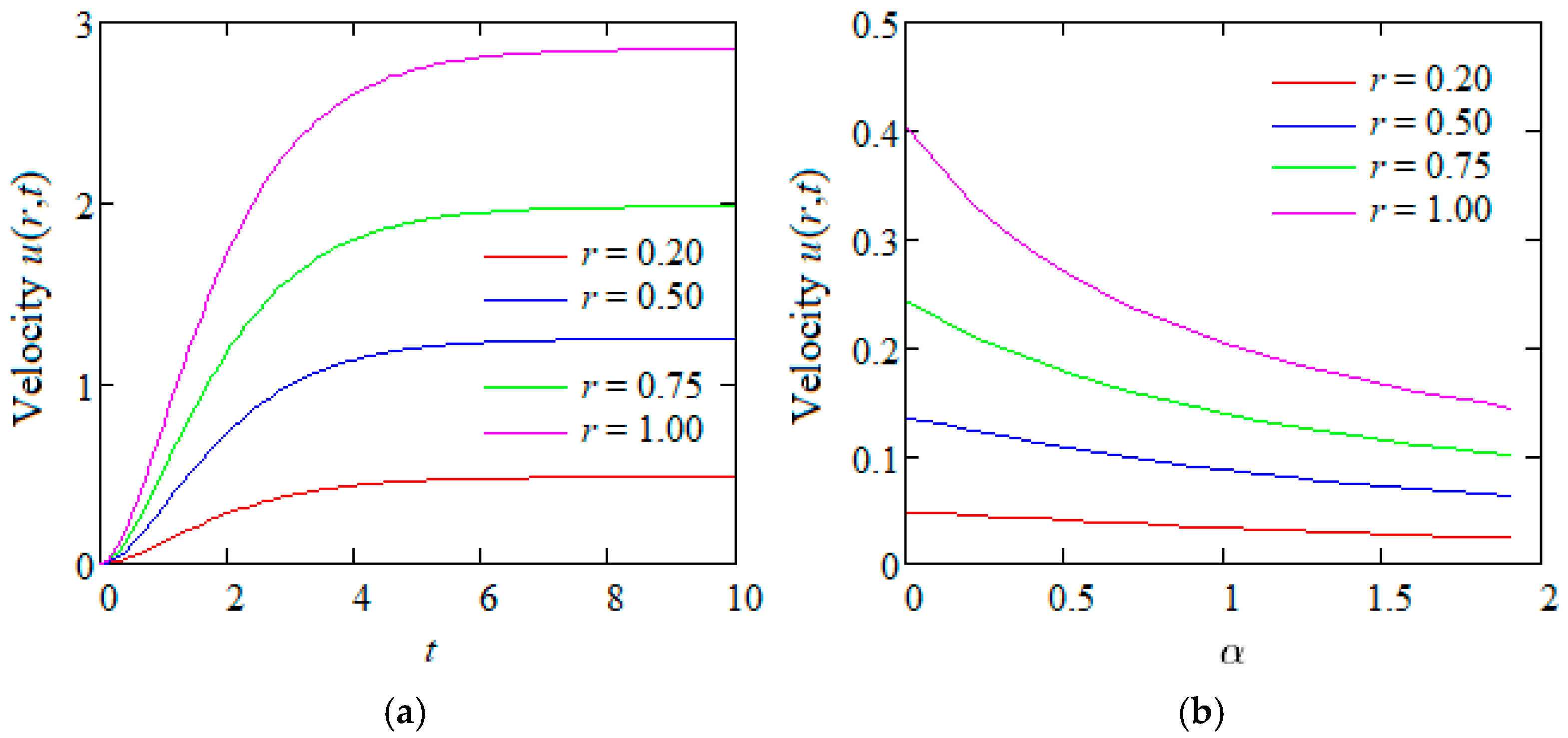
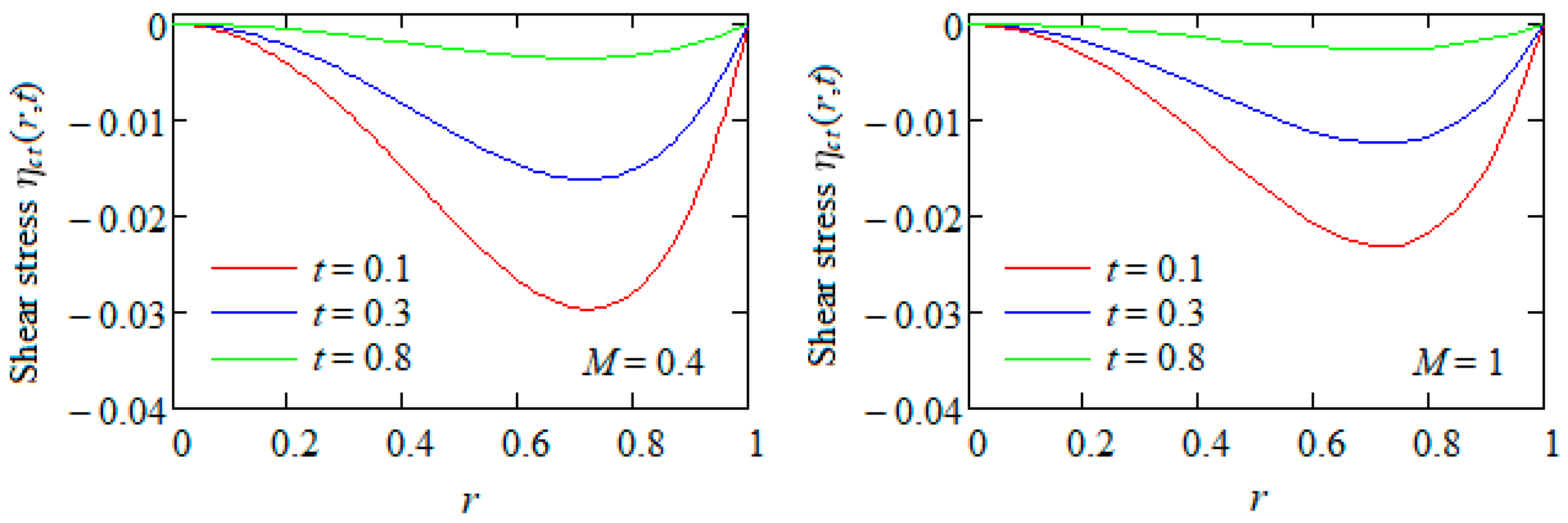
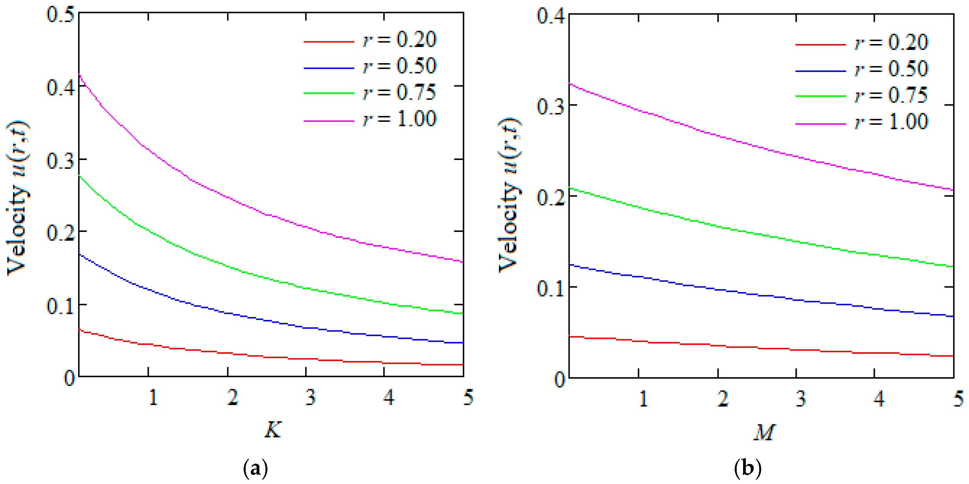
6. Some Numerical Results
7. Conclusions
- General expressions have been established for the velocity field and the shear stress corresponding to MHD Taylor–Couette flows of ECISGFs through a porous medium in a right circular infinite cylinder that applies to the fluid the time-dependent torque per unit length.
- The expressions that have been obtained can generate exact solutions for any such motion of the respective fluids and the problem in question is completely solved. For illustration some particular motions have been highlighted and investigated.
- For results’ validation, the steady shear stresses , and have been presented in equivalent forms. In addition, the equivalence of analytical and numerical solutions for the fluid velocity and the shear stress has been graphically proven when .
- -
- ECISGFs flow more slowly and the steady state occurs more quickly in the presence of a magnetic field or porous medium.
- -
- ECISGFs flow more slowly in comparison with incompressible Newtonian fluids.
Author Contributions
Funding
Data Availability Statement
Acknowledgments
Conflicts of Interest
Appendix A
References
- Cioranescu, D.; Girault, V.; Rajagopal, K.R. Mechanics and Mathematics of Fluids of the Differential Type; Springer: Cham, Switzerland, 2016; Volume 35. [Google Scholar]
- Baranovskii, E.S. Exact solutions for non-isothermal flows of second grade fluid between parallel plates. Nanomaterials 2023, 13, 1409. [Google Scholar] [CrossRef]
- Truesdell, C. The incompressible fluid of second grade. In The Elements of Continuum Mechanics; Springer: Berlin/Heidelberg, Germany, 1966. [Google Scholar] [CrossRef]
- Rivlin, R.S.; Ericksen, J.L. Stress-deformation relations for isotropic materials. J. Ration. Mech. Anal. 1955, 4, 323–425. [Google Scholar] [CrossRef]
- Kanuri, V.R.; Sekhar, K.V.C.; Brahmanandam, P.S.; Ramanaiah, J.V. Analytical solutions of Poiseuille flow of second-grade fluid. J. Nav. Archit. Mar. Eng. 2024, 21, 67–77. [Google Scholar] [CrossRef]
- Nadeem, S.; Rehman, A.; Lee, C.; Lee, J. Boundary layer flow of second grade fluid in a cylinder with heat transfer. Math. Probl. Eng. 2012, 2012, 640289. [Google Scholar] [CrossRef]
- Shan, H.W.; Tian, B.; Cheng, C.D.; Gao, X.T.; Chen, Y.Q.; Liu, H.D. N-soliton and other analytic solutions for a (3 + 1)-dimensional Korteweg-de Vries-Calogero-Bogoyavlenskii-Schiff equation with the time-dependent coefficients for the shallow water waves. Qual. Theory Dyn. Syst. 2023, 23 (Suppl. S1), 267. [Google Scholar] [CrossRef]
- Gao, X.Y. In an ocean or a river: Bilinear auto-Bäcklund transformations and similarity reductions on an extended time-dependent (3 + 1)-dimensional shallow water wave equation. China Ocean Eng. 2025, 39, 160–165. [Google Scholar] [CrossRef]
- Feng, C.H.; Tian, B.; Gao, X.T. Bilinear Bäcklund transformations, as well as N-soliton, breather, fission/fusion and hybrid solutions for a (3 + 1)-dimensional integrable wave equation in a fluid. Qual. Theory Dyn. Syst. 2025, 24, 100. [Google Scholar] [CrossRef]
- Gao, X.Y. Hetero-Bäcklund transformation, bilinear forms and multi-solitons for a (2 + 1)-dimensional generalized modified dispersive water-wave system for the shallow water. Chin. J. Phys. 2024, 92, 1233–1239. [Google Scholar] [CrossRef]
- Han, P.F.; Ye, R.S.; Zhang, Y. Inverse scattering transform for the coupled Lakshmanan–Porsezian–Daniel equations with non-zero boundary conditions in optical fiber communications. Math. Comput. Simul. 2025, 232, 483–503. [Google Scholar] [CrossRef]
- Han, P.F.; Ma, W.X.; Ye, R.S.; Zhang, Y. Inverse scattering transform for the defocusing–defocusing coupled Hirota equations with non-zero boundary conditions: Multiple double-pole solutions. Phys. D Nonlinear Phenom. 2025, 471, 134434. [Google Scholar] [CrossRef]
- Ozer, S.; Suhubi, E.S. Flow of a second grade fluid through a cylindrical permeable tube. Appl. Math. Comput. 2006, 179, 672–687. [Google Scholar] [CrossRef]
- Ahmed, B. Numerical study on magnetic control of boundary layers in non-Newtonian flows over stretching cylinders using Keller box analysis. AIP Adv. 2024, 14, 045017. [Google Scholar] [CrossRef]
- Uddin, S.; Mehmood, O.U.; Mohamad, M.; Roslan, R.; Khan, I.; Mohamed, A. Effect of natural heat convection on fractional MHD second-grade fluid in an infinite vertically oscillating cylinder with Hankel transform. Heliyon 2023, 9, e13210. [Google Scholar] [CrossRef]
- Hayat, T.; Khan, M.; Ayub, M. Some analytical solutions for second grade fluid flows for cylindrical geometries. Math. Comput. Model. 2006, 43, 16–29. [Google Scholar] [CrossRef]
- Bano, Z.; Shah, N.F.; Islam, S.; Haroon, T. Exact solution to longitudinal and torsional oscillations of an electrically conducting second grade fluid. Int. J. Phys. Sci. 2011, 6, 2939–2943. [Google Scholar] [CrossRef]
- Siddiqui, A.M.; Alam, M.K.; Islam, S.; Rahim, M.T.; Elahi, M. A class of exact solutions of second grade fluid. Int. J. Phys. Sci. 2011, 6, 5601–5608. [Google Scholar] [CrossRef]
- Jamil, M.; Zafarullah, M. MHD flows of second grade fluid through the moving porous cylindrical domain. Eur. J. Pure Appl. Math. 2019, 12, 1149–1175. [Google Scholar] [CrossRef]
- Maqbool, K.; Manzoor, N.; Poncet, S.; Siddiqui, A.M. Inertial flow of viscoelastic second-grade fluid in a ciliated channel under a magnetic field and Darcy’s resistance. Appl. Sci. 2021, 11, 3819. [Google Scholar] [CrossRef]
- Petrova, A.G.; Pukhnachev, V.V.; Frolovskaya, O.A. Exact solutions of second-grade fluid equations. Proc. Steklov Inst. Math. 2023, 322, 173–187. [Google Scholar] [CrossRef]
- Ershkov, S.V.; Shamin, R.V. On a new type of solving procedure for Laplace tidal equation. Phys. Fluids 2018, 30, 127107. [Google Scholar] [CrossRef]
- Baranovskii, E.S.; Artemov, M.A.; Ershkov, S.V.; Yudin, A.V. The Kelvin-Voigt-Brinkman-Forchheimer equations with non-homogeneous boundary conditions. Mathematics 2025, 13, 967. [Google Scholar] [CrossRef]
- Fetecau, C.; Akhtar, S.; Forna, N.C.; Morosanu, C. General solutions for MHD motions of second-grade fluids through a circular cylinder filled with porous medium. Symmetry 2025, 17, 319. [Google Scholar] [CrossRef]
- Fetecau, C.; Vieru, D. Porous and magnetic effects on axial Couette flows of second grade fluids in cylindrical domains. Symmetry 2025, 17, 706. [Google Scholar] [CrossRef]
- Hamza, S.E.E. MHD flow of an Oldroyd-B fluid through porous medium in a circular channel under the effect of time dependent pressure gradient. Am. J. Fluid Dyn. 2017, 7, 1–11. [Google Scholar] [CrossRef]
- Bandelli, R.; Rajagopal, K.R. Start-up flows of second grade fluids in domains with one finite dimension. Int. J. Non-Linear Mech. 1995, 30, 817–839. [Google Scholar] [CrossRef]
- Sneddon, I.N. Fourier Transforms; McGraw-Hill Book Company, Inc.: New York, NY, USA, 1951. [Google Scholar]
- Mainardi, F. Fractional Calculus and Waves in Linear Viscoelasticity: An Introduction to Mathematical Models; World Scientific: Singapore, 2010. [Google Scholar] [CrossRef]
- Riley, K.F.; Hobson, M.P.; Bence, S.J. Mathematical Methods for Physics and Engineering, 3rd ed.; Cambridge University Press: New York, NY, USA, 2006. [Google Scholar]










| K = 0.1 | K = 0.9 | ||||||
|---|---|---|---|---|---|---|---|
| 1 | 0 | 11 | –2.595 × 10−3 | 1 | 0 | 11 | –2.417 × 10−3 |
| 3 | –3.482 × 10−5 | 12 | –2.914 × 10−3 | 3 | –3.204 × 10−5 | 12 | –2.722 × 10−3 |
| 3 | –1.382 × 10−4 | 13 | –3.175 × 10−3 | 3 | –1.272 × 10−4 | 13 | –2.974 × 10−3 |
| 4 | –3.068 × 10−4 | 14 | –3.354 × 10−3 | 4 | –2.826 × 10−4 | 14 | –3.151 × 10−3 |
| 5 | –5.354 × 10−4 | 15 | –3.426 × 10−3 | 5 | –4.936 × 10−4 | 15 | –3.229 × 10−3 |
| 6 | –8.163 × 10−4 | 16 | –3.364 × 10−3 | 6 | –7.534 × 10−4 | 16 | –3.182 × 10−3 |
| 7 | –1.140 × 10−3 | 17 | –3.139 × 10−3 | 7 | –1.054 × 10−3 | 17 | –2.981 × 10−3 |
| 8 | –1.494 × 10−3 | 18 | –2.721 × 10−3 | 8 | –1.383 × 10−3 | 18 | –2.595 × 10−3 |
| 9 | –1.866 × 10−3 | 19 | –2.080 × 10−3 | 9 | –1.731 × 10−3 | 19 | –1.993 × 10−3 |
| 10 | –2.239 × 10−3 | 20 | –1.184 × 10−3 | 10 | –2.081 × 10−3 | 20 | –1.140 × 10−3 |
Disclaimer/Publisher’s Note: The statements, opinions and data contained in all publications are solely those of the individual author(s) and contributor(s) and not of MDPI and/or the editor(s). MDPI and/or the editor(s) disclaim responsibility for any injury to people or property resulting from any ideas, methods, instructions or products referred to in the content. |
© 2025 by the authors. Licensee MDPI, Basel, Switzerland. This article is an open access article distributed under the terms and conditions of the Creative Commons Attribution (CC BY) license (https://creativecommons.org/licenses/by/4.0/).
Share and Cite
Vieru, D.; Fetecau, C. Influence of Magnetic Field and Porous Medium on Taylor–Couette Flows of Second Grade Fluids Due to Time-Dependent Couples on a Circular Cylinder. Mathematics 2025, 13, 2211. https://doi.org/10.3390/math13132211
Vieru D, Fetecau C. Influence of Magnetic Field and Porous Medium on Taylor–Couette Flows of Second Grade Fluids Due to Time-Dependent Couples on a Circular Cylinder. Mathematics. 2025; 13(13):2211. https://doi.org/10.3390/math13132211
Chicago/Turabian StyleVieru, Dumitru, and Constantin Fetecau. 2025. "Influence of Magnetic Field and Porous Medium on Taylor–Couette Flows of Second Grade Fluids Due to Time-Dependent Couples on a Circular Cylinder" Mathematics 13, no. 13: 2211. https://doi.org/10.3390/math13132211
APA StyleVieru, D., & Fetecau, C. (2025). Influence of Magnetic Field and Porous Medium on Taylor–Couette Flows of Second Grade Fluids Due to Time-Dependent Couples on a Circular Cylinder. Mathematics, 13(13), 2211. https://doi.org/10.3390/math13132211

